- 易迪拓培训,专注于微波、射频、天线设计工程师的培养
基于平均Q因子的可重构光网络性能监控
0 引言
随着多媒体业务的发展。光骨干传输网络中的分组信号所占的比重越来越大,由于分组数据业务突发性和其不可预见性,因而要求光网络具有可重构性。可重构光网络是一种自动地、动态地分配带宽资源,适应于以数据业务为主导的光网络。对可重构光网络的监控,尤其是性能监控尤为重要。
可重构光网络及其性能管理的研究已经取得了较大的进展。其中Q因子测量方法是一种有效的监控方法,是确定光通道质量的有效手段。通过测试Q因子来评估BER性能,可以得出最优设计设备中的最小BER。它既可以采用双判决电路进行在线监视,也可以采用单判决电路工作在在停业务状态。眼图是观察波形失真、噪声水平和信号质量的首选工具。现在,国内外已有很多基于眼图的不同抽样方法,可实现光性能的监控。
在现有的几种方法中,通过眼图抽样可得出信号的标准差和平均功率值,从而得出Q值。此方法需要时钟定时提取,实现过程较复杂;而运用异步眼图抽样法来监控光信道中的归零码和不归零码的性能参数(主要是光信道的色散),测量的参数比较单一,不能完全反映信道质量;依据Q值和误码率的对应关系,提出了一种在线检测光信号Q值的方案,并基于数字信号处理芯片技术设计了检测模块,从而实现了信号的在线Q值监测。此方法的判决电平不易确定,而且当噪声幅度较大时,误差也大;利用同步眼图来计算平均Q值的方法在抽样时需要时钟提取来同步,既复杂,成本又高,而且这种方法比特率也不透明;而使用异步眼图抽样方法来抽样脉冲宽度对测试结果的影响,则不需要时钟恢复,而且比特率透明、成本低。
以上大多没有监测对其测试结果和实际系统之间的关系做深入研究。为此,本文在总结前人研究的基础上,提出了一种新的监控方法,即在不需要时钟定时提取的条件下,通过异步眼图抽样法,并利用计算机仿真来计算并得出平均Q值。通过比较平均Q值和初始Q值的关系,可以快速监测系统的性能。该方法用于多波长系统可得出抽样间隔和测试结果之间的关系,进而实现有效监测多波长光网络的作用。这种方法比特率透明,结构简单,容易实现。
1 实现原理
反映光通信系统信号性能质量的参数很多。但无论采用哪个参数,都能从不同程度上反映光通道的性能。在这些参数中,BER反映的光通道性能最为准确,但其测量需要电光变换和时钟恢复等复杂操作。目前大多数系统采用OSNR来评估光通道性能,但精确度不够,因此,一个新的参数,即Q因子被引入其中。
Q因子是反映光纤通信系统电信噪比(SNR)的重要参量,它的定义是接收机在最佳判决门限下电信号功率和噪声功率的比值,可适用于各种信号格式和速率的数字信号,而且不需要解开帧结构。因此,在进行系统分析时,比较简单易行。Q因子参数的确立和测量方法的实现,对于可重构光网络的实际维护和测试有着重要的意义。
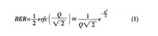
由于Q因子是在光接收机判决数据之前测量得到的,因此,很容易建立与BER之间的关系:

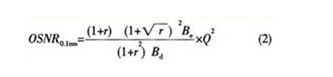
此外,由于计算Q因子的噪声功率部分是由ASE造成的,故此,Q因子和OSNR之间的关系可由正式得到:

式中,r为发送端光信号的消光比。
图1所示是平均Q值的异步眼图和它的振幅直方图。其中幅度图表示的是信号传号和空号的幅度分布,平均Q值的定义式为:

