- 易迪拓培训,专注于微波、射频、天线设计工程师的培养
新型剖分变径式CVT的设计实现
随着工业的发展和生产工艺流程机械化、自动化程度的提高,机械无级变速传动装置作为一类重要的机械传动部件,在国内外应用日益广泛,特别在生产流水线、变速机械中,甚至在轿车的变速传动系统中也采用了机械无级变速器。而带式无级变速器由于其结构简单、制造容易、工作平稳、能吸收振动、易损件少、带的更换方便等优点,已成为机械无级变速器中广泛应用的一种。
1传统带式无级变速器结构及其工作原理
无级变速器的变速原理很简单,但也很巧妙。如图1所示,传统带式CVT主要包括主动轮组、从动轮组、传动带和液压泵(调速控制装置)等基本部件。变速器的主、被动工作轮的固定和可动两部分形成V形槽,与传动带啮合。当主、被动工作轮可动部分作轴向移动时,改变了传动带的回转半径,从而改变传动比。可动轮的轴向移动是根据使用要求,通过控制系统可进行连续调节,以实现无级变速传动。变速部分由主动带轮、V型传动带和被动带轮所组成。每个带轮都由带有斜面的半个带轮而组成一体,其中一个半轮是固定的,另一个半轮是可以通过液压伺服油缸来控制其移动。半轮间的轴向相对位移可以通过控制机构来改变;两个带轮轴间的距离是固定的,传动带的周长是固定不变的,通过控制两活动盘的轴向位移,使主动轮和被动轮半径的相应连续变化,从而实现了无级变速。

传统带式无级变速器被广泛应用,在工业上具有大规模的经济效益。但是传动带在变速过程中由于挤压产生很大的摩擦力,造成带较快磨损,使其寿命降低。另外,带轮变径使传动带径向位置变化的同时,还使其有轴向变化,这进一步恶化了传动的稳定性,缩短了传动带寿命。
2剖分变径式无级变速器原理与结构图
在带式无级变速器中,若要实现变速即输出转速变化,必须改变其传动比,而传动比的改变需要通过改变带轮工作直径来实现。改变V型传动带工作直径变化的方式,除了改变两个锥型带轮之间的轴向位置外,还可以利用分体式带轮的分体间径向移动来实现。基于这种考虑,本文提出新型剖分变径式无级变速器的设计研究。
如图2所示,剖分变径式CVT的主、从动轮组均由分体带轮1、轴向可移动锥体2、固定的径向导向盘4组成。分体带轮底部嵌入带有T型槽的锥体中,并通过销与径向导向盘连接。当要增大传动比时,调速机构带动主动轮组的锥体轴向移动,锥体通过T型槽推动主动带轮分体沿导向盘径向收缩。同时,从动轮组的锥体反向移动,推动从动带轮分体沿导向盘径向膨胀,从而改变主、从动带轮分体与传动带啮合的工作直径比,如此实现在一定范围内连续无级调速的目的。

3传动机构参数设计
虽然在变速过程中,分体带轮由于间距的存在,带在间距上是变曲率的。但是在适当变速范围内,分体间距带来的曲率变化对带长计算的影响很小,所以可采用传统带传动机构参数设计方法进行计算。

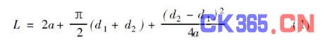
带传动机构的尺寸设计基本关系为(参见图3):

式中,a为带轮中心距;L为传动带长;d1为主动轮直径;d2为从动轮直径。
主动轮最小直径d1min和从动轮最小直径d2min可由结构设计和选取的带型确定,根据设计要求确定传动比变化范围imin~imax.
因i=d2/d1,代入式(1)有:

然后把a,d1min和imax代入式(3),即可得到带长L.
4传动性能分析
对于传统带式传动,有效圆周力计算公式为(参见图4a):

对新型剖分变径式CVT,在其实现无级变速,带轮直径由小到大的过程中,分体之间的间距由零逐渐变大。由于间距的存在,带与带轮的接触是分段的,显然式(6)已不再适用于该CVT有效圆周力的计算。
如图4,对比两种CVT计算模型,显然发现式(6)受到限制的原因是带轮包角的变化。为此可设带轮实际包角 =k,其中k为分体的包角系数,是在包角范围内所有分体对应的圆心角与包角的比值。由此可得新型CVT有效圆周力的计算公式为:

下面分析变速过程中,剖分变径式CVT主动轮实际包角及包角系数的变化情况及其对机构参数设计的影响。
在圆上,圆心角之比等于其所对应的弧长之比。当主动轮直径为d1=dmin+d时,整个圆周上分体所对应圆心角与整个圆周的比值约为dmin/d1.则包角范围内分体的包角系数可平均为:

主动轮包角变化对机构参数的影响可从带轮直径的两个极限情况进行讨论。
当传动比最大时,d1=d1min,d2=d2max,主动轮直径最小,带轮分体间距为零,k=1,包角计算与常规带轮相同,即:

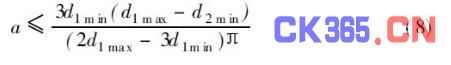
当传动比最小时,d1=d1max,d2=d2min,主动轮直径最大,带轮分体间距最大,包角系数k=d1min/d1max,主动带轮实际包角为:

当d1max/d1min%1.5时,2d1max-3d1min%0,式(7)显然成立当d1max/d1min>1.5时,有:

由上述分析显然可知,由于传动原理的特殊性,在新型CVT机构参数设计过程中,还应考虑带轮包角变化带来的影响,即带轮直径和中心距的取值还应满足式(7)、式(8)的要求。
5结论
与传统带式无级变速器相比,新型剖分变径式无级变速器利用分体式带轮的分体间径向移动来实现V型传动带工作直径的变化,从而减小了变速过程中带轮对传动带的侧向挤压力,减少了传动带的磨损,延长了带的使用寿命。
本文从原理上对剖分变径式无级变速器的结构参数进行了分析,进一步完善了剖分变径式CVT的设计理论,为剖分变径式无级变速器的开发提供了理论依据。


