• Ò×µÏÍØÅàѵ,רעÓÚ΢²¨¡¢É䯵¡¢ÌìÏßÉè¼Æ¹¤³ÌʦµÄÅàÑø
Ê×Ò³ > ²âÊÔ²âÁ¿ > ¼¼ÊõÎÄÕ > »ùÓÚÔëÉùϵÊý²âÁ¿µÄÈýÖÖµäÐÍ·½·¨

»ùÓÚÔëÉùϵÊý²âÁ¿µÄÈýÖÖµäÐÍ·½·¨

¼È룺edatop.com    µã»÷£º

1ÒýÑÔ

ÔëÉùϵÊýÊÇ΢²¨²úÆ·ÑÐÖÆºÍÉú²ú¹ý³ÌÖеÄÒ»ÏîÖ÷Òª²âÁ¿²ÎÊý£¬ÊDZíÕ÷½ÓÊÕ»ú¼°Æä×é³É²¿¼þÔÚÓÐÈÈÔëÉù´æÔÚµÄÇé¿öÏ´¦Àí΢ÈõÐźÅÄÜÁ¦µÄ¹Ø¼ü²ÎÊýÖ®Ò»£¬ÔëÉùϵÊýµÄ¼ÆÁ¿²âÊÔ¸üÊÇÔëÉù¼ÆÁ¿²âÊÔµÄÖØÒªÄÚÈÝ¡£

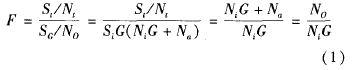
ÔÚ¹¤³ÌÉ϶¨ÒåÔëÉùÒò×Ó(F)ΪÈôÏßÐÔÁ½¶Ë¿ÚÍøÂç¾ßÓÐÈ·¶¨µÄÊäÈë¶ËºÍÊä³ö¶Ë£¬ÇÒÊäÈë¶ËÔ´×迹´¦ÓÚ290.K(ÊÒÎÂ)ʱ£¬ÍøÂçÊäÈë¶ËÐźÅÔëÉù¹¦ÂʱÈÓëÍøÂçÊä³ö¶ËÐźÅÔëÉù¹¦ÂʱȵıÈÖµ¡£

 

ÆäÖУ¬SiΪÊäÈëÐźŹ¦ÂÊ£¬NIΪÊäÈëÔëÉù¹¦ÂÊ£¬SoΪÊä³öÐźŹ¦ÂÊ£¬NoΪÊä³öÔëÉù¹¦ÂÊ£¬GΪÁ½¶Ë¿ÚÍøÂçÔöÒæ£¬NaΪÁ½¶Ë¿ÚÍøÂç±¾ÉíµÄÔëÉù¹¦ÂÊ¡£

ËüÃ÷È·µØ±íÃ÷ÁËÓÉÓÚÍøÂç²úÉúÔëÉù£¬Ê¹ÍøÂçÊäÈë¶ËÐÅÔë±È¾­¹ý¸ÃÍøÂç´«ÊäºóÐÅÔë±È¶ñ»¯µÄ±¶Êý£¬Ò²¾ÍÊÇ´«ÊäÍøÂç¶ÔÆäÊä³ö¶Ë×ÜÔëÉù¹¦Âʹ±Ï׵ĴóС¡£ÔëÉùϵÊý(NF)ΪÔëÉùÒò×ӵĶÔÊý±í´ïÐÎʽ£¬¶¨ÒåÈçÏ£º

 

¿ÉÖØ¸´µÄ¡¢¸ß¾«¶ÈµÄÔëÉùϵÊý²âÁ¿·½·¨ÊǷdz£ÖØÒªµÄ£¬±¾ÎÄÌÖÂÛÆäÖÐÈýÖÖµäÐÍ·½·¨£ºÔëÉù²âÊÔÒÇ·¨¡¢ÔöÒæ·¨ºÍYϵÊý·¨£¬²¢Í¨¹ýʵÑéÑéÖ¤YϵÊý·¨µÄ׼ȷ¶È¡£

