- 易迪拓培训,专注于微波、射频、天线设计工程师的培养
基于虚拟仪器的水循环温控系统设计
随着PC、半导体和软件功能的进一步更新,虚拟仪器的功能和性能已被不断地提高,未来虚拟仪器技术以其在测量和控制方面的强大功能和灵活性为测试系统的设计提供一个极佳的模式,在许多应用中已成为传统仪器的主要替代方式。
本文以水循环系统为研究对象,针对水循环的温度,在比较研究不同控制策略的基础上,建立精确的数学模型,对水循环温度控制进行了研究。通过数据采集卡对温度信号进行实时采集,并由软件平台对采集的信号进行分析,然后用数学模型控制算法处理输出,以使当前温度逼近设定值,从而达到温控目的,最后将采集数据保存记录,以备日后读取分析。利用虚拟仪器的巨大优越性改善水循环温度的控制品质,提高控制效果。
1 水循环温度控制系统数学模型的建立
1.1 水循环温控系统介绍
水循环温控系统由储水箱、水泵、传感器、散热器和电加热装置组成,水循环原理图如图1所示。由于本系统对温度要求较高,要保证水管环境温度保持在20℃,故需建立合理的数学模型及控制算法,将温度传感器PT100采样性能通过散热器及电加热器的动态温度值模拟出来,最终达到高精度控制温度的作用。

1.2 水循环温控系统数学模型的建立
水循环温控系统各个部分的温度因管道、散热装置和加热装置的原因会产生很大的变化。为了表达清楚达到预想的结果,就需要建立正确的数学模型。本设计根据实际情况,选择了几个特殊的点来建立模型。如图1所示,A,B,C,D,E,F六个点的温度,将引起变化的原因全部考虑进去,列出函数关系式,然后借助Lab—VIEW编程,由程序控制温度。
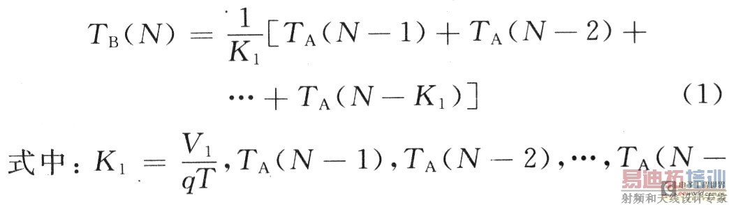
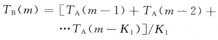
(1)B点的温度函数关系式
B点为采样点,B点的温度跟A点的温度因中间隔水箱会有一个延时K1,取在A点第N个采样值经过K1延时之后的平均值为B点的温度,它的温度函数关系为:

K1)分别为A点第N-1,N-2,…,N-K1个采样时的温度值;V1为水箱的容积,V1=5 L;q为泵流量,q=0.083 L/s;T为采样周期,T=1 s;K1:为注满水箱需要的时间,即延时周期,通过计算K1=60 s。
(2)A点的温度函数关系式
A点的温度与D点的温度因水管而有个延时,故A点的温度函数关系如式(2)所示:

为D点第N-K3个采样点的温度;V3为D点到A点水管的容积,V3=0.5 L;K3为从D点到A点的延时周期,通过计算K3=6 s。
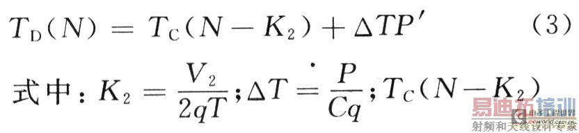
(3)D点的温度函数值
D点的温度与C点温度相比,不仅仅是水管的散失而延时,还与电加热装置有关,函数关系如式(3)所示:

为C点第N-K2个采样点的温度;P为电加热器的功率,P=1 kW;C为水的比热容,C=4.18 kJ/kg·℃;△T为电热前后的温度变化,通过计算△T=3℃;P'为采样占控比,通过验证P'=1或0;V2为C点与D点间水管的容积,V2=1 L;K2为从C点到D点的延时周期,通过计算K2=6 s。
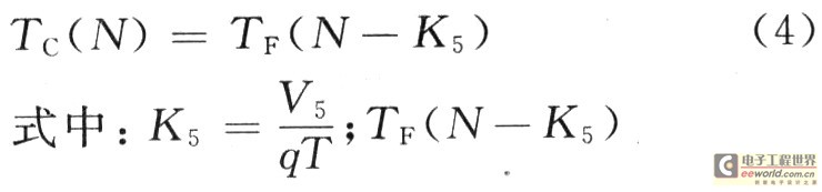
(4)C点的温度函数关系式
C点的温度与F点的温度相近,就是F点延时的某一个温度值,它的函数关系如式(4)所示。

