- 易迪拓培训,专注于微波、射频、天线设计工程师的培养
一种高精度温度采集系统
1、引言
在工业和医学等诸多领域,高精度的温度测量都有着很广泛的应用。例如在煤矿和火电厂广泛应用的煤质分析仪中,需要对一定质量的煤燃烧后所导致的一定质量的水的温度变化进行精确的测量,并根据水温的变化幅度对煤的质量进行评估[1,2]。在医学上用于生命科学研究和基因诊断的PCR热循环仪中,也同样需要对水或油的温度变化进行精确的测量[3,4]。本文介绍了一种采用铂电阻作为温度传感器的温度采集系统,其测量精度达到了较高的水准。
2、测量原理
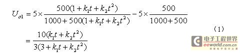
为了实现高精度的温度测量,在本系统中采用了基准电阻值为500Ω的Pt500铂电阻作为温度传感器件,并对其温度系数和非线性特性进行了精确校准[5,6,7]。如图1所示,将铂电阻接入到由精密电压源和精密电阻构成的电桥电路中,当温度为0℃时,电桥达到平衡,其输出电压为0;当温度上升时,假设将铂电阻的阻值随温度的变化关系用二阶多项式表示,则电桥电路的输出电压 与温度 的关系如下式所示:

式中k1、k2 为铂电阻的温度系数。图1中5V电压源由精密电压基准源芯片LT1019产生,其典型温度系数为3×10-6/℃;除铂电阻外,电桥的另外三个桥臂电阻均由精度为0.01%、温度系数为5×10-6/℃的高精密线绕电阻构成。

图1 测量电桥
Fig.1 The measurement electrical bridge
一般情况下有 , [8,9]。当温度测量系统的测量范围设计为0~100℃时,根据式(1)可知在此温度范围内测量电桥输出电压的范围约为0~383.48mV。
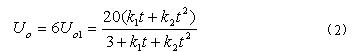
从测量电桥电路输出的电压信号 被仪表放大器AD620放大6倍后,其输出电压 范围在0~2.3V之间。根据式(1),有
当温度测量系统的测量范围设计为0~100℃时,根据式(1)可知在此温度范围内测量电桥输出电压的范围约为0~383.48mV。
从测量电桥电路输出的电压信号Ue1被仪表放大器AD620放大6倍后,其输出电压 范围在0~2.3V之间。根据式(1),有

由式(2)可知,当测量出 后,温度 可按下式计算得出:

3、数据采集电路
为了保证电压转换的精度,系统中采用了20位∑-Δ型串行模数转换器AD7703来完成数据采集。AD7703由美国ADI公司生产,它采用过采样∑-Δ转换技术和片内自校准控制电路,具有精度高、抗干扰能力强等特性,广泛应用于智能仪表和测控等领域。AD7703的工作范围宽(-40~+85℃),其非线性仅为0.0003%,可以很好地满足系统的需求。图2是AD7703的典型应用电路[10,11]。

图2 AD7703的典型应用电路
Fig.2 The typical application circuit of AD7703
图2中AVDD、AVSS为模拟正负电源,DVDD、DVSS为数字正负电源,均为±5V,AGND和DGND分别为模拟地和数字地;BP/UP为输入信号极性选择端,低电平时为单极性,高电平时为双极性;AIN为模拟信号输入端,单极性输入时允许范围为0~2.5V,双极性输入时允许范围为-2.5V~2.5V;VREF为参考电压输入端,通常接2.5V基准电压;CLKIN为时钟输入端,CLKOUT为时钟输出端,MODE为串行口方式选择端;当MODE接高电平时为内同步,时钟频率由CLKIN和CLKOUT之间所接振荡器的频率决定;当MODE接低电平时为外同步,时钟信号从外部输入到CLKIN,此时CLKOUT应悬空。SLEEP为睡眠工作方式设置端,DRDY为数据输出准备信号,CS为片选端,均为低电平有效;SCLK为串行时钟输入/输出端,SDATA为串行数据输出端;CAL校准控制端,CAL为高电平时启动自校准;SC1、SC2为系统校准方式选择端,可组合选择AD7703的校准方式,通常均接地,可实现芯片的自校准。
4、测量结果与分析
应用该温度采集系统以5次/秒的速度对密闭容器内同一点的水温进行连续测量,得到30个连续的测量数据如表1所示:
表1 30个连续的温度测量数据

从表1可以看出,在水温基本不变的情况下,该温度采集系统的测量结果只在小数点之后第4位波动,表现出很好的重复性。
5、结论
上述温度采集系统因为采用了温度系数经过精确校准的铂电阻作为传感元件,并对测量电路和放大电路进行了精心设计,所以具有非常良好的稳定性。同时该系统还采用了具有自校准功能的20位∑-Δ型串行模数转换器AD7703来完成数据采集,保证了系统的高分辨率和高准确度。经24小时连续测试表明,该温度测量系统的测量不确定度达到了0.001摄氏度,已在某型高精度自动量热仪中得到了成功的应用。


