- 易迪拓培训,专注于微波、射频、天线设计工程师的培养
基于RBF神经网络的控制系统传感器故障诊断方法
引 言
传感器是现行研究的压铸机实时检测与控制系统" title="控制系统">控制系统
的关键部件,系统利用传感器对压铸机的各重要电控参数 (如:合型力、油压、压射速度、模具温度等)进行检测,并进行准确控制。这一过程中,各传感器输出信号的质量尤为重要,其优劣程度直接影响压铸机控制系统分析、处理数据的准确性,最终影响压铸件产品质量的优劣。由于大型压铸机生产环境较为恶劣,长期的高温、高压、高粉尘及来自周边器械的电磁干扰等因素的存在,不可避免地会造成传感器软硬故障的发生,有故障的传感器所发出的错误信号,会使整个压铸机控制系统分析、处理和控制功能紊乱,造成系统无法正常运行,带来无法估计的生产安全隐患及严重的后果。因此,对压铸机控制系统中传感器故障诊断" title="故障诊断">故障诊断
方法的研究具有重要的意义。
人工神经网络(神经网络)是传感器故障诊断的方法之一。神经网络是有大量人工神经元相互连接而构成的网络。它以分布的方式存储信息,利用网络拓扑结构和权值" title="权值">权值
分布实现非线性的映射,并利用全局并行处理实现从输入空间到输出空间的非线性信息变换。对于特定问题适当建立神经网络诊断系统,可以从其输入数据(代表故障症状)直接推出输出数据(代表故障原因),从而实现非线性信息变换。层状结构的神经网络输入层、输出层及介于二者之间的隐含层构成。依据用于输入层到输出层之间计算的传递函数不同,提出一种基于径向基函数RBF神经网络的传感器故障诊断策略。
1 RBF神经网络的模型
径向基函数神经网络(RBFNN)是一种新型神经网络,属于多层前馈网络,即前后相连的两层之间神经元相互连接,在各神经元之间没有反馈。RBFNN的三层结构与传统的BP网络结构相同,由输入层、隐含层和输出层构成,其结构见图1。其中,用隐含层和输出层的节点计算的功能节点称计算单元。

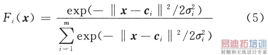
RBF神经网络输入层、隐含层、输出层的节点数分别为n,m,p;设输人层的输入为x=(x1,x2,…,xj,…,xn),实际输出为Y=(y1, y2,…,yk,…,yp)。输入层节点不对输入向量做任何操作,直接传递到隐含层,实现从X→Fi(x)的非线性映射。隐含层节点由非负非线性高斯径向基函数构成,如式(1)所示。
![]()
式中:Fi(x)为第i个隐含层节点的输出;x为n维输入向量;ci为第i个基函数的中心,与x具有相同维数的向量;σi为第i个感知的变量,它决定了该基函数围绕中心点的宽度;m为感知单元的个数(隐含层节点数)。|| x-ci||为向量x-ci的范数,通常表示x与ci之间的距离;Fi(x)在ci处有一个惟一的最大值,随着|| x-ci||的增大,Fi(x)迅速衰减到零。对于给定的输入,只有一小部分靠近x的中心被激活。隐含层到输出层采用从Fi(x)→yk的线性映射,输出层第k个神经元网络输出见式(2):

式中:yk为输出层第k个神经元的输出;m为隐层节点数;p为输出层节点数;ωik为隐层第i个神经元与输出层第k个神经元的连接权值。
RBF网络的权值算法是单层进行的。它的工作原理采用聚类功能,由训练得到输入数据的聚类中心,通过δ值调节基函数的灵敏度,也就是RBF曲线的宽度。虽然网络结构看上去是全连接的,实际工作时网络是局部工作的,即对输人的一组数据,网络只有一个神经元被激活,其他神经元被激活的程度可忽略。所以RBF网络是一个局部逼近网络,这使得它的训练速度要比BP网络快2~3个数量级。当确定了RBF网络的聚类中心ci、权值ωik以后,就可求出给定某一输入时,网络对应的输出值。
2 算法学习
在此采用模糊K均值聚类算法" title="聚类算法">聚类算法
来确定各基函数的中心及相应的方差,而网络权值的确用局部梯度下降法来修正,算法如下:
2.1 利用模糊K均值聚类算法确定基函数中心ci
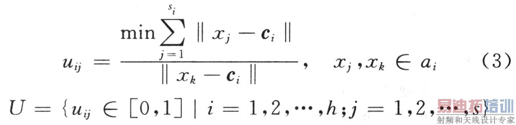
(1)随即选择h个样本作为ci(i=1,2,…,h)的初值。其他样本与中心ci欧氏距离远近归人没一类,从而形成h个子类ai(i=1,2,…,h);
si
(2)重新计算各子类中心ci的值,
其中,xk∈ai;si为子集ai的样本数,同时计算每个样本属于每个中心的隶属度为:

(3)确定ci是否在容许的误差范围内,若是则结束,不是则根据样本的隶属度调整子类个数,转到(2)继续。
2.2 确定基函数的宽度(误差σ)

