- 易迪拓培训,专注于微波、射频、天线设计工程师的培养
基于数字电位器的可编程稳压器设计
0 引言
可调式线性稳压器和开关式稳压器都是通过手动调节电阻值来改变输出电压的,不仅调节精度低,而且使用不够方便。数字电位器(Digital Polentiometer)亦称数控电阻器(Digitally con-trolLED Potentiometers),可简称为DCP。利用数字电位器代替可凋电阻,可构成由计算机控制的可编程稳压器。
1 可编程线性稳压器的设计
1.1 三端可调式线性稳压器的基本应用
三端可调式线性稳压器属于第二代二端线性稳压器。它既保留了第一代三端同定式线性稳压器7800、7900系列产品结构简单的优点,又克服了电压不可调整的缺点,并且在电压稳定度上比前者提高了一个数量级。适合制作实验室电源及多种供电方式的直流稳压器。典型产品有LM317,其主要技术指标为U1=2~40V,Uo=1.25~37 V,IOM=1.5A。其电压调整率SV=0.02%,负载调整率S1=O.1%。
LM317的基本应用电路如图1所示。R1、R2为取样电阻。LM317的最小负载电流,IL=5 mA,若要留出余量,亦可取IL=10mA。R1的阻值有两种取法:

(1)当IL=5mA时,R1=1.25V/5mA≈240Ω,此时R2可选6.8kΩ的可调电阻;
(2)当IL=10mA时,R1=1.25V/10mA≈120Ω。
R2可选3.4kΩ可调电阻。
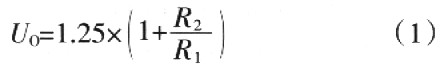
调整R2时均可获得1.25~37V的稳压输出。C2可滤除R2两端的纹波,使之不能经放大后从Uo端输出。D2为保护二极管,一旦U1发生短路故障,由D2给C2提供泄放回路,避免C2经过LM317内部放电而损坏芯片。C1能防止输出端产生自激振荡。当稳压器的输出端接大容量负载电容CL时,D1可起到保护作用,一旦稳压器的输入端发生短路,CL上积存的电荷便经过D1对地放电。输出电压的计算公式为

显然,当R2=0时,Uo=1.25V;当R2/R1=28.6时,Uo=37V。该电路的缺点是输出电压值必须靠手动调整,不仅调整精度低,而且使用不够方便。
1.2 由数字电位器和LM317构成的可编程线性稳压器
1.2.1 电路设计方案
由数字电位器和TM317联合构成可编程线性稳压器时有3种电路设计方案。第一种方案是用数字电位器(DCP)来代替图1中的R2,电路如图2(a)所示。此时DCP就作为LM317的调整电阻,DCP工作在可调电阻器模式。设调整后的电阻值为RDCP,单片机通过改变RDCF值,即可设定稳压器的输出电压。第二种方案是用RDCP同时代替R1、R2,这样可节省一只电阻元件,其简化电路如图2(b)所示,其他部分与图2(a)相同。第三种方案是将数字电位器串联在R1、R2中间,简化电路如图 2(c)所示,该电路适合在小范围内对输出电压进行精细调节。

1.2.2 设计要点及使用注意事项
(1)稳压器的电压调节范围 在用数字电位器代替可变电阻时,线性稳压器的调节范围会变窄。普通数字电位器的电源电压范围一般为2.5~5.5 V(或3~6V),典型值为5 V,因此RDCP上的压降不得超过5 V,此时Uo的调整范围就被限制在l.25~6.25V。如果RDCP上的压降超过5V,就必须采用高压数字电位器,例如MAX5436~MAX5439均属于高压数字电位器。其最高电压可达30V。当输入电捱U1=+25V、R1=240Ω、RDCP=0~398kΩ时,输出电压Uo可在+1.25~22v范围内变化。
(2)稳压器的空载稳压特性 由数字电位器构成可编程线性稳压器时,应考虑LM317的空载稳压特性。为使LM317达到最佳稳压性能,空载时的最小负载电流至少应等于5 mA。因此,应选择最大工作电流为5 mA的数字电位器,例如X9313WP型32抽头数字电位器。数宁电位器的阻值选10kΩ为宜,从中很容易获得RDCF=6.8kΩ的电阻调整范围。数字电位器的抽头数应根据所要求的电压分辨力来选择。普通数字电位器的最大工作电流一般仪为1 mA,无法承受5 mA的工作电流。这就要求必须按比例增加RDCP的电阻值,但这会使稳压性能降低。其理由如下:LM317的静态电流IADJ=50μA,在正常情况下取IL=5mA时,IADJ在RDCP上形成的压降URDCP=IADJRDCP。将RDCP调整到1.008 kΩ时,U。=6.5V,此时URDCP=O.05V,该电压与IL在RDCP上形成的压降相叠加,最终仅会使Uo升高0.05V。而当IL’=IL/5=lmA时,必须将R1和RDCP的电阻值扩大到原来的5倍,变成R1’=5R1,RDCP’=5RDCP;将RDCP’调整到5.04kΩ时,Uo=6.5V,此时IADJ在RDCP’上形成的压降也扩大到5倍,会使Uo升高O.25V。综上所述,Uo随RDCP的电阻值而变化是造成稳压性能降低的主要原因。 为使普通数字电位器也能满足空载稳压特性的要求,有以下3种解决方法。
(1)将几只电阻值相同的数字电位器进行并联,以扩展工作电流,并联后的总电阻值必须符合调整要求。此方法的缺点是需要使用多个数字电位器,会造成资源浪费。
(2)在LM317的输出端接一只假负载RL。这种方法的缺点是RL与R1、RDCP并联之后不仅会降低电源效率,还改变了调整RDCP的线性度。
(3)更好的方法是采用基准电压源,经过数字电位器分压后直接给LM317的ADJ端提供一个基准电压UBEF。基准电压源具有电压稳定度高,不受环境温度变化的影响,能通过外部元件作精细调整,获得高准确度的电压值、使用灵活、方便等优点。由LM336-5.0型5V基准电压源、10kΩ数字电位器和缓冲器构成的可编程线性稳压器电路如图3所示。

