- 易迪拓培训,专注于微波、射频、天线设计工程师的培养
一种低成本噪声计设计
1 电路设计
声学中常用声压级Lp来反映声压的变化,将声压P的声压级表示为:
LP=20lg(P/P0)
式中:基准量P0单位为μPa,当P=P0时,Lp=0 dB;
当P=107P0时,LP=140 dB。
系统原理图如图1所示,在信号采集和放大电路中采用了驻极体传声器,并采用反相放大器将信号放大到适宜处理的范围;通过A计权网络很好地满足人耳对不同频率声音的敏感性;AD536芯片很容易得到有效值及其相对应的分贝值,避免采用单片机进行大运算量的对数处理,提高了反应速度;调整电路可以确定所需的不同测量零点;最后用数码管对结果进行实时显示,具有快慢显示功能。

1.1 噪声信号的采集及放大电路实现
驻极体话筒采用源极接地,漏极输出的方法连接,动态范围宽,灵敏度高。在VCC=9 V的电压驱动下,动态范围可以达到一2~+2V。经过调试,当话筒电压V1=VCC/2时,话筒灵敏度达到最大。在本电路中取漏极负载电阻R1=20 kΩ,电路图如图2所示。传感器将噪声信号变换为电信号后,继续将其放大。放大电路采用带宽大于2 MHz的运算放大器。

电路参数:R2=20 kΩ,R3=51 kΩ,C=0.22μF;
增益:A=R3/R2=2.55;
输出电压幅值大致范围:0~5 V。
1.2 滤波电路方案实现
根据人耳列不同频率的响度感觉,在噪声测量中,常用A计权网络测得A声级。表1给出倍频带中心频率与A声级校正量之问的关系。
计权网络由无源高通滤波和有源低通滤波两部分构成,精心计算和调试相关外围元件参数,使其幅频特性与A计权曲线相近,电路图如图3所示。
[p]

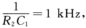
高通滤波器相应参数计算如下:
取C1=10μF,利用等式
求得后级电阻R2=100Ω,前级电阻取R1=100 kΩ,以便得到较高的输入阻抗。
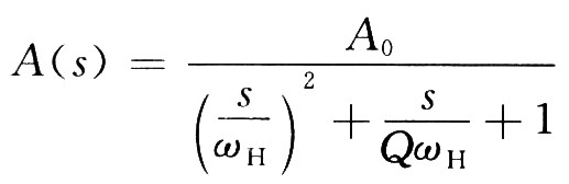
二阶巴特沃斯有源滤波电路的相应参数计算如下:
(1)选择电容C2的容量,计算电阻R3,R4的阻值通常电容C2,C3宜在微法数量级以下,电阻R3,R4的值一般约在几百千欧以内。
设定C2=C3=C=1 000 pF,故有:

考虑到-3dB的截止角频率ωH=ωn,则:

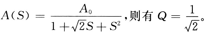
令:S=s/ωH,依据巴特沃斯多项式中n=2的情况
考虑到则得到:

(2)求R5,R6的阻值
考虑到运放两输入端的外接电阻必须满足平衡条件,即R5||R5=R3+R4=16kΩ,故求出R5=25kΩ,R6=43kΩ。
由于滤波器性能对元件的误差比较灵敏,在电路中应选用稳定而精密的电阻器和电容器。
1.3 有效值及对数电路方案实现
有效值电路采用真有效值/直流转换器AD536A。AD536A的性能与混合或模数器件相当,甚至更优,但其价格却低得多,而且它的连接非常简单。只需一个外接电容来设置平均时间常数即可,在这里取输入时间为O.25s,当CAV与信号的输入电阻形成的低通滤波器时问常数大于信号的周期时,就能很好地求出有效值和对数值。
对数输出由5端引出,该点的电压与一logVin成正比。可用射极跟随器缓冲并可以用外部调整电路平移该电压,电压调整电路由稳压芯片AA580构成。缓冲器的输出端级联一个放大倍数可调的放大器,用以改变步长。
1.4 调整及显示电路方案实现
1.4.1 调整电路
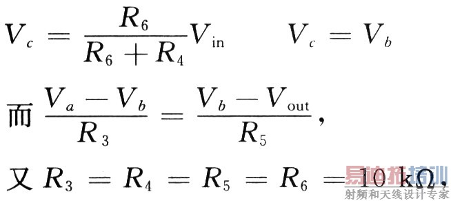
有效值及对数电路的输出电压与-log Vin成正比,通过缓冲器的步长调整,可以得到等式Lp=20lg(P/P0)=201g P-20lg P0右边的第一项,在设计中要设定参考电压,即0分贝值,只需改变等式右边的第二项,所以在对数电路后加入了一级基于减法电路的补偿电路,可以用来调零。同时,还可以通过调整补偿电压,设立相对参考零点,用来测量分贝变化的相对值,通过改变基准电压的大小,从而实现了输入显示电路的表示分贝值的电压信号的调节。
具体推导公式如下:

故解得,Vout=Vin-Va,而Vin是表示分贝值的电压信号,通过改变电位器RX的大小来调节基准电压Va的大小,从而实现了输入显示电路的表示分贝值的电压信号Vout的调节。其中Va为R3的输入电压,Vb为运放的反向输入电压,Vout为运放的同向输入电压,Vin为输入电压,Vout为输出电压。
[p]
1.4.2 保持电路为了持续显示测量时间段内的当前最大分贝值,必须采用峰值检波保持电路,如图4所示。

这里采用二极管电容检波电路,电容取470μF,它的充电时间常数小,放电时间常数大,当然在这里还可以利用运放的高输入电阻和低输出电阻进行的优化。当时间计权开关置于“慢”时,仪器可测量一段时间内的最大声级值;置于“快”时,可以对环境噪声进行实时的测量。
1.4.3 显示电路
ICL7107芯片作为表头驱动,简单经济,需要双极性电源电压驱动,它包含
位数字A/D转换器,可直接驱动LED数码管,内部设有参考电压Vref、独立模拟开关、逻辑控制、显示驱动、自动调零功能等。这里应用它的A/D转换功能和对LED数码管的驱动功能。它的显示原理如下:

式中:Vref由36端调整,它的动态范围为(一Vref,+Vref)。本设计中,取10位为最低位,这样量程减小了10倍。
本设计中所需要的一5 V电压是利用7107芯片产生振荡信号,再在其38脚上串接一个4069的反相器,然后将该信号通过2只4μF电容和2只1N4148二极管构成倍压整流电路输出而得到的。
2 测试实验
噪声计中最重要的是A计权网络设计,系统采用无源高通滤波器和有源低通滤波器两部分实现。利用II型无源高通滤波电路对输入进来低于1 kHz的电压信号进行衰减,以实现近似于A类计权的响应。低通滤波电路将频率高于20 kHz的信号滤除。采用的二阶巴特沃斯有源滤波电路的幅频响应在通带中具有最大平坦度。
通过Workhench软件对A计权网络仿真得到的幅频曲线如图5所示。由图可知,它对100 Hz以下的信号有较大的衰减,这样符合人耳对噪声信号灵敏度的特点,同时也可滤除20 kHz以上的信号。

测试滤波器的幅频特性和A计权的要求比较如图5所示。测试的输入电压为1V,以1kHz信号为基准。

3 结 语
人类对不同频率声音的敏感度不一样,低频段最差,大约3 kHz最好,所以噪声测量不是测量真正的声压,而是经过衰减处理的,常见的有A计权、B计权、C计权和D计权等,文中采用A计权。实际上一个噪声计对不同响度段应采用不同的计权网络。