2ÔëÉù²âÊÔÒÇ·¨

ʹÓÃÔëÉù²âÊÔÒÇÊDzâÁ¿ÔëÉùϵÊý×îÖ±½Ó·½·¨£¬ÔÚ´ó¶àÊýÇé¿öÏÂÒ²ÊÇ×î׼ȷµÄ¡£¹¤³Ìʦ¿ÉÔÚÌØ¶¨µÄƵÂÊ·¶Î§ÄÚ²âÁ¿ÔëÉùϵÊý¡£ÔëÉù²âÊÔÒÇÄܹ»Í¬Ê±ÏÔʾÔöÒæºÍÔëÉùϵÊýÀ´°ïÖú²âÁ¿¡£ÔëÉù²âÊÔÒǵIJâÊÔÔ­ÀíͼÈçͼ1Ëùʾ¡£

 

ͼ1ÔëÉù²âÊÔÒÇ·¨Ô­Àíͼ

ÔëÉù²âÊÔÒDzâÊÔÔëÉùϵÊýµÄºËÐÄÊÇYϵÊý·¨¡£Ê×ÏÈ£¬ÔëÉù²âÊÔÒDZ¾ÉíÊÇһ̨½ÓÊÕ»ú£¬¿ÉÒÔÓÃÀ´²âÊÔÊäÈ˵ÄÔëÉù¹¦ÂÊ;Æä´ÎÔëÉù²âÊÔÒÇÐèÒª¿ØÖÆÒ»¸öÔëÉùÔ´µÄ¼ÓµçºÍ²»¼Óµç״̬£¬¶Ô±»²â¼þ(DUT)½øÐвâÊÔ¡£

ÔëÉùϵÊý²âÊÔÒÇ£¬ÈçAV3984ÔëÉùϵÊý·ÖÎöÒÇ£¬²úÉú28VDCÂö³åÐźÅÇý¶¯ÔëÉùÔ´(AV16604)£¬¸ÃÔëÉùÔ´²úÉúÔëÉùÇý¶¯DUT.ÓÉÓÚ·ÖÎöÒÇÒÑÖªÔëÉùÔ´µÄÊäÈëÔëÉùºÍÐÅÔë±È£¬DUTµÄÔëÉùϵÊý¿ÉÒÔÔÚÄÚ²¿¼ÆËãºÍÔÚÆÁÄ»ÉÏÏÔʾ¡£

ʹÓÃÔëÉùϵÊý²âÊÔÒÇÊDzâÁ¿ÔëÉùϵÊýµÄ×îÖ±½Ó·½·¨¡£²âÁ¿ÈËÔ±¿ÉÔÚÌØ¶¨µÄƵÂÊ·¶Î§ÄÚ²âÁ¿ÔëÉùϵÊý£¬Í¨³£ÔëÉù·ÖÎöÒÇÔÚ³¬µÍµÄÔëÉù²âÁ¿ÖÐ׼ȷ¶È¸ü¸ßһЩ£¬µ±²âÁ¿ºÜ¸ßµÄÔëÉùϵÊýʱ£¬²âÁ¿½á¹û»á²»×¼È·¡£

3ÔöÒæ·¨

ĿǰÔëÉùϵÊýµÄ²âÁ¿Ö÷ҪʹÓÃרÓõÄÔëÉùϵÊý²âÊÔÒÇ£¬µ«µ±²»¾ß±¸ÕâÖÖרÓÃÉ豸»òÕßËùÒªÇó²âÊÔÆµÂÊ·¶Î§²»ÔÚÆä·¶Î§Ê±£¬¿ÉÒÔ²ÉÓÃÆµÆ×·ÖÎöÒDzâÁ¿ÔëÉùϵÊý£¬¼´ÔöÒæ·¨£¬¸Ã·½·¨¶ÔÓÚÆµÂÊÔÚËùÓÃÆµÆ×ÒÇÆµÂÊ·¶Î§Äڵı»²â¼þ¶¼ÄܽøÐвâÁ¿¡£

