- 易迪拓培训,专注于微波、射频、天线设计工程师的培养
一种自动称量装置的研究设计
摘 要:自动称量装置的应用领域非常广泛,比自动称量装置的应用不仅提高了劳动效率、减轻了工人的劳动强度,而且在很大程度上提高了配料的精度、保证了产品的质量。自动称量装置的代表产品是针对固体粉末状物料或者细小颗粒物料——食品加工中的面粉、白糖等称量。在进入称量之前要进行烘干等前处理工序,以保证达到自动称量装置的要求条件即固粉末、微粒以保证称量精度。
单片机、计算机和工业机器人的应用,使人们不需要在有生命危险的工作场合做作业,还可以从烦琐的机械工作中解脱出来。因此,传感器在这方面的作用是无可代替的。它能实时的反映系统的工作情况、环境状况。而这些数据是计算机进行控制所必须的。利用计算机控制在某些方面还可以提高精度比如:在配料方面。它可以去除人们因为工作疲劳、情绪、失误等方面使配料的精度受到影响。并且还可以大大提高生产效率。
在机械、食品加工、饲料、医药、化工、冶金、矿山、橡胶、陶瓷、水泥等行业中都需要连续配料。计算机和传感器在这些行业中的使用大大提高了生产效率,并使配料的精度也有很大的提高。
1 设计研究分析
本文的设计研究对象主要是针对固体粉末状物料或者细小颗粒物料称量的自动配料生产线。要求的配料精度达到99%以上,并且可以应用于称量物料组成在四种及四种以上的多种物料的自动配料生产线上。可以适用的典型行业有:机械、医药、食品加工、饲料、陶瓷等。
由于影响称量精度的内部环节有5个,而每个环节也有3种实现方法,因此就有35=243种方案。笔者采用线性加权法构造评价函数,并取失效率和成本的权重系数各为0.5,利用以下的式子:

考虑到失效率和相对误差应该越小越好,成本越少越好,所以在代入时用负值,而得到的数值也必为负值。
经比较计算得出最佳方案如表1所示。

由于称量范围、远程控制等性能指标不具有互补性和等效性,因此可直接通过相应的机械部件和电气部件设计来实现。
经过上述工作,可以得到自动称量装置的总体结构方案及设计的具体要求。(1)机械部分的设计方案及要求可以归纳如下:①送料部分采用步进电动机驱动的叶片式送料,其开口的大小可以调整。②机座部分要有机械隔振装置,对5Hz以上的机械振动具有优于-20dB的衰减能力。③料斗部必须能容纳30~100kg的固体粉末状物料或者细小颗粒物料,且当料斗内的物料少于等于30kg时系统要求报警,并能自动的从料仓中提取物料。(2)电气部分的设计方案及要求也有如下:①传感器精度优于0.03%。②放大器精度优于0.01%。③数字滤波器对5Hz以上的波动信号具有优于-20dB的衰减能力。④控制器运算过程中的截尾误差、舍去误差等运算中的误差小于0.005%。⑤系统的软、硬件支持远程控制功能。
1.1 精度校核计算
在上面选择最佳方案中提到了总性能指标值的相对误差为0.128%,这是系统产生误差的一部分,此外还有电路延迟产生的误差;还有料口关闭后有部分物料没有在计量之中所产生的误差;还有落料冲量产生抖动的误差等。
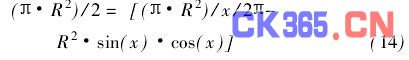
下面以一般情况下的流量(1.5t/h,也就是25kg/min)进行精度计算:
(1)首先计算料口关闭后的落料(即在空中的物料)
其中要求各物流量段对应一开口(比如:50~60kg对应开口为πR2/2,计算时间:
![]()
其中h=0.095m(建立立体模型后得到的)。
得
![]()
则
这部分产生的误差,我们可以将其质量先加到总质量中,即在称量值中减去对应开口所产生的质量。举例说:当需要G=50kg,而这里开口产生的误差质量为G′=0.02kg,所以在累积比较器中的数据为G-G′=99.99kg即0.01%。而对于不同开口面积,产生不同的G′,只要将这部分的G′的质量减去,就可以降低这部分产生的误差直至消除它。
(2)对于电路延迟的误差 这方面主要是在8031单片机中延迟,基本上可以保证在几毫秒之内,这里以0.010s计算,所产生的质量误差为0.005kg。按以上的情况计算得到:0.005%。
(3)落料冲量产生抖动的误差 这里要考虑的是下落物料的冲量对皮带产生的压力大小计算。这部分的误差一直在系统运行中存在,所以在这方面进行处理时要特别:比如将两个传感器离下料口远一些。使其产生的误差确定在0.025%左右。
即总的误差为δ=0.128%+0.005%+0.02%+0.025%=0.178%。再考虑有些不定因素总的误差放宽到δ=0.5%,所以得到精度99.5%。
1.2 工作传动原理及叶片控制阀设计
其大概的设计流程如图1所示:在图中所示总共有4个物料斗,分别装有四种不同的物料,它们各自配备一套称量装置。黑色的方块表示两个称重传感器,黑色的圆环表示速度传感器,而另外所要指出的是如图所示的“叶片控制阀”,且都有各自的变速电动机直接驱动由各自的分机控制。