为F点第N-K5个采样点的温度;V5为F点到C点水管的容积,V5=0.5 L;K5为从F点到C点的延时周期,通过计算K5=6 s。
(5)F点的温度函数关系式
F点与E点相比,因为散热器和水管的同时作用,温度也相差很大,该点的温度函数关系如式(5)所示:
![]()
式中:
为E点第N-K4个采样点的温度;K为制冷系数,K=0.3;T0为环境温度,T0=20℃;V4为E点到F点水管的容积,V4=1 L;K4为从F点到E点的延时周期,通过计算K4=12 s。
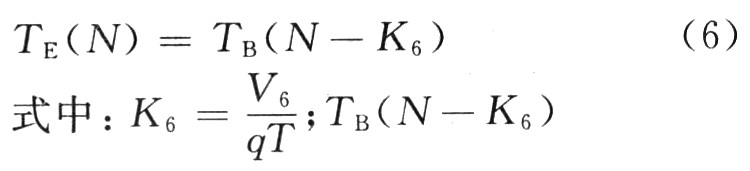
(6)E点的温度函数关系式
E点的温度与B点的温度相比也有个延时,该点的温度函数关系如式(6)所示:

为B点第N-K6个采样点的温度;V6为B点到E点的水管的容积,V6=0.5 L;K5为从B点到E点的延时周期,通过计算Ks=6 s。
综上所述,A,B,C,D,E,F六个点的函数关系式及相互联系已经表达清楚,通过LabVtEW建立相应的数学模型。
2 水循环温度控制系统的软件设计
本设计通过数据采集卡对温度传感器传感信号进行实时采集,并由软件平台LabVIEW对采集的信号进行分析,采用上述的数学模型控制算法处理输出,使当前温度以零稳态误差逼近设定值,达到精确控温目的。根据水循环温度控制系统的基本要求,系统划分为五个功能模块,即:用户登录模块、数据存储模块、参数计算模块、控制算法模块等,系统的控制模块框图如图2所示。

2.1 主控模块
系统的主控模块提供了温度控制功能。它通过与其他模块的通讯来完成数据采集与处理、数据的保存等功能。根据模块化的编程思想,用LabVIEW图形化编程语言,可以方便地写出温度控制系统的程序代码。
2.2 参数计算模块
由前面建立的数据模型,通过计算分别可以算出每个点的延时周期K,再由延时周期找到每个点的温度采样值,如图3参数计算程序框图所示。


式中:B点为采样点,该点的温度采样值是A点温度采样值延时之后的所有采样值的平均值,该算法程序框图如图4所示。
2.4 数据采集模块
该模块通过调节控制占空比,进而改变采样占空比,调节控制系统,提高控制质量,如图5所示。

3 程序调试
通过调试各个模块,并将所有功能联系起来,实现水循环自动温度控制系统。调试结果如图6所示。A点和D点,C点和F点,E点和B点温度曲线相近;A点和B点,C点和D点,E点和F点温度曲线相差大,并且采样点B温度波动值仅为0.75℃,较为稳定,从而表明本系统设计的控制方案合理可行,精度达到原设计的技术要求,可预见该系统设计在今后的工业控制实验中具有广阔的应用前景。

4 结 语
在本设计中,利用LabVIEW软件平台构建温度控制系统,具有设计时间短,参数调整灵活,系统仿真结果直观、准确、稳定等特点。同运用传统仪器构建系统的方法相比,采用虚拟仪器的方法效率要高得多,且性能好,控制灵活方便。实践证明,在LabVIEW环境下能够开发出各种功能强大,开放性好的虚拟仪器软件,构造出经济实用的计算机辅助测试、分析与控制系统。
上一篇:一线总线在智能建筑温度检测中的应用
下一篇:IDT以宽量程计量着力电能计量市场