式中:ai是以ci为中心的样本子集。
基函数中心和宽度参数确定后,隐含层执行的是一种固定不变的非线性变换,第i个隐节点输出定义为:

2.3 调节隐层单元到输出单元间的连接权
网络的目标函数为:

也就是总的误差函数。式中:y(xk)是相对于输入xk的实际输出;y(xk)是相对于xk的期望输出;N为训练样本集中的总样本数。对于RBFNN,参数的确定应能是网络在最小二乘意义下逼近所对应的映射关系,也就是使E达到最小。因此,这里利用梯度下降法修正网络隐含层到输出层的权值ω,使目标函数达到最小。

式中:η为学习率,取值为0~1之间的小数。根据上面式(6),式(7)最终可以确定权值叫的每步调整量:


图2中虚线框所示部分即为RBFNN观测器原理。基本思想:通过正常情况下非线性系统的实际输入和传感器的输出学习系统的特性,用已经训练好的观测器的输出于实际系统的输出做比较,将两者之差做残差,再对残差进行分析、处理,得到故障信息,并利用残差信号对传感器故障原因进行诊断。
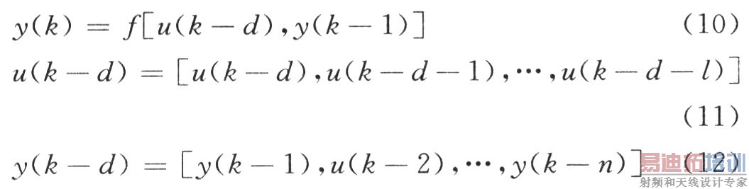
非线性系统:

式中:y(k)是传感器实际输出;u(k)是系统实际输入;f(·)代表某个未知的动态系统(压铸机)的非线性关系;n,l,d分别代表系统结构的阶次和时间延迟,并且假设u(k),y(k)是可测的。
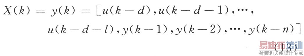
利用RBF神经网络模型的径向基函数来逼近f(·)。将函数:

作为RBF神经网络训练模型输入层的输入,通过上述隐含层高斯径向基函数进行非线性变换,再利用上述模糊K均值聚类算法来选取聚类中心和训练权值,最后得到整个网络的输出:
![]()
式中:y(k)为输出层的输出;ωi为修正后的权值;Fi(k)为第i个隐层节点的输出;θ为输出层节点的阀值,并将y(k)与当前系统的实际输出y (k)进行比较,得到残差δ(k)。若δ(k)小于预定阀值θ,表示传感器正常工作,此时采用系统实际输出的数据;若δ(k)大于预定阀值θ,说明传感器发生故障,此时采用RBFNN观测器的观测数据作为系统的真实输出,实现信号的恢复功能。
3.2 仿真实验
在压铸机系统各传感器正常工作时连续采集52组相关数据,将其分成2组,前40组用于对RBF神经网络进行离线训练,以构建RBF神经网络观测器;后12组用于对训练好的网络进行测试。表1为训练样本库中的部分数据。

由于表1中的4个参数的物理意义、量级各不相同,必须经过归一化处理后才能用于神经网络的训练,用Mat-lab的Simulink仿真工具箱提供的函数对数据进行归一化处理使数据位于[-1,1]之间。训练结束后切断学习过程使网络处于回想状态,将系统实际输出与网络模型的输出相减就可以获得残差。以合型力传感器" title="力传感器">力传感器 为例,采样时间为O.5 s,利用上面的学习样本在时间T∈[1 s,1 000 s]内对RBF神经网络进行训练,结果经过约50步训练误差就达到10_并急剧减少,如图3所示。

图4为用后12组数据对RBF神经网络进行测试时,Y跟踪正常合型力传感器测量值y的情况,其最大误差不超过1.5 MPa,所以训练好的RBF神经网络具有一定的泛化能力,可以较好的观测、跟踪合型机构现状。现针对传感器经常发生的卡死故障、漂移故障和恒增益故障进行模拟仿真实验。当合型力传感器正常工作时,RBFNN观测器输出Y与合型力传感器测量值y之间的残差δ=|y-y|近似为高斯白噪声序列,其均值近似为零;当传感器发生故障时,由于y不能准确反应合型力数据,导致δ突变,不再满足白噪声特性。根据上面所述的传感器故障诊断原理,设定阀值θ=2.7 MPa,图5表示合型力传感器在T∈[400 s,600 s]内发生卡死故障时的输出残差曲线;图6表示传感器在T∈[600 s,1 000 s]内发生漂移故障;图7表示传感器在T∈[800 s,1 000s]内发生恒增益故障时的输出残差曲线。通过对各类典型故障的仿真实验,能够准确检测到合型力传感的各类故障。

4 结 语
在此依据径向基(RBF)神经网络原理,以压铸机控制系统各传感器的输出参数作为RBF神经网络的输入,采用模糊K均值聚类算法选取聚类中心,建立传感器 RBF神经网络观测器模型对控制系统传感器进行故障诊断,仿真实验表明径向基神经网络具有较强的非线性处理和逼近能力,泛化能力强,网络运算速度快,能够准确发现和处理故障信号,性能稳定。因此,RBF神经网络故障诊断是压铸机控制系统一个必不可少的新管理工具。


