- 易迪拓培训,专注于微波、射频、天线设计工程师的培养
基于平均影响值和支持向量机的小麦病害识别
摘 要: 为了提高小麦病害识别准确率,提出了一种基于平均影响值思想和支持向量机的小麦病害识别方法。首先,使用阈值分割方法对小麦叶片图像进行分割;其次,利用灰度共生矩阵和颜色矩提取病害的纹理和颜色特征;再次,将平均影响值思想应用于支持向量机回归进行特征变量优选;最后,将优选出的特征变量作为支持向量机的输入向量进行识别。实验结果表明,经过特征变量优选,特征变量个数由14个减少到7个,识别准确率达到96.25%,为农田小麦病害识别提供了有效方法。
关键词: 平均影响值;支持向量机;特征筛选;纹理特征;颜色矩
0 引言
小麦是我国主要的粮食作物之一,种植面积位居第二,仅次于水稻。病虫害问题是影响小麦产量和质量的关键问题之一。全世界正式记载的小麦病害有200余种,在我国发生较严重的有20余种。小麦病害检测识别的研究具有重要经济和社会意义。随着计算机技术和图像处理技术的发展,自动识别农作物病害已经成为研究的热点[1-5]。余秀丽[6]等提取小麦病害形状特征和纹理特征共13个特征变量,以支持向量机作为识别模型,具有较高准确率。王美丽[7]等提取小麦病害颜色特征和形状特征共14个变量,采用逐步判别分析法进行变量筛选,识别效果较好。李冠林[8]等提取形状、颜色和纹理特征共50个特征变量,并通过不同特征结合进行识别,优选出26个特征变量,可有效对小麦条锈病和叶锈病识别。在进行病害识别时,各种特征变量对病害识别的贡献不同,因此需要进行特征变量筛选。当特征变量较多时,拼凑方式进行特征变量筛选效率太低。
病害识别是防治的前提,本文采集小麦白粉病、条锈病、叶锈病和秆锈病4种病害图像,通过阈值分割提取小麦病斑区域,利用灰度共生矩阵和颜色矩提取病害的纹理和颜色特征,并结合平均影响值思想和支持向量机实现特征变量的优选和小麦病害的识别。旨在更好地实现小麦病害的机器视觉识别。
1 特征提取
1.1 纹理特征
灰度共生矩阵是由Haralick[9]提出的一种用来分析图像纹理特征的重要方法,它能较精确地反映纹理粗糙程度和重复方向。Ulaby[10]等人研究发现:在灰度共生矩阵的14个纹理特征中,仅有4个特征是不相关的,这4个特征不仅便于计算,而且分类精度较高。其计算公式如下:
(1)角二阶矩:

计算角二阶矩、惯性矩、熵、相关性4个参量在0°、45°、90°、135° 4个方向上的值,将角二阶矩的均值和方差、惯性矩的均值和方差、熵的均值和方差、相关性的均值和方差共8个量作为纹理特征参数。
1.2 颜色特征
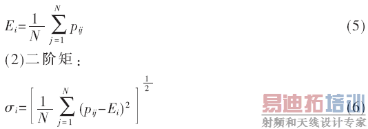
颜色特征非常稳定,是病害识别的一个重要参数[11]。颜色矩[12]是由Stricker和Orengo提出的一种简单有效的颜色特征表示方法。由于颜色信息主要分布于低阶矩中,提取RGB颜色空间各分量的一阶矩和二阶矩共6个量作为颜色特征参数。计算每一个颜色通道的一阶矩和二阶矩,记i通道的第j个像素为pij,N为像素总数,其计算公式如下:
(1)一阶矩:

2 特征变量筛选
平均影响值(MIV)反应了神经网络中权重矩阵的变化情况,被认为是在神经网络中评价变量相关性最好的指标之一。将平均影响值的思想应用于支持向量机回归中实现非线性的特征变量筛选,以提高小麦病害的识别精度、减少训练和识别时间。特征变量筛选过程如下:
对于一个具有n个变量的自变量向量进行m次观测,可以得到X=[x1,x2,…,xm]T的变量空间,它所对应的因变量可以写为Y=[y1,y2,…,ym]T。
使用拥有m个样本的自变量向量X对支持向量机进行训练得到预测模型。将用于训练的自变量空间进行如下变换,得到2n个新的自变量空间(i=1,2,…,n):

把新的自变量空间作为训练得到的预测模型的输入,经过支持向量机回归预测可以得到第i个自变量变化时与之对应的2n个输出向量(i=1,2,…,n):

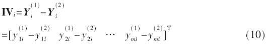
对式(8)、式(9)中两个向量做差运算,得到第i个自变量变动后对输出产生的影响变化值向量:

将IVi按观测例数平均得到第i个自变量对于因变量的平均影响值MIVi:

MIVi为第i个自变量对输出结果产生的平均影响变化值,正负号表示自变量对因变量产生影响的方向,绝对值大小表示自变量对因变量的影响程度。根据MIV绝对值的大小为自变量排序,删除对识别结果影响较小的特征变量,即实现了变量筛选。
3 病害识别
将已采集的小麦叶片图像分割后,分别提取病害区域纹理特征和颜色特征。纹理特征主要提取的是角二阶矩、惯性矩、熵、相关性在0°、45°、90°、135° 4个方向的均值和方差,颜色特征主要提取的是R、G、B三通道的颜色一阶矩和二阶矩。将提取出的特征变量进行筛选,选出对识别结果影响较大的特征作为输入向量。建立基于径向基核函数的支持向量机分类模型,输入优选特征实施小麦病害识别实验。病害识别流程图如图1所示。

4 实验与分析
叶片健康区域通常为绿色,病害区域为非绿色,依据植物叶片和病斑颜色特征差异大的特点,采用经典阈值分割方法简单有效,小麦叶片图像和对应的分割病斑图像如2所示。

以MATLAB7.0作为图像处理和分析平台进行试验,选取小麦白粉病、条锈病、叶锈病和秆锈病病害图像80张(每种病害各20张)作为训练样本,再选取80张(每种病害各20张)作为测试样本。计算训练样本图像的纹理特征和颜色特征,并对其进行特征变量筛选。根据每个特征变量对识别结果的影响程度进行排序,排序结果如表1所示。

为了使得到的支持向量机分类器的学习能力与推广能力保持平衡,有效地避免过学习和欠学习状况的发生。采用交叉验证(K-CV)的方法进行参数寻优,让c和g在[-10,10]内取值,对于取定的c和g,把训练集作为原始数据集利用K-CV方法得到在此组c和g下训练集验证分类准确率,取训练集验证分类准确率最高的那组c和g作为最优参数。根据MIV位次表,当取7个特征变量分类时,最优参数c=8,g=1.414 2。当取14个特征变量分类时,最优参数c=1.414 2,g=2。参数选择结果的3D视图如图3所示。

计算测试样本图像的纹理特征和颜色特征,分别使用优选的7个特征变量和14个特征变量对小麦病害进行分类识别,分类准确率如表2所示。

由上述实验结果可知,冗余特征变量会使识别模型训练时学习过多的样本特征,而不能反映内含的主要规律,导致预测能力下降。将平均影响值的思想应用于支持向量机回归进行非线性变量筛选,筛选出的7个特征变量作为输入向量具有更优的识别准确率,并且程序运行时间缩短。
以G分量一阶矩、G分量二阶矩、R分量二阶矩、B分量二阶矩、R分量一阶矩、熵均值、B分量一阶矩作为输入向量对小麦白粉病、条锈病、叶锈病和秆锈病分类效果较好,表明该方法用于识别小麦叶部病害是有效可行的。
5 结语
本文采用经典阈值分割方法对小麦病害图像进行分割简单有效。将平均影响值思想应用于支持向量机回归得到7个重要特征,简化了分类模型结构,提高了小麦病害识别准确率,为农田小麦病害诊断提供了有效的识别方法。
参考文献
[1] 杨倩,高晓阳,武季玲,等.基于颜色和纹理特征的大麦主要病害识别研究[J].中国农业大学学报,2013,(18)5:129-135.
[2] 刘涛,仲晓春,孙成明,等.基于计算机视觉的水稻叶部病害识别研究[J].中国农业科学,2014,47(4):664-674.
[3] 刘连忠,张武,朱诚.基于改进颜色特征的小麦病害图像识别技术研究[J].安徽农业科学,2012,40(26):12877-12879.
[4] PUJARI J D,YAKKUNDIMATH R,BYADGI A S.Classification of fungal disease symptoms affected on cereals using color texture features[J].International Journal of Signal Processing,2013,6(6):321-330.
[5] SANNAKKI S S,RAJPUROHIT V S,NARGUND V B,et al.Leaf disease grading by machine vision and fuzzy logic[J].Int.J.Comp.Tech.Appl,2011,2(5):1709-1716.
[6] 余秀丽,徐超,王丹,等.基于SVM的小麦叶部病害识别方法研究[J].农机化研究,2014,36(11):151-155.
[7] 王美丽,牛晓静,张宏鸣,等.小麦叶部常见病害特征提取及识别技术研究[J].计算机工程与应用,2014,50(7):154-157.
[8] 李冠林,马占鸿,王海光.基于支持向量机的小麦条锈病和叶锈病图像识别[J].中国农业大学学报,2012,17(2):72-79.
[9] HARALICK R M,SHANMUGAM K.Texture features for image classification[J].IEEE Trans.on Sys,Man,and Cyb,1973,SMC-3(6):610-621.
[10] ULABY F T,KOUYATE F,BRISCO B,et al.Textural information in SAR Images[J].IEEE Transactions on Geoscience and Remote Sensing,1986,24(2):235-245.
[11] 张永梅,吴攀,李炜.一种图像敏感对象的识别方法[J].计算机测量与控制,2014,22(7):2167-2169.
[12] STRICKER M,ORENGO M.Similarity of color images[C].SPIE Storage and Retrieval for Image and Video Databases Ⅲ,1995:381-392.
上一篇:艾德克斯聚焦功率电子测试领域
下一篇:干细胞制造可跳动人工心脏:与心脏同尺寸


