- 易迪拓培训,专注于微波、射频、天线设计工程师的培养
电动汽车能量回馈制动系统的研究
苗敬利, 李 蒙
(河北工程大学 信息与电气工程学院, 河北 邯郸 056000)
摘 要: 为了提高一次充电后电动汽车的续驶里程,提高能源的利用率,针对由无刷直流电机驱动的电动汽车能量回馈制动系统进行了研究,对设计方案分硬件设计和软件设计两部分作了介绍。实际应用测试表明, 该方法有效地把制动时的能量转化成电能回馈到蓄电池存储起来,从而提高电动汽车的续驶里程。
关键词: 无刷直流电机;回馈制动;硬件电路;电动汽车
中图分类号: TM33文献标识码: A文章编号: 0258-7998(2014)08-0094-04
传统的燃油汽车在制动时是将汽车的惯性能量通过制动器的摩擦转化成无法回收的热能散发到周围环境中消散掉了[1]。对于电动汽车而言,由于电动机具有可逆性,即电动机在特定的条件下可以转变成发电机运行,因此可以在制动时采用再生制动的办法,通过设计好的电力装置将制动产生的回馈电流充入储能装置[2-4]。研究表明,在城市工况下,大约有1/3到1/2的能量被消耗在制动过程中[5]。因此,研究制动能量回馈不仅增加了电动汽车的续驶里程,对于降低电动汽车能耗,缓解能源和环境压力具有重要意义。
永磁无刷直流电机没有电刷、利用电子换相,故而克服了任何电刷引起的问题;另外,永磁无刷直流电机导热性好,电动机的效率与转速永远保持同步关系,不会发生失步和震荡现象[5-6]。基于以上优点,使得永磁无刷直流电机在能量回馈制动系统的应用中倍受青睐,本文分析了永磁无刷直流电机的制动过程。
1 永磁无刷直流电机能量回馈制动原理
1.1无刷直流电机全桥驱动的联结方式

三相星型形联结全桥驱动电路如图1所示。星形联结的二二导通方式是每次使两个开关管同时导通。根据图1的开关管命名关系,开关管的导通顺序为:V1V2、V2 V3、V3V4、V4V5、V5V6、V6V1。可见,共有6种导通状态,因为每隔60°电角度改变一次导通状态,每改变一次状态更换一个开关管,每个开关管导通120°电角度。当V1V2导通时,电流的路线为:电源→V1→A相绕组→C相绕组→V2→地,其中A相和B相相当于串联,每相通电电流均为I。其他依此类推。与三相半桥式驱动方式相比较,三相全桥星形联结二二导通方式的每个开关管导通时间为120°,每相绕组通电240°,绕组的利用率增加了,输出的转矩也增加了。
1.2 能量回馈制动原理
无刷直流电机是电动汽车中较常用的一类电机,由其工作原理可知,只要改变同一磁极下电枢电流的方向,就可以改变电机输出转矩的方向。当三相方波电流的相序所产生的转矩和电机转动的方向相同时,电机工作于拖动方式。反之,则产生制动力矩,从而达到制动效果。如果此时某种相序的实施不仅可以产生制动力矩,同时还可以将绕组线圈中的反电势能回馈到电池组中,则实现了能量回馈制动。

电动汽车驱动系统由蓄电池、永磁无刷电机以及控制器组成,原理图如图2所示。永磁无刷电机常用的工作方式为两相导通,即一个周期内各相正、负分别导通120°且三相相位相差120°为了获得制动力矩,在相反电势幅值最大的120°期间,通一反方向的电流即可,但要能向蓄电池回馈能量,而不是从蓄电池汲取能量,则需要通过升压斩波来实现。假定电机正向旋转,在一个开关周期内,通过对不同功率管进行斩波,可获得制动性质的电磁转矩。PWM 开通的时间内,在导通的闭合回路中对电机两相的电感蓄能;PWM 关断的时间内,通过相应的二极管续流,进而为蓄电池充电。
永磁无刷电机回馈制动方法可分为两种:单侧斩波,双侧斩波。本文介绍单侧斩波方法。单侧斩波只对逆变器的下桥斩波,上桥全部关断。如图2所示,以功率管T4为例,分析在一个开关周期内系统工作情况。T4导通期间等效电路如图3所示,图中电流电压方向都是实际方向。