»ùÓÚÔëÉùϵÊýµÄ¶¨Òå¿ÉÒԵõ½Ò»¸ö²âÁ¿¹«Ê½£º

 

ʽ(3)ÖУ¬PoutÊÇÒѲâµÄÔëÉù¹¦ÂÊÆ×Ãܶȣ¬-174 dBm/HzÊÇ290°K(ÊÒÎÂ)ʱ»·¾³ÔëÉùµÄ¹¦ÂÊÆ×Ãܶȣ¬BWÊǸÐÐËȤµÄƵÂÊ´ø¿í£¬GainÊÇϵͳµÄÔöÒæ¡£Ê½(3)ÖÐÿ¸ö±äÁ¿¾ùΪ¶ÔÊý£¬Îª¼ò»¯¹«Ê½£¬ÎÒÃÇ¿ÉÒÔÖ±½Ó²âÁ¿Êä³öÔëÉù¹¦ÂÊÆ×ÃܶÈ(dBm/Hz)£¬Õâʱʽ(3)±äΪ£º

 

ÒÔ½ÓÊÕ»úΪÀý£¬²âÊÔÔ­ÀíÈçͼ2Ëùʾ¡£

 

ͼ2ÔöÒæ·¨²âÊÔ¿òͼ

ÓÃÐźÅÔ´ºÍƵÆ×ÒDzâÁ¿³ö½ÓÊÕ»úµÄÔöÒæ(ÔÚ½ÓÊÕ»úÄܹ»½ÓÊÕµÄµçÆ½·¶Î§¶¼¿ÉÒÔ£¬Èç¹û¸ÐÐËȤµÄÊǽӽü½ÓÊÕ»úСÐźÅʱµÄÔëÉùϵÊý£¬¿ÉÒÔÑ¡Ôñ½Ó½üÁéÃô¶Èµçƽ£¬±ÈÈçСÓÚ- 100 dBmµÄÐźÅÇ¿¶È);Ϊ»ñµÃÎȶ¨ºÍ׼ȷµÄÔëÉùÃܶȶÁÊý£¬Ñ¡Ôñ×îÓÅµÄ·Ö±æ´ø¿í(RBW)ÓëÊÓÆµ´ø¿í(VBW)£¬Ê¹ÆµÆ×ÒÇÉϵĻùµ×ÔëÉù¿´ÆðÀ´±È½Ï¸É¾»¡£ÊÓÆµ´ø¿íԽС£¬ÆµÆ×ÒÇÉÏÏÔʾµÄ»ùµ×ÔëÉùԽС£¬Pout¶ÁÊýԽ׼ȷ¡£

ֻҪƵÆ×·ÖÎöÒÇÔÊÐí£¬ÕâÖÖ·½·¨¿ÉÒÔÊÊÓÃÓÚÈÎºÎÆµÂÊ·¶Î§¡£Í¨³£ÔëÉù·ÖÎöÒÇÔÚ³¬µÍµÄÔëÉù²âÁ¿ÖÐ׼ȷ¶È¸ü¸ßһЩ¡£¶ÔÓÚϵͳÔöÒæ·Ç³£¸ß¡¢ÔëÉùϵÊý·Ç³£¸ßµÄ³¡ºÏ£¬ÕâÖÖ·½·¨Ò²ºÜ׼ȷ¡£×î´óµÄÏÞÖÆÀ´×ÔÓÚÆµÆ×ÒǵÄÔëÉù»ùµ×¡£

