- 易迪拓培训,专注于微波、射频、天线设计工程师的培养
半导体式光纤温度传感器的建模、仿真与实验
1 引言
光纤温度检测技术是近些年发展起来的一项新技术,由于光纤本身具有电绝缘性好、不受电磁干扰、无火花、能在易燃易爆的环境中使用等优点而越来越受到人们的重视,各种光纤温度传感器发展极为迅速。目前研究的光纤温度传感器主要利用相位调制、热辐射探测、荧光衰变、半导体吸收、光纤光栅等原理。其中半导体吸收式光纤温度传感器作为一种强度调制的传光型光纤传感器,除了具有光纤传感器的一般优点之外,还具有成本低、结构简单、可靠性高等优点,非常适合于输电设备和石油井下等现场的温度监测,近年来获得了广泛的研究。但是目前的研究还存在一些问题,如系统模型不完善,基础理论尚不系统,产品化困难等。本文对这种传感器进行了详细研究,建立了系统的数学模型" title="数学模型">数学模型
,并通过仿真和实验对系统特性和实际应用" title="实际应用">实际应用
的难点进行了分析。
2 测温" title="测温">测温
原理
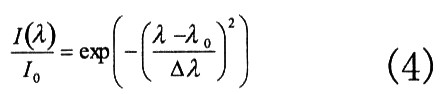
当一定波长的光通过半导体材料时,主要引起的吸收是本征" title="本征">本征
吸收,即电子从价带激发到导带引起的吸收。对直接跃迁型材料,能够引起这种吸收的光子能量hv必须大于或等于材料的禁带宽度Eg,即

式中,h为普朗克常数:v是频率。从式(1)可看出,本征吸收光谱在低频方向必然存在一个频率界限vg,当频率低于vg时不可能产生本征吸收。一定的频率vg对应一个特定的波长,λg=c/vg,称为本征吸收波长。

根据固体物理理论,直接跃迁型半导体材料GaAs的吸收波长是随着温度的变化而变化的。图1所示是GaAs的透射率" title="透射率">透射率 随温度变化的示意图。当温度升高时,本征吸收波长变大,透射率曲线向长波长方向移动,但形状不变;反之,当温度降低时,本征吸收波长变小,透射率曲线保持形状不变而向短波长方向移动。当光源的光谱辐射强度不变时,GaAs总透射率就随其温度发生变化,温度越高,总透射率越低。通过测量透过GaAs的光的强弱即可达到测温的目的。通过研磨抛光将 GaAs加工成很薄的薄片,其入射光和出射光用光纤耦合,这就是半导体吸收式光纤温度传感器的基本原理。
3 系统建模
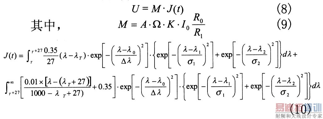
半导体吸收式光纤温度传感器系统主要由光源驱动、光源、入射和出射光纤、探头、光电转换器以及输出显示等部分构成,如图2所示。

GaAs是一种典型的直接跃迁型材料,它的透射率曲线如图1和图3所示。由上文关于测温原理的分析可知,透射率T是一个关于温度t和透射光波长λ的函数。根据固体物理理论和电磁学理论能得到它的具体表达式。但是这样得到的透射率T(λ,t)是一个很复杂的式子,实际应用很不方便。可以根据曲线的形状将其近似为如图3所示的3段直线的组合。第1段是λ<λT,T=0;第2段是λT<λ<λT+△,这时T急剧上升;第三段是λ>λT+ △,这时近似一条缓变的直线。3条直线的交点a、b、c的坐标值分别是a(λT,0),b(λT+△,Tb),c(1000,Tc),由此可以求出曲线的近似表达式为:
温度的单位为K。
在本系统,我们采用了厚度为120 μm的GaAs材料。如图3所示,通过其解析式得到原始曲线,再利用上述办法可将其透射率曲线近似为三段直线,表达式如下:

一般采用能够覆盖吸收波长λT的变化范围且具有一定的光谱宽度,体积小、耗电少的的发光二极管做光源,其光谱近似于高斯分布:

式中,λ0是光源峰值波长,△λ是光源谱宽,I0是最大光谱辐射强度。
由式(3)可计算得出,当被测温度从0~200℃变化时,120 μm的GaAs材料的本征吸收波长从865nm变到925nm,因此本系统中选用峰值波长为880nm,谱宽为100 nm的GaAlAs发光二极管。
光电探测器" title="光电探测器">光电探测器
的选择要使其光谱响应度R(λ)与光源的峰值波长相对应,最好使其峰值响应度对应的波长与光源的峰值波长一致,以获得最大的输出。为此,选择硅 PIN光电二极管作为光电探测器,它的性能稳定,价格便宜,使用简单,尤其是在800~900nm波段光电转换效率最高,与所选光源LED的工作波段一致。
光电二极管是基于光生伏特效应进行光电转换的,它的光谱响应曲线具有指数形式,用x2分布函数来表示,为此选择两个正态分布之和作为其数学表达式:



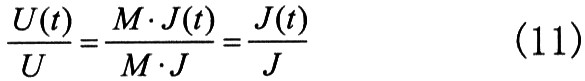
式中,λ0、△λ、λ1、λ2、σ1、σ2均为常数,单位nm,温度t的单位是K。用常温20℃,即293KH寸的输出J为基值,对输出进行归一化,则


5 系统的实验研究
5.1 系统实验平台的搭建
实验平台采用了图2所示结构,选用的GaAs片长宽约为0.5cm,厚度为120 μm,并且表面采用镀膜处理;光源采用峰值波长为880nm,谱宽为100nm的GaAlAs发光二极管:采用λ1=800nm,λ2=900nm,σ1 =200nm,σ1=100nm,R1=1.78的光电二极管做光电探测器;光纤为直径1nm的大芯径塑料光纤,光纤与各元件的连接均采用中心对准的接头加固。探头采用图5所示结构,铜塞将GaAs片垂直固定在探头内,并起导热作用,入射和出射光纤垂直于GaAs片,并留有一定间隙,以防高温变形。系统使用温度可调的变温箱做温度场,使用精确度为0.01℃的热电偶温度计同步测量温度,使用高精度数字电压表测量输出。进行的实验主要有加温实验、降温实验、重复性实验、响应时间实验和抗干扰实验等。


从实验过程可以看出,系统的灵敏度较高,精度达到1K,分辨率为0.1K,响应时问要明显快于同步测温的热电偶,比传统热电偶式测温仪更适合要求快响应时间的温度测量场合。

5.3 实验分析
(1)半导体吸收式温度传感器在理论上完全可以胜任电力设备等特殊环境的现场测量要求,具有精度高、响应快、抗电磁干扰,无火花等优点。
(2)实验过程中也发现了一些实际问题。首先系统对外界环境的影响非常敏感,任何振动、光纤的移位和环境光的变化都会对测量结果带来影响,对实验条件要求比较严格。这可能是系统实用化的主要障碍。其次,输出信号比较弱,对检测带来了不便。还有塑料光纤的热形变问题,尽管在设计的探头中光纤与半导体薄片留有一定缝隙,但当温度升到373K以上时,光纤还是产生了热形变,引起衰减异常。更换石英光纤后也不理想,因为普通的通信石英光纤芯径太小,耦合问题难以解决,传输效率低;大芯径石英光纤韧性差,难以实际应用。最后,自行设计的探头还存在一定缺陷,半导体薄片与光纤的耦合并不理想,垂直和对准都不好控制。
6 结论
半导体吸收式温度传感系统非常适合于电气设备等特殊环境的现场温度监测。通过建立系统的数学模型和 matlab仿真,得到了较完善的理论体系和元件选取原则;通过实验一方面肯定了数学模型的可行性,另一方面也揭示了实现实用化产品存在的困难,一些可能的解决办法是:(1)设置参考光路,并对入射光进行调制,减少环境因素的影响;(2)设计低噪声低温漂的前置放大电路,以增强输出信号的强度;(3)采用石英光纤束做为介质,既解决高温形变问题,又可提高耦合效率;(4)设计新的探头结构,提高耦合效率和抗干扰能力。总的来看,这种传感器的应用前景还是十分广阔的。


