- 易迪拓培训,专注于微波、射频、天线设计工程师的培养
基于BiCMOS宽动态可变增益放大器的设计
0 引言
可变增益放大器(VGA)可以实现对不同幅度输入信号进行放大,广泛适用在磁盘读取驱动电路,电视调谐器等宽输入动态范围的系统中。在无线信号收发机的模拟前端和通讯AGC系统中,同样起着至关重要的作用。常见的VGA形式多样。通过改变放大器等效跨导的方法,即改变流入负载的信号电流大小来改变增益,如Gilhert结构电路,但其全差分的电路堆叠了多层管子,限制了输出动态范围。可简单地改变输出电阻,但此时输出节点是放大器的主极点,输出电阻的变化将引起带宽大大变化。近来,有不少电路构造指数规律VGA,但电路相对复杂。本文针对某超外差电视中频接收机芯片中的前置可变增益放大器,构造了一种由稳压源,VGA和控制电路组成的新电路结构。该电路从电源电压、动态范围、带宽等关键指标出发,具有高增益,大带宽等特点,并保证了良好的线性度,而且在控制电路设计中还考虑了噪声分配,提高了电路信噪比。结构框图如图1所示。

1 电路设计与分析
1.1 稳压电路
为了避免外界电源波动及温度变化对MOS管漏源两端电压的影响,提高增益控制的准确性,每级VGA设计配有独立的稳压源。稳压过程是一个负反馈过程,利用调整管跨导的调节,使输出维持在一定范围内,如图2所示。

图2中Q1,Q2构成比较器,M3为调整管。当外界电源扰动或负载变化使Vout增大时,Vout的增加量通过电阻R2~R4取样得到,Vref-Vbl值下降,比较器输出减小,跨导gm3变小,迫使Vout降低,从而输出稳定的参考电压。工作时:

为了消除放大器自激,在电路中加上C1=C2=1.25 pF。C1跨接在放大器M3两端,形成密勒补偿;C2在反馈回路中和R2并联,形成超前补偿,有效保证相位裕度大于45°,提高反馈电路的稳定性。另外加大了调整管M3的尺寸,使(W/L)3=10(W/L)1、2,保证其在最坏情况下极限参数都有充分的余量,保证电路正常工作。
1.2 VGA电路
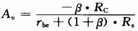
文献简单采用多晶硅电阻和MOS管并联的结构,利用栅压改变输出电阻值。为了提高线性度和可控性,本文采用输出电阻和射极电阻并存结构,分别并联上不同尺寸的管子P1~P5,N1~N6,结构简化如图3所示。

图3中:
(W/L)P2>(W/L)P1, (W/L)N2>(W/L)N1
电路工作时以N管为例:开始Vc=0,此时Vgs-Vth<0,所有N管截止。当Vc上升到刚好使0

并联在射极,使射极电阻Rs减小。当控制电压Vc继续上升时,N1管才导通,Rs进一步减小。通过选择管子宽长比,保证并联电阻Ron2
Vc增加时,N管逐个导通Rs减小,P管逐个截止Rc变大,Av变大。因Vc控制Rc,Rs同时变化,可实现在较小范围控制条件下实现较大输出动态范围变化。
1.3 控制电路
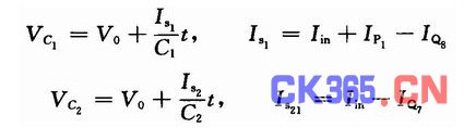
为了尽量降低噪声系数,调整增益范围,设计如下电路,产生互延迟的控制电压V1,V2,从第二第三级起控,保证第一级处在较大增益处。如图4所示。

C1,C2分别经Q5,Q4充电使Vc1=Vc2=Vb=4 V,当Iin>O时,两路分别和由Q8,Q7构成的电流镜形成放电回路,分流控制电容电压值。电容电压为:

P1,P2组成电流镜给C1充电,减小分流带来的影响,使Iin很小时,V1能基本维持不变,产生延迟作用。
电流镜如下:

当Iin足够大时,电容电压下降经二极管Q5,Q4箝位,保持在O.7 V左右。为了控制输入电流在一定范围,可以选择合适的电阻比值和电流镜大小。偏置部分电路未画出。
2 版图设计和仿真结果
使用HSpice电路仿真软件在UMC 0.5μmBiCMOS工艺库下仿真。在Vb=4 V下对控制电路进行直流分析,图5为控制电压随输入电流大小变化关系图。从图中可看出,无放电回路时C1,C2充电在Vb=4 V,当0V2;当30μA

要求增益不大时,由二三级调节可得,当增益要求更高时,第一级起控,以此加大放大器总增益范围,达到宽范围调节的目的。增益在66 dB范围内具有良好的线性度,见图6。

图7为电路在5种不同输入电流时的频率响应。当输入电流为0时,放大器处在最大增益处66 dB;输入电流增加,控制电压减小,增益减小;当输入电流超过60μA时,Av下降到0 dB左右。总增益变化和输入电流成反比。噪声系数仿真不超过28 dB。

增益分配对接收机来说很关键,设计要求最大增益为60 dB。本文采用三级差分放大器串联组成,每级控制范围20 dB左右,最高66 dB,最小带宽为15~88 MHz,满足设计指标,见表1。

3 结语
本文针对某中频接收机芯片设计需要,提出一种宽范围VGA电路,通过控制和稳压模块,进一步提高增益动态范围和电路稳定性。仿真结果表明放大器在70 μA控制条件下实现66 dB的增益线性宽范围调节,性能满足指标,可投入实际生产。在其他宽范围VGA应用场合,此电路同样适用。
上一篇:石油化工仪表系统防雷应用技术
下一篇:经济型的数控机床的网络通讯和控制技术