4 YϵÊý·¨

YϵÊý·¨ÊDzâÁ¿ÔëÉùϵÊýµÄÒ»ÖÖµäÐÍ·½·¨¡£YϵÊýÊÇÖ¸µ±±»²â¼þ(DUT)µÄÊäÈë¶Ë´¦ÓÚ2¸ö²»Í¬µÄ×ÊÓÃÔëÉù¹¦ÂÊʱ£¬ÔÚDUTµÄÊä³ö¶ËµÃµ½µÄ2¸öÏàÓ¦µÄ×ÊÓÃÔëÉù¹¦ÂÊÖ®±È¡£ÔëÉùÔ´ÊÇYϵÊý·¨²âÁ¿±Ø²»¿ÉÉÙµÄÉ豸£¬ÔëÉùÔ´ÊÇÄܲúÉú2ÖÖ²»Í¬ÔëÉù¹¦ÂʵÄÔëÉù·¢ÉúÆ÷£¬Ò»°ãÐèÒªÓÃDCÂö³åµçÔ´Çý¶¯µçѹ£¬µ±DCÇý¶¯µçѹ¹©µçʱÏ൱ÓÚÔëÉùÔ´¿ª£¬³ÆÎªÈÈ̬£¬´ËʱÊä³ö´óµÄÔëÉù¹¦ÂÊ;DCÇý¶¯µçÔ´¹Ø±ÕʱÏ൱ÓÚÔëÉùÔ´¹Ø¶Ï£¬³ÆÎªÀä̬£¬´ËʱÊä³ö³£ÎÂϵÄÔëÉù¹¦ÂÊ¡£ÔëÉùÔ´µÄÈÈÎÂÓëÀäεIJîÖµ³ÆÎªÔëÉùÔ´µÄ³¬Ôë±È(ENR)¡£

²âÊÔÔ­ÀíÈçͼ1Ëùʾ£¬ÎªÁ˽øÒ»²½ËµÃ÷Æä¹¤×÷Ô­Àí£¬ÏÂÃæµ¼³öËüµÄ¹¤×÷·½³Ì¡£

µ±ÔëÉùÔ´×ªÒÆµ½ÔëÉùζÈT0ʱ£¬DUTµÄÊä³ö¹¦ÂÊPnΪ£º

 

ʽÖУ¬ENRÊÇÔëÉùÔ´µÄ³¬Ôë±È(dB)£¬Y=CPn/CP0£¬¹¦ÂʱÈÖµ£¬Í¨³£³ÆÎªYϵÊý£¬FÊÇÔëÉùϵÊý(dB)¡£

ͼ3ËùʾΪYϵÊýÁ¿Öµ·¢ÉúÆ÷µÄ×é³ÉÔ­Àíͼ¡£

 

ͼ3 YϵÊý·¢ÉúÆ÷Ô­Àíͼ

Ê×ÏÈʹÔëÉùÔ´¹¤×÷ÔÚÔëÉùζÈT0(Àä̬)£¬ÉäÆµË¥¼õÆ÷ÖÃÓÚ0(dB)£¬±ê׼˥¼õÆ÷ÖÃÓÚA0(dB)£¬²¢Ê¹Ö¸Ê¾Æ÷ָʾÔÚijһλÖÃ;È»ºó£¬ÔëÉùÔ´¹¤×÷ÔÚÔëÉùζÈTn(ÈÈ̬)£¬µ÷Õû±ê׼˥¼õÆ÷ʹָʾÆ÷µÄָʾ»Øµ½Ô­À´Î»Öá£Éè´ËʱµÄË¥¼õ¶ÁÊýΪAn£¬ÄÇôA = An - A0(dB)£¬¿ÉÒԵõ½YϵÊýµÄ±í´ïʽΪ£º

 

YϵÊý·¨ÊÊÓÃÓÚ´ó·¶Î§ÔëÉùϵÊýµÄ²âÁ¿£¬¼òµ¥Ò×Ðв¢ÇÒ׼ȷ¶È¸ß£¬Ö»ÐèÒªÖªµÀÔëÉùÔ´µÄENR£¬²¢²âÁ¿³öÔëÉùÔ´Àä¡¢ÈÈ2¸ö״̬ϵÄÊä³öÔëÉù¹¦ÂÊ£¬²»ÓòâÁ¿DUTµÄÔöÒæ£¬Òò´ËÔÚ¶ÔÔëÉùϵÊý׼ȷ¶È×ö¼ì¶¨Ê±²ÉÓô˷½·¨¡£

