- 易迪拓培训,专注于微波、射频、天线设计工程师的培养
基于CPLD和MT8880的远程控制及播音系统设计
0 引言
DTMF传输具有很强的抗干扰能力, 故可广泛用于电话通信系统, 也可以在数据通信系统中用来实现各种数据流和语音等信息的远程传输。本文介绍的广播、对讲系统就是基于DTMF的原理设计, 可在主机端通过MIC与相应的部门进行广播、会议或音乐播放, 也可应用于学校、医院、船只等场合的对讲或播音。
1 系统原理
本系统采用的器件主要有EPM7128可编程器件、MT8880双音频收发器、MT8870双音频接收器。系统设计可配备1~4台主机(含A、B两型主机A型尺寸较大, 为台式安装; B型尺寸较小,为室外安装), 5~15台终端和1~2台电源。其中主机含2个优先级, A型主机为低优先级, 可与所有终端进行MIC喊话和CD/收音播放; B型主机为高优先级, 它只能进行MIC喊话。当A型主机正在进行操作时, B主机可以打断A主机进行喊话, B操作完成后, A再恢复工作状态, 其系统原理框图如图1所示。

图1 系统原理框图
2 关键电路设计
2.1 主机电路
主机上电后, 若本机占用指示灯灭, 则本机可用键有效。当可用键按下后, 本机启动, 即可通过按键选择MIC或CD/收音输入, 然后通过按键选择对相应部门输出。此后, 按键操作一路经CPLD逻辑处理后在键盘显示板上显示, 另一路通过双音频芯片MT8880发送至功放TDA7496, 然后经变压器耦合输出至总线, 再经挂载在总线上的终端解码后, 即可产生相应的控制和扬声器输出信号。图2所示是系统主机原理框图。

图2 系统主机原理框图
2.2 总线转换电路
主机产生的语音信号和双音频信号经功率放大后输出至线路变压器, 再由线路变压器耦合输出至三芯总线。为了减少传输线芯数, 增长线路的传输距离, 可在线路输出端经厄流圈后加载直流24V电源, 这样可省去终端的供电线路。其总线转换电路的电原理图如图3所示。

图3 总线转换电路电原理图
2.3 双音频收发电路
双音频收发电路可采用MT8880芯片来实现。
本设计采用单端输入。其中DTMF信号输入由2脚输入, 再经MT8880解码后由D0~D3输出至CPLD,然后在CPLD内部经逻辑及关系运算, 以产生相应的控制操作信号。DTMF输出由CPLD扫描键盘后, 可用于判断当前的控制状态, 以产生相应的编码, 然后由D0~D3输出至MT8880。其中D0~D3、@、RS0 为MT8880 与CPLD 的接口, @ 为MT8880输入时钟, RS0为寄存器选择, D0~D3为输入输出总线。DTMF收发电路的电原理图如图4所示。

图4 MT8880收发电路电原理图
3 CPLD部分设计
系统DTMF收发程序及现场状态程序设计图如图5所示。valid有效时, 即有键盘触发信号输入, 此时DTMF收发程序开始发送输入编码; 若Valid无效, 则DTMF收发程序处于收状态。ZY为总线的占用控制, ZY有效, 本机不能开机; ZY无效, 本机可对总线进行读写操作。S1为收到有效编码信号产生的触发信号; Pri [0] 为本机优先级设置位。

图5 部分CPLD程序设计图
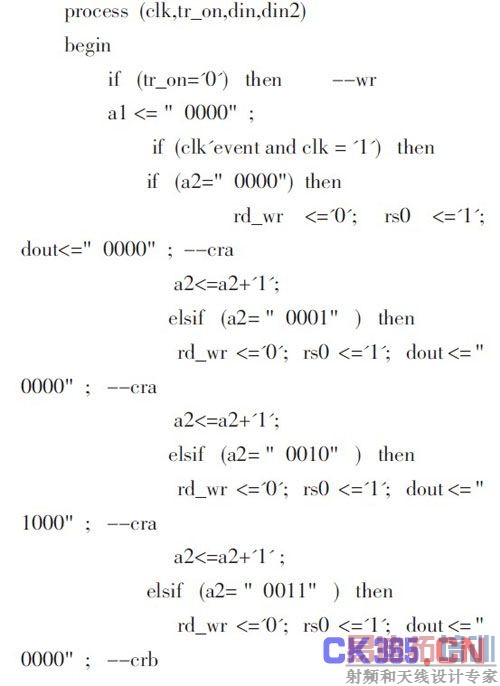
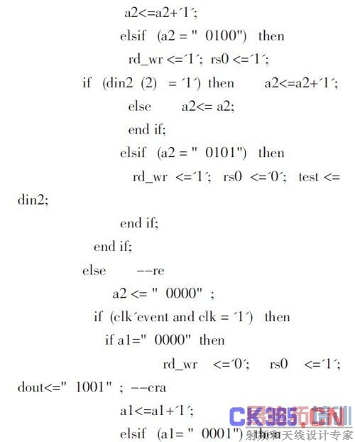
下面是基于VHDL的MT8880收发程序:




4 结束语
根据本文的设计方案可实现基于CPLD 和MT8880的广播和对讲系统。经电路调试后, 即可在三芯线上完成语音及控制信号的高质量传输。目前, 本设计已用实验验证了设计思想的可行性和优点, 具有较高的实用和参考价值, 可以推广应用于医院、船只、矿井等相关领域。
上一篇:无线技术:期待与IT技术深层融合
下一篇:基于CPLD的I2C总线接口设计