其中,μ1是信号1的平均电平,σ1是信号1电平的标准方差(噪声),μ0是信号0的平均电平,σ0是信号0电平的标准方差(噪声)。
利用该方法可监控传输光纤中信号的SNR。用光接收机和示波器来测量光信号的异步眼图,并通过对眼图进行抽样得出平均估计Q值。通过大量的计算机模拟仿真来选择恰当的抽样点间隔,笔者发现,在平均估计Q值和初始Q值之间有一个线性关系。运用这个线性关系可以实现光网络的性能监控。同时,在光学采样后,通过简单地增加波长鉴别,还可以用于多波长通道的监测。
2 系统结构
图2所示是一种取样方法的系统流程图,模拟仿真就是建立在这个系统之上的。将输入的光信号通过分路装置分成两个网络,一部分通过光纤输出,另一部分输出到调节器。采样脉冲和输入的光信号可进入由低频脉冲发生器驱动的独立偏振调制器。由于这种脉冲调制和数据是异步的,故可进行抽样平均。当信号进人到下一个系统时,系统将由一个光电二极管在一个特定的时间内检测调制信号的功率。数字信号处理器可用来收集测量数据,并获得相应的概率密度函数。然后利用这些概率密度函数来分析监测信息。该方法可同时用于估计不同波长信道的Q因子。

3 仿真实现
图3所示是该光网络性能监控系统的仿真流程图。可以用一个余弦信号加随机正态噪声来模拟光纤中传输的信号(包括伪随机二进制序列的NRZ码信号和自发辐射噪声),以得出初始Q值。然后选择恰当的输入信号抽样点,可以周期为单位,两抽样点之间间隔为T+n·△t,再将抽样值放人一个一维数组中。之后再按照抽样值电平的范围,对一维数组中的抽样值进行统计,并根据统计值绘制振幅高斯分布图。最后根据高斯分布图求得平均估计Q值。这样,将初始Q值和平均估计Q值进行比较,就可以得到两者之间的关系图。

4 仿真结果
选取不同的抽样点数和抽样间隔,即可在不同的初始Q值情况下,得出表1和表2所列的平均Q值。
由表1和表2可知,在抽样过程中,当抽样点数较少时,两抽样点之间的间隔T+n·△t对仿真结果有较大的影响,测试结果往往不能反映实际Q值。一般地,当抽样点大于40000个,由抽样位置不同造成的平均Q值之间的差别小于0.01,而仿真结果与抽样位置(T+n·△t)基本无关。由于系统不需要时钟定时提取,抽样点位置是随机的,故可能取到函数值为0处,从而导致平均Q值比初始Q值小很多。但平均Q值是稳定的,仍然可以反映初始Q值的大小。笔者得出的初始Q值和平均Q值之间的关系如图4所示。


由表1、表2和图4可知,当初始Q值由6降低到5时,单波长信道的平均Q值从3.0086降到2.9082,降低了0.1004。而在抽样点大于20000时,抽样位置导致的波动小于0.002,此时,Q值的劣化是可以被监测到的。
在波分复用系统中(4个波分),同样取20000个点进行仿真。当其中某一波长信道的初始Q值由6降低到5时,其它3个信道的Q值仍然为6,此时,四波长系统的平均Q值从3.0085降到2.9835(降低了0.025),抽样位置导致的波动误差也是小于0.002,此Q值的劣化也可以监测。所以,该方法可以用于波分复用系统中。
进一步的仿真还表明,在n个信道的波分复用系统中,某一波长信道的Q值下降导致的平均Q值下降为该波长系统的1/n,所以抽样位置导致的波动误差必须更小。仿真表明,16个波分复用系统中的抽样点数应该大于80000个。
5 结束语
本文主要探讨了一种基于平均Q因子的可重构光网络性能监控技术。此方法利用异步眼图抽样。不需要时钟同步。文中通过大量数值仿真得出了抽样点数对估计Q值的直接影响。结果表明:抽样点数小于5000个时,不能反映实际结果。当测试点数大于40000个以上时,可以测试多波长系统的实际Q值。此方法不但可以快速监测可重构多波长光网络的性能,而且比特率透明,结构简单,容易实现。对于实际的可重构光网络的维护和测试且有重要意义。
上一篇:ERP与MES集成技术及其应用研究
下一篇:光纤测试安装的注意事项