5ʵÑéÑéÖ¤

½«Ê½(10)¸ø³öµÄYϵÊý´úÈËʽ(9)£¬¾Í¸´ÏÖÁËÔëÉùϵÊý±ê×¼ÖµFs£¬½á¹ûÈç±í1Ëùʾ¡£

ÎÒÃÇÑ¡ÓÃAV3984ÐÍ΢²¨ÔëÉùϵÊý·ÖÎöÒǽøÐÐʵÑ飬Æä¹¤×÷ƵÂÊΪ10 MHz¡«26.5 GHz£¬ÊµÑé¿òͼÈçͼ4Ëùʾ¡£

 

ͼ4ʵÑé¿òͼ

ÒÀ¾Ýͼ4ËùʾÁ¬½ÓʵÑéÒÇÆ÷£¬AV3984µÄÔëÉùϵÊýÐÔÄÜÖ¸±êΪ±0.25 dB£¬²âÊÔÊý¾ÝÈç±í2Ëùʾ¡£

ʵÑéÖÐʹÓñê׼˥¼õÆ÷£¬Í¨¹ý¼Ç¼ÔëÉùϵÊý·ÖÎöÒǵÄPhotÖµ£¬´úÈëÏÂÁй«Ê½¼ÆË㣬µÃ³öÔëÉùϵÊý²âÁ¿Öµ£º

 

½á¹û±íÃ÷£¬Êý¾ÝµÄ×î´óÆ«²îÔÚ0.25 dBÄÚ¡£YϵÊý·¨ÄܲâÁ¿ºÜ´óµÄÔëÉùϵÊý·¶Î§£¬ÊÊÓÃÓÚÈÎºÎÆµ¶Î£¬²»ÊÜÔöÒæÏÞÖÆ£¬×¼È·¶È¸ü¸ß¡£

ʵÑéÖÐʹÓÃÖÇÄÜÔëÉùÔ´£¬³¬Ôë±È±í¿ÉÒÔ×Ô¶¯´ÓÔëÉùÔ´ÄÚÉÏÔØµ½ÔëÉùϵÊý·ÖÎöÒÇÄÚ£¬Ò²¿ÉÒÔÔÚÐèÒªµÄʱºòͨ¹ýÃüÁîÉÏÔØ¡£¶ÔÓÚÐèÒªÊÖ¶¯ÊäÈ볬Ôë±È±íµÄÔëÉùÔ´£¬ÔÚ²âÁ¿Ö®Ç°Ò»¶¨ÒªÈ·ÈÏËùʹÓõij¬Ôë±È±íÓëÔëÉùÔ´ÊÇÆ¥ÅäµÄ¡£

ÔëÉùϵÊýFS - YϵÊýÖµ¹ØÏµ±í

 

 

ÿ÷ž×«§¯é¥¨kyƵÆ×ÒǵĻùµ×ÔëÉùÏÞÖÆ;YϵÊý·¨ÊÊÓÃÓÚËùÓеÄϵͳÔëÉùϵÊý²âÊÔ£¬×¼È·¶È½Ï¸ß£¬Í¨¹ýʵÑéÑéÖ¤¿É¿´³öÊý¾ÝµÄÆ«²î½ÏС£¬ÇÒ²»ÊÜÔöÒæÏÞÖÆ¡£

µã»÷ä¯ÀÀ£ºÊ¸Á¿ÍøÂç·ÖÎöÒÇ¡¢ÆµÆ×ÒÇ¡¢Ê¾²¨Æ÷£¬Ê¹ÓòÙ×÷Åàѵ½Ì³Ì

ÉÏһƪ£ºTD-SCDMAÍøÂç²âÊÔÒǵÄATMÊý¾Ý²É¼¯¿¨µÄʵÏÖ
ÏÂһƪ£º»ùÓÚWindows MobileµÄÀ¶ÑÀGPSÊý¾Ý²É¼¯·½·¨µÄ¸Ä½ø

΢²¨É䯵²âÁ¿²Ù×÷Åàѵ¿Î³ÌÏêÇé>>
É䯵ºÍÌìÏß¹¤³ÌʦÅàѵ¿Î³ÌÏêÇé>>

  ÍøÕ¾µØÍ¼