系统的整体精度都和料口的关闭时间及关闭速度有关。其中料口的关闭时间只和系统程序控制有关,这里暂时不考虑。而关闭速度就和料口的装置、形式有关。这里重要对料口控制阀作以下介绍。
为能有效的控制料口的大小,采用圆形出料口,双叶片,通过齿轮使两叶片同时运动。用SolidWorks做的立体模型如图2所示(为了说明是两片不同的叶片所以采用了两种不同的颜色,其实它们的材料的完全一样的。虚线圈表示料口的位置,黄色的齿轮是用来传递动力的,且它和黑色的叶片相对固定。而两叶片之间也通过齿轮传动,实现同时运动。上片有斜切面是考虑方便截断用的,而下片的最外边设有挡边,为防止会有物料落入装置)。

之所以要采用料口可控,主要也是为提高系统的精度考虑。当称量比较大时开大料口增加流量,可以缩短工作时间,提高效率;而当称量比较少时控制料口变小,这样延长了称量时间利于控制称量精度。
例:如需要配150kg的混合物。物料A占40%也就是60kg,物料B占30%也就是45kg,物料C占25%也就是37.5kg,物料D占5%也就是7.5kg。如果让四种物料以同样的流量进行称量,物料A、B、C的精度基本上可以控制在要求之中,但是物料D由于称量质量少,而流量大,可以在很短的时间内完成,时间控制误差很大,所以,其精度却远远不能达到要求。但如果控制它的流量变小,控制时间相应变长,其精度也就能得到提高。所以要有开口流量的控制才能保证系统的称量精度在99.5%。
图3料口与称量的关系图所示在控制开口流量方面,设计采用:让四种物料基本上能同时完成称量工作。也就是同时开始,通过控制流量使它们基本上同时结束。这样不仅能提高系统的工作效率,而且能提高系统的称量精度。

在系统运行中最常用的就是1.4t/h,也就是开口基本上是在半开的情况下工作的。具体的步进电动机的转角与开口的大小之间的联系,当带动齿轮转动40°(设计值)时为全开;设转动X°时为半开,通过几何分析可以得到它的解。其计算方法如下:虚线圈面积为(即料口全开)。
![]()
当料口半开时其中心面积为:
![]()
设转角为x,如图4所示计算阴影面积得


由上面的方程可以求得当料口打开1/2时的2圆相交角x的解。
同理推广,当料口面积为S时的情况。并且经几何图形分析就可以计算出齿轮的旋转角度x(几何分析图形在下一页),其步骤如下:根据2圆的相交面积S,以及形状可以求得L1、L2的长度,又以知2圆的半径R=80mm,从而得到变量x。与面积S之间的关系:

