- 易迪拓培训,专注于微波、射频、天线设计工程师的培养
基于HP41511的微波低噪声放大器的设计
0 引言
随着通讯工业的飞速发展,人们对各种无线通讯工具的要求也越来越高。功率辐射小、作用距离远、覆盖范围大已成为各运营商乃至无线通讯设备制造商的普遍追求,而这也同时对系统的接收灵敏度提出了更高的要求。
1 微波低噪声放大器的作用
一般情况下,一个接收系统的接收灵敏度可由以下计算公式来表示:

由上式可见,在各种特定(带宽BW、解调S/N已定)的无线通讯系统中,能有效提高灵敏度的关键因素就是降低接收机的噪声系数NF,而决定接收机噪声系数的关键部件则是处于接收机最前端的低噪声放大器。
图1所示是接收机射频前端的原理框图。由图1可见,低噪声放大器的主要作用是放大天线从空中接收到的微弱信号,降低噪声干扰,以供系统解调出所需的信息数据,所以,低噪声放大器的设计对整个接收机来说是至关重要的。

2 微波低噪声放大器的主要技术指标
2.1 噪声系数
噪声系数的定义为放大器输入信噪比与输出信噪比的比值,即:

对单级放大器而言,其噪声系数的计算为:

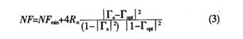
其中Fmin为晶体管最小噪声系数,是由放大器的管子本身决定的,Γopt、Rn和Γs分别为获得Fmin时的最佳源反射系数、晶体管等效噪声电阻以及晶体管输入端的源反射系数。
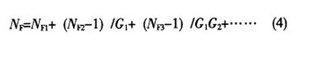
对多级放大器。其噪声系数的计算应为:

其中NFn为第n级放大器的噪声系数,Gn为第n级放大器的增益。
对噪声系数要求较高的系统,由于噪声系数很小,用噪声系数表示很不方便,故常用噪声温度来表示,噪声温度与噪声系数的换算关系为:
![]()
其中Te为放大器的噪声温度,T0=2900K,NF为放大器的噪声系数。

2.2 放大器增益
放大器的增益定义为放大器输出功率与输入功率之比:
G=Pout/Pin (7)
通常提高低噪声放大器的增益对降低整机的噪声系数非常有利,但低噪声放大器的增益过高会影响整个接收机的动态范围。所以,一般来说,低噪声放大器的增益确定应与系统的整机噪声系数、接收机动态范围等结合起来考虑。
2.3 反射系数
由式(3)可知,当Γs=Γopt时,放大器的噪声系数最小,NF=NFmin,但此时从功率传输的角度来看,输入端会失配,所以,放大器的功率增益会降低,但有些时候,为了获得最小噪声,适当的牺牲一些增益也是低噪声放大器设计中经常采用的一种办法。
另外,低噪声放大器的输入输出驻波比、动态范围、工作频率、工作带宽及带内增益平坦度等指标也很重要,设计时也需加以考虑。
3 电路仿真设计
本电路设计要求的频率范围为1.95~2.05GHz,噪声系数:为Nf应小于2 dB,带内增益为G大于10 dB,输入,输出阻抗为50 Ω。现以上述指标来进行电路晶体管的选择以及ADS仿真。
3.1 晶体管的选择
根据放大器的性能要求,本设计选用HP公司的AT-41511作为核心器件来进行设计。由于在ADS软件中包含有这种型号晶体管的器件模型,因此,在设计和仿真过程中可以直接使用,而不必再自己建造器件模型。
3.2 ADS仿真综合指标的实现
仿真时,可将噪声系数、放大器增益、稳定系数全部加入优化目标中进行优化,并通过对带内放大器增益的限制来满足增益平坦度指标,最终达到各个指标要求。反复调整优化方法并优化目标中的权重(Weight),也可以对输入匹配网络进行优化。但是,对部分电路指标的优化也可能导致其它某些指标的恶化,此时可以根据需要增加一些优化变量。

图2所示是经过一次随机优化的S参数图。
仿真结果表明,该电路基本上已经达到了比较好的性能,且具有良好的输入输出匹配,较高的增益和稳定系数,同时噪声系数也比较好。
3.3 封装模型仿真设计
进行完sp模型设计以后,还需要将sp模型替换为封装模型来做进一步设计。具体需要进行的工作如下:
(1)将sp模型替换为封装模型;
(2)选择直流工作点并添加偏置电压;
(3)进行馈电电路的设计(电阻分压、扇形线、高阻线等的使用);
(4)替换为封装模型后各项参数可能会有所变化,如不满足技术指标,还可以对封装模型的原理图再进行仿真优化。
设计封装模型时。可用图3所示的电路来对器件的I-V特性进行仿真,以选择其直流工作点。

在设计偏置电路时,为了防止交流信号对直流电源的影响,可在电源与馈电点之间添加1/4波长的高阻线以遏制交流信号。如果电路中有终端短路的微带线,为了避免直流短路,还应在接地端插入隔直电容。
4 结束语
从仿真设计的过程可以看到,使用Agilent公司的ADS软件进行射频电路设计、仿真和优化是非常方便的。它含有丰富原理图模型库、多种仿真分析方式和一系列使用简便而功能强大的设计工具。这都可使复杂的射频电路设计工作变得简便快捷,省去了大量人工计算设计的过程,提高了设计工作效率。本文给出的微波低噪声放大器的设计还是比较成功的,基本达到了指标要求。
上一篇:电信带宽型业务处理系统的研制
下一篇:电子节能灯设计的十大经验


