- 易迪拓培训,专注于微波、射频、天线设计工程师的培养
便携式场强测试仪参考环的低噪声设计
0 引 言
便携式场强测试仪对第一本振相位噪声要求较高,其参考频率由参考环提供,因此对参考环的相位噪声要求也很高。参考环采用∑-△调制技术降低相位噪声,具体原理见参考文献。
1 设计方案
便携式场强仪第一本振的主要性能指标:
频率范围:4031.25~7031.25MHz;单边带相噪:≤-100dBc/
Hz@10kHz
由此计算出参考频率的指标:
频率范围:31.25~62.5MHz;单边带相噪:≤-118dBc/
Hz@10kHz
第一本振方案框图如图1所示。
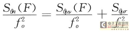
图1中,左框内为本振环;右框内为参考环;其余部分为步进环。

2 参考环环路滤波器带宽设计
锁相环环路带宽内的相位噪声主要是由分频器、鉴相器以及参考信号的噪声决定的,而在环路带外的相位噪声则是由VCO的相位噪声来决定的。因此选择带宽时要综合考虑带宽内的相位噪声和VCO的相位噪声,以求达到最佳的噪声效果。
下面计算参考环的环路滤波器带宽:
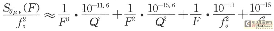
参考环的环路滤波器采用有源二阶积分滤波器。压控振荡器归一化相位噪声功率谱密度:

式中:f0为压控振荡器的中心频率;F为频偏;Q为回路品质因数。
晶振的归一化相位噪声功率谱密度:

式中:fr为晶体振荡器的谐振频率;F为频偏。
在忽略鉴相器本身噪声的条件下,环路输出的归一化总相位噪声功率频谱密度为:

二阶锁相环路系统通常设计在欠阻尼状态使用,即0<ξ<1。现取阻尼系数ξ=0.5,fr=10MHz,f0=500MHz,Q=500,则:

由此算出环路闭环频率响应
的伯德图如图2所示。
将
一起画到图2(a)中,可见两噪声谱交于F=104Hz附近。综合考虑,选择在两谱线相交频率处显然是最有利的,即fn=104Hz。分别过滤后相位噪声如图2(a)虚线所示。由图可见,晶振噪声经过低通过滤以后,在F>fn的高频段内噪声谱已低于晶振的噪声。图2(a)是归一化的输出相位噪声,实际输出的相位噪声应乘以fo2,如图2(b)所示。
[p]

所以参考环积分滤波带宽选定为104Hz,这样才会使输出信号的相位噪声最低。
3 提高输出频率
实际电路中通过提高参考环输出频率至500MHz~1000MHz再16分频来获得参考信号就可以使本振环参考频率的近端相位噪声得到20×LOG(16)dB即24dB的改善,参考环输出频率的相位噪声只需达到-94 dBc/
Hz@10kHz
就能满足指标要求,实际测试中输出信号的单边带相位噪声为-96dBc:/
Hz@10kHz
,完全满足指标要求。参考环通过提高输出频率而后分频的方式提高本振环的参考信号的近端相噪,从而提高第一本振近端相噪。
4 试验结果
环路锁定后,用频谱分析仪测试频率1GHz处的相噪,结果为-96dBc/
Hz@10kHz
,满足第一本振相位噪声的要求。实验结果如图3所示:

5 结束语
本文主要介绍了场强仪第一本振参考环的低噪声设计,现在该仪器已经开始批量生产。因作者水平所限,文中的错误在所难免,还请各位多多指正。