而δ是一个恒定值,可以测量计算得。
根据三角形相似得:α=π/2-x°;就得到了叶片转动的角度→x值。再根据齿轮的传动比计算得步进电动机的转角,并且根据开口与称量曲线关系进行转角对应,把这些数据(一些主要数据如:全开时步进电机所要转动的角度α1、半开时进电机所要转动的角度α2、1/4开口时步进电机所要转动的角度α3……;并且根据实际经验确定相应的流量段与之对应)输入电脑主机中,这样主机就可以根据这些数据,利用总体的称量时间基本趋向一致。
计算并选择每种物料的料口开口流量大小,并把这些计算得到的数据通过串行总线,送给各个分机。由各分机按照主机的命令控制各自步进电动机的旋转角。实现对料口大小的控制,达到所要设计的要求。
2 微机自动配料秤系统配料秤称量系统的组成
2.1 配料秤由其上方片叶式给料机供料
为了实施自动配料,提高配料精度以及降低劳动强度,配料秤皮带应该为可调速皮带。可以使用富士G9型变频器同时实现控制配料秤皮带和片叶式给料机的开闭。配料秤选用了载重传感器TY1003型、速度传感器选择CS-40型,他们分别配智能变送器DBZ-II及变送器BSQ-2,秤的二次表用8031单片机设计。二次表的一路瞬时量输出4~20mA电流信号经配电器SDBT-211隔离后,分两路分别进入S-9000系统和Infi-90系统。系统的示意图如图5所示。

2.2 秤量计量原理
秤的计量原理为:当皮带机单位长度上物料重量为q,皮带的速度为v时,皮带机上每秒钟内单位长度上通过物料的重量为qv ,那么皮带机在Δt时间段内通过的物料为∫qvdt(积分区域为t1→t2的Δt时间段),配料秤所有的信号都以此量为基础进行变换而来的。
2.3 秤信号和精度控制
秤信号的变换,秤的测速传感器是带有40槽辊,直径为45mm,每转1圈相当于皮带行走了0.14137m,电器原理图如图6所示。

在图5中,皮带的速度快慢通过光栅感应出GK102的导通时间的长短,它和信号端+5V脉冲的宽度成反比。因此在变送器的输出端得到成反比的4~20mA电流信号,在生产时其运行速度被调整为20mA对应0m/s,18mA对应0.8m/s(上限速度,相对于变频器运行在50Hz来讲的),其常用速度为0.4m/s,对应19mA的电流。具体的有关这方面的计算在下面进行。
2.4 精度控制计算
本设计的要求配量在100~200kg之间,因为既要考虑秤量的精度,要达到99.5%以上的配料精度;也要考虑系统的工作效率,基本上要在10 min之内完成。这里对每一种不同的配料有不同的需求量,所以采用量大的,其开口流量也大;而量小的其开口流量也要相应的小。
如果对所有不同量的配料,用同一流量进行配料,那么其产生的误差就会增加。这个道理就如:用量程为1000mL,在秤量10mL的液体一样,其结果当然不准了。因为所选器材的量程对其精度影响很大。所以本设计要求料口的大小可以控制。其开口大小与所需质量的关系如图3所示。这种方法既可以提高系统的配料精度,而且还可以使系统的工作效率也有提高。
这里还要考虑皮带对系统的影响。要求在开料口之前,先开动皮带,当速度传感器上输出我们所要求的值时。记录此时的重量值,并且打开料口。接下来就是秤量重量,然后将数据通过DBZ-II变送器上准确地调校输出电流值。
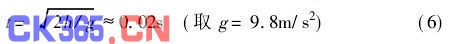
所以系统设计为如下:秤的荷重传感器共有2个,其量程为30kg,输出信号为0~20mV;秤的量程被定义在0~2t/h(常用流量大约为1.5t/h,也就是25kg/min),为了便于计算其位皮带上的料重,对应变送器的输出端定义为2kg/m对应于20mA,0kg对应于电流4mA;若皮带速度为0.4m/s,而下料量在1.5t/h,则DBZ-II变送器的电流输出为XmA。
2kg/m→20mA,0kg/m→4 mA,所以要求在1.5t/h时它所对应的输出电流。
以皮带在一般情况下的工作速度0.4m/s,进行以下的计算:因为:1.5t/h对应的是1.041kg/m。
![]()
故计算得:X=12.33mA
对于配料秤的选择即:量程的合理选择,非常重要。由于秤的最大称量值越大,误差也相应越大。而称量值越小,要求配料误差也必须越小。所以要求在一般称量要求比较大时,用量程较大的秤;称量要求比较小时,用量程较小的秤。并且有时还可以采用分组配料,以降低配料误差。提高精度和自动化水平。
上一篇:基于单片机的镍镉充电电池智能管理系统设计
下一篇:直流感应电疗机的原理与使用


