- 易迪拓培训,专注于微波、射频、天线设计工程师的培养
指纹识别中的 像处理研究------指纹 像的特性分析 (二)
2.2纹理图像的特征及描述
纹理是以象素的邻域灰度空间分布为特征的,因此无法用点来定义,关于图像纹理的精确的定义迄今还没有一个统一的认识,本论文引用一个比较流行的定义如下。纹理是指图像强度局部变化的重复模式。纹理形成的机理是图像局部模式变化大小,一般无法在给定的分辨率下把不同的物体或区域分开。这样,在一个图像区域中重复出现满足给定灰度特性的一个连通象素集合构成了一个纹理区域。最简单的例子就是在白色背景下黑点的重复模式;例如,打印在白纸上的一行行的字符就构成了纹理;图2.3是一个纹理图像的例子。

目前,纹理分析包含有三个主要的问题,分别是:纹理分类、纹理分割和纹理图像恢复。由于本论文指纹图像的分割与纹理分割技术关系密切,故在此对纹理分析的方法进行简单的阐述。比较常用的方法有两种,一种是灰度共生矩阵测量方法,另一种是自相关函数法。
2.2.1灰度共生矩阵
灰度共生矩阵(co-occurrence matrix)P[i,j]是一个二维相关矩阵,其定义如下:首先规定一个位移矢量d =(dx,dy),然后,计算被d分开的且具有灰度级i和j的所有象素对个数。位移矢量为(1,1)是指象素向右和向下各移动一步。显然,灰度级数为n时,同现矩阵是一个n×n矩阵。例如,考虑一个具有灰度级0,1,2的简单5×5图像,

如图2.4所示,由于仅有三个灰度级,所以P[i,j]是一个3×3矩阵;在5×5图像中,共有16个(规定距离矢量d = (1,1)的情况下)象素对满足空间分离性;首先,计算所有象素对的数量,即计算所有象素值i与象素值j距离为d的象素对数量,然后把这个数填入矩阵P[i,j]的第i行和第j列,例如,有三对象素值为[2,1],因此在P[2,1]项中写3,所以象素对统计完后的矩阵如图2.5所示。

由于具有灰度级[i,j]的象素对数量不需要等于灰度级[i,j]的象素对数量,因此P[i,j]是一个非对称的矩阵,P[i,j]与象素对的总数之比称为规范化矩阵;在上面的例子中,每一项除以16就得到规范化矩阵,由于规范化矩阵P[i,j]的各元素值总和为1,因此,可以把它视为概率质量函数。
灰度共生矩阵表示了图像灰度空间分布,这可以很容易用下面的一个简单例子来说明。考虑一幅棋格为8×8的二值化图像,如图2.6所示,其中每一个方格对应一个象素。

由于两级灰度,所以P[i,j]是一个2×2的矩阵。如果仍然定义距离矢量d =(1,1)则得到归一化矩阵P[i,j],如图2.7所示。由于象素对的结构的规则性,象素对仅仅出现[1,1]和[ 0,0].矩阵的非对角元素为零。

从上面的例子可以看出,如果黑色象素随地分布在整幅图像上,没有一个固定的模式,则灰度共生矩阵中不具有任何灰度级对的优先集合,则此时的矩阵元素值是均匀分布的,用于测量灰度级分布随机性的一种特征参数叫做熵(entropy),定义为

当矩阵P[i,j]的所有项都为零时,其熵值最高,这样的矩阵对应的图像不存在任何规定位移矢量的优势灰度级对。
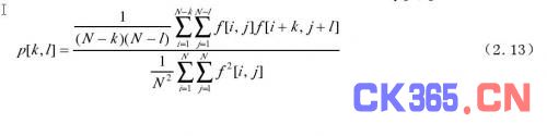
2.2.2自相关函数法
一幅N×N图像的自相关(Auto-correlation)函数p[ k,l]定义为式(2.13)

对于含有重复纹理模式的图像,自相关函数表现出一定的周期性,其周期等于相邻基元的距离,当纹理粗糙时,自相关函数缓慢下降,而细纹理下降迅速。用自相关函数可以测量纹理的周期性以及纹理基元的大小。
通过以上的介绍,我们发现,当纹理基元很小并成为微纹理的时候,用灰度共生矩阵特别有用,相反,当纹理基元很大时,直接用灰度级矩阵就不是很有效,甚至失效;这个时候就要寻找其它的方法确定纹理结构。而自相关函数法,对于测量纹理的周期性和纹理的大小比较有用,但是自相关函数法的算法复杂度比较高,如果对比较大的图像直接用自相关函数法,则运算量太大;为了降低运算次数,可以先对图像进行分块,然后再对每个分块进行相关的运算。
2.3指纹图像的特征及描述
指纹图像是一种比较特殊的数字纹理图像,所以它即具有数字图像的性质,又具有纹理图像的性质,除了具有上述两种共性之外,指纹图像还具有指纹的特殊的性质。
①指纹图像具有方向性,但是,指纹的方向性与纹理的方向性有不同之处,一般纹理的方向一般具有一致性,但是指纹图像只有在指纹的局部才有一致性,并且,指纹图像的局部方向还要有连续性,因为对于不同的指纹纹线走向会发生变化,但是这种变化是缓慢变化的。
②指纹图像中的纹线的宽度是有一定的限制的,它即不会很宽,又不会很窄,这是指纹图像区别与其它纹理图像的又一个方面。这为图像的分割提供了一个有用的先验知识。
③指纹图像的有效区域中包含的纹线是黑白交替出现的,在有效区域的局部,即不会出现2条连续的白色纹线,也不会出现2条连续的黑色纹线。这也是对指纹图像统计出的先验知识,可以为后续的指纹图像的处理提供帮助。
④指纹图像的噪声也是有区别于其它的数字图像的,一般的数字图像中的噪声大部分可以认为是随机噪声,可以用比较多的现成的算法来尽可能的去除。而指纹图像的噪声除了具有随机噪声之外,还有因为器件或者其它人为因素造成的噪声,这种噪声的一般的表现是:图像中纹线断断续续,纹线不清晰,不连贯;或者图像中的纹线全部粘连在一起,分不清纹线的走向;这种噪声给指纹图像的分割造成了极大的困难。图2.8是两个具有这种噪声的指纹图像。



