- 易迪拓培训,专注于微波、射频、天线设计工程师的培养
基于二次谐波注入的Doherty功率放大器
0 引言
射频功率放大器广泛用于各种无线发射设备中。效率和线性是功率放大器两个最重要的指标。设计线性高效率的功率放大器,是目前该领域研究的热点和难点。Doherty放大器是目前提高功率放大器效率中最有效和最广泛使用的技术。该放大器能够显著地提高功率回退后的效率。但是,传统的Doherty功放在效率和线性上无法同时兼顾,需要与专用的线性化技术相结合,以获得尽量大的效率提高和线性改善。但是这些结构难免比较复杂,实现也比较困难。针对以上问题,提出了一种基于二次谐波注入的Doherty结构,仿真结果验证了该结构的优越性能。
1 Doherty功率放大器设计
关于Doherty的基本工作原理,在文献中有详细描述。在具体实现Doherty结构时,为了得到尽量大的效率改善,设计关键点主要有:
(1)辅助功放的栅极偏置电压。该电压决定辅助功放的开启门限,该开启点也就是理论上效率第一次达到最大的点。
(2)输出端补偿线。辅助功放在截止时,其输出端应该表现为开路,但实际由主功放通路看进去的阻抗为一个低阻抗,这就导致主功放的输出功率有一部分会泄漏到辅助功放的支路上,这会极大地恶化增益和效率。因此,需要在辅助功放的输出匹配电路后加一段特征阻抗为50 Ω的补偿线,该补偿线的作用是将辅助功放在截止时的输出阻抗变换到一个高阻抗,以阻止主功放的输出功率泄漏到该支路上。
本文设计的Doherty结构图如图1所示。

2 二次谐波注入分析
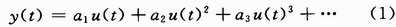
为了分析Doherty放大器的非线性,需要对功放管进行建模,这里采用多项式模型来分析。假设功放的非线性模型为:
式中:y(t)为输出信号;u(t)为输入信号;a为功放的非线性系数,该系数与栅极偏置电压有很大关系。对于一般的有源器件,a2为正,a3在AB类偏置下为负,C类偏置下为正。
如果输入一个等幅双音信号:
式中:A为输入幅度;ω1,ω2为双音角频率,ω1<ω2。模型阶数取为三阶,则:

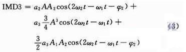
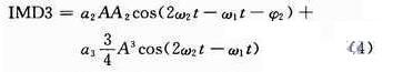
从式(2)可以看出,系数a3对基频增益和三阶交调起主要作用。通常情况下,AB类功放的a3为负,C类功放的a3为正,因此存在AB类增益压缩和C类增益扩展的现象。三阶交调分量与a3和输入幅度A有关。由于Doherty结构中主功放和辅助功放分别工作在AB类和C类,因此二者的a3系数刚好相反。由此可知,通过设置适当的偏置电压和输入功率,可以实现三阶交调在输出端相消,从而改善线性。但是,偏置的改变会影响辅助功放的开启门限,而辅助功放的开启点对整个效率的提升起主要作用。经过研究发现,三阶交调相消的偏置和最大效率改善时的偏置不一样,这也就是说,仅仅靠改变偏置无法达到最优的效果。因此,需要引入更多的可调节变量。为了解决上述问题,从文献中得到启示,引入了二次谐波注入法。但是改善线性的原理同文献中所描述的有所不同。
如果输入端注入二次谐波A1cos(2ω1t+φ1)+A2cos(2ω2t+φ2),则输出端的上边带三阶交调可表示为:

由于第三项数值很小,在此忽略不计,只保留前两项,则:

对于主功放和辅助功放,输入采用均等功分,栅极偏置确定时,a2,a3和A就固定了。这时,两路的三阶交调可表示为:

由此可知,可以通过调节,使得输出端的三阶交调相消而得到改善。对于下边带可以做同样的分析。这时,每一路的三阶交调可能比较差,但是合成后会得到改善。这也是由Doherty独特的结构所决定的。
3 Doherty功率放大器实现与仿真结果
基于前面的理论分析,采用cree公司的GaN功放管模型,设计了一款基于二次谐波注入的Doherty放大器。其基本结构如图2所示。

仿真时输入功率扫描范围为5~48 dBm。经过优化,主放大器栅极偏置电压为-2.35 V,辅助放大器栅极偏置电压为-5 V,漏极偏置电压均为28 V。功分器采用均等功分,耦合器的耦合度为-30 dB。仿真结果如图3所示。

从仿真结果可以看出,Doherty放大器能够显著改善回退后的效率,在6 dB回退点,效率比平衡式放大改善约15%;在8 dB回退点,效率仍在40%以上。未采用二次谐波注入时,效率改善更多,但是线性很差。采用二次谐波注入后,AM-AM,AM-PM,三阶和五阶交调以及pi/4QPSK ACPR都得到了明显改善。二次谐波注入后可以很好地改善线性,而且对效率的影响不大。
4 结论
本文提出了一种基于二次谐波注入的Doherty放大器,实现了效率和线性的同时改善,克服了传统Doherty功率放大器的不足。该放大器不需要复杂的线性化电路,结构简单,实现也很容易,具有很好的应用前景。