设计可编程精密稳压器时,还应考虑数字电位器滑动端电阻、阻值偏差、电阻温度系数等因素的影响,上述误差均可通过软件进行修正。
2 可编程精密低压差稳压器的设计
在工业控制领域,有时需要提供一个能在小范围内作精密调整的高效率、低压输出的数控线性稳压电源。利用低压差稳压器(Low Dropout Regulator,LD0),能大大提高电源转换效率,节省电能。由DS1809和低压差稳压器LP2950-5.O构成可编程精密低压差稳压器的电路如图4所示。DSl809属于按键式64抽头非易失性数字电位器。LP2950-5.O是美国SIPEX公司推出的低压差稳压器,其输出电压为+5v,额定输出电流为100mA,特别适合采用电池供电的系统,如手机、无线控制系统及笔记本电脑。LP2950-5.O具有低静态电流、低压差等特性,在轻载时的压差仅为50mV,输出100mA电流时的压差也只有380mV。

该可编程精密低乐差稳压器的输入端接6 V电池。输出电压Uo=+5~5.5V,调节范围是O.5V。O.5 V被DSl809分为64份,步进量为7.8 mV。DSl809的总电阻值有10kΩ、50 kΩ和100kΩ三种规格,可供选择。R1、R2为分压电阻,它们与DSl809的输出电阻RDCP一同构成分压器。分压器的输出端接LP2950-5.0的反馈端(FB),通过按键设定RDCP的电阻值,即可在规定范围内精确地调节Uo值。C1为输入端的退耦电容。C2用来滤除Uo中的交流噪声并改善瞬态响应。当输出端接负载时,C3为输出端滤波电容。D1为保护二极管,当C3充满电荷,而输入端对地短路时,可避免C3向LP2950-5.0放电而损坏稳压器。正常工作时,Uo经过D2对C4充电;在断电时,利用C4两端提供的电压能使DSl809有足够的时间将滑动端位置存储下来。D2采用BAT54型(0.2 A/30V)肖特基二极管。DS1809的滑动端(RW)与高端(RH)互相短接,作可调电阻器使用。S1、S2为手动按键,每按下一次S1时,DS1809的输出电阻值就递增R/64,使Uo减小7.8mV。S2的作用与之相反。
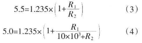
输出电压的表达式为

式中:UREF为反馈端内部电压比较器的1.235 V基准电压。
输出电压的最大值Uo(max)和最小值Uo(min)取决于R1、R2和R。只要给定Uo(max)、Uo(min)值,利用式(4)即可求出所需要的R1、R2值。
举例说明:当DS1809的总电阻值R=lO kΩ,滑动端移到低端位置(RL)位置时,RDCP=0,Uo=Uo(max)=+5.5 V;当滑动端移到高端位置(RH)时,即RDCP=R=10kΩ时,Uo=Uo(min)=+5.OV。分别代入式(2)中,得到

从式(3)和式(4)组成的联立方程中可解出,R1=233.90kΩ,R2=66.75 kΩ。实际可选R1=220kΩ、R2=68kΩ的标称电阻,电阻功率均为0.125 W。
利用上述方法,还可获得更宽的输出电压调节范围,例如,可设Uo=+4.5~5.5V,调节范围为1 V,步进量为15.6mV,计算结果为R1=101.1 kΩ,R2=283 kΩ。可取标称值Rl=100 kΩ,R2=27 kΩ。若DS1809的总阻值R=50 kΩ,要求Uo=+3.0~5.5V,调节范围为2.5V,步进量为39mV。不难算出,R1=119.5kΩ,R2=33.6kΩ。可取标称值R1=120kΩ,R2=33 kΩ。
上述公式均未考虑DSl809的滑动端电阻RW,其典型值为400 Ω。必要时可将RDCP值与RW相加,再对计算结果进行修正。操作时即使不慎将S1或S2按下,Uo只能改变很小的数值,也不会超出规定范围。
3可编程开关式稳压器的设计
LM2576系列产品是美国摩托罗拉(Motorola)公司、国家半导体公司(NSC)推出的高效率大电流输出的降压式开关式稳压器。LM2576系列主要包括3.3V、5 V、12 V、15 V和可调式共5种规格。最高输入电压为40V,最大输出电流为3A。采用脉宽调制(PWM)控制方式,最大占空比可达98%,转换效率可达75%~88%。它具有关断功能,可使稳压器进入低功耗待机模式,待机电流仪为80μA。还具有完善的保护电路,包括过电流保护及过热保护。
由数字电位器和LM2576-ADJ构成可编程开关稳压器的电路如图5所示。现利用10kΩ数字电位器DCP来代替R2,改变RDCP值即可设定稳压器的输出电压值。例如,当R2=RDCP=7.76 kΩ、R1=2.OkΩ时,Uo=6.00V。该电路的Uo可在+1.23~6V范围内变化。

4 结语
数字电位器是采用CMOS 工艺制成的数字-模拟混合信号处理集成电路,具有使用灵活、调节精度高、无触点、低噪声,不易污损、抗振动、抗干扰、体积小、寿命长等显著优点,可在许多领域取代机械式电位器,构成各种可编程线性稳压电源,实现数控稳压电源的优化设计。