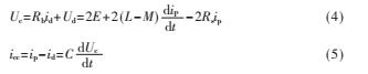
回路电压方程为:
![LTXC{$J@WKBT]UR23A4ES}K.png LTXC{$J@WKBT]UR23A4ES}K.png](http://www.edatop.com/uploadfile/2017/0630/20170630105459175.png)
其中:Ud为蓄电池开路电压;iP为母线电流;icd为支撑电容放电电流;id为子线电流;Rb为蓄电池充电时等效电阻;Uc为逆变器支撑电容电压;eA,eB为相电势;E为单相电势平顶处幅值;RS为相电阻;L为相自感;M为相间互感;C为支撑电容容量。
很显然,在T4、D6导通期间通过反电势在电机的两相电感中储能,而支撑电容放电为蓄电池充电。

当T4关断时等效电路如图4所示。
关断期间回路电压方程为:

其中,icc为支撑电容充电电流。期间D1、D6导通,储存在电感中的能量释放出来(抬高支撑电容端电压),从而在为支撑电容充电的同时,将电流回灌进电池中,达到回收能量的作用。
对于支撑电容而言,根据能量守恒定律,稳态时应有:

忽略母线电压、电流和相电流的脉动,假定电容充放电过程中电流保持不变,即
![K@J9`YOJ97`D[7@]N(C%CCR.png K@J9`YOJ97`D[7@]N(C%CCR.png](http://www.edatop.com/uploadfile/2017/0630/20170630105459239.png)
再根据稳态运行时电机电感能量守恒原则,有:

其中,占空比满足0≤D<1。当D>(Ud-2E)/Ud时,Uc>Ud从而实现回馈功能。
2 硬件设计
2.1 硬件系统结构
TMS320F2812是美国TI公司推出的C2000平台上定点32位DSP芯片,运行时钟最快可达150 MHz,处理性能可达150 MIPS,每条指令周期6.67 ns。具有片内128 K×16位的SRAM,能够满足无刷直流电机系统实时控制的要求。本文即采用DSP为控制器构建BLDCM能量回馈控制系统。

如图5为无刷直流电机硬件系统结构框图。硬件系统由主控板、功率驱动和接口信号板构成。主控板是DSP的最小系统,功率驱动板上可实现功率驱动部分以及相关信号处理电路,功率驱动板为主控板提供电源。
2.2 驱动电路设计

驱动电压一般为10~15 V。A相主电路和驱动电路如图6所示,B、C相电路与此相同。图6(a)为PWM隔离电路,此电路选用的光耦LCPL-2531,此芯片是一种双通道高速光电耦合器,速度可达1 Mb/s。
图6(b)的驱动电路选用IR2110为驱动芯片,内部为自举操作设计了悬浮电源,有较宽的输出栅极驱动电压范围。内部集成双通道驱动模块。高端工作电压可达500 V,输出的电源端电压范围10~20 V;逻辑电源电压范围5~15 V,可方便与TTL、CMOS电平相匹配;工作频率高,可达500 kHz;开通、关断延迟小,分别为120 ns和94 ns。图6(b)中,IGBT_2H、IGBT_2L为母线电压正负极,其间连有大电容。Vbs(驱动电路VB和VS管脚之间的电压)为悬浮电源,它给集成电路的高端驱动电路提供电源。驱动输入电容较大的MOSFET,在工作频率较低的情况下,要注意自举电容电压稳定性问题,上管的驱动波形峰顶如果出现下降的现象则要选取大的电容。为了避免VB过电压损坏IR2110,电路中增加了稳压二极管D30。
2.3 检测电路设计
2.3.1 位置检测电路设计
无刷直流电机位置传感器采用霍尔传感器,并采用光耦对位置传感器信号进行隔离处理,电路与图6(a)类似。传感器输出通常为OC门,需要加上拉电阻实现正确输出。在光耦隔离电路中,OC门输出极的导通可以为光耦提供电流通道,所以光电隔离电路中霍尔传感器输出无需上拉也可以正常工作。
2.3.2 电流信号检测
电流信号检测选用电流传感器LTS6-NP。电流传感器的输出信号需要接入DSP中进行处理。 处理电路如图7所示。

此电路中的运算放大器采用模拟器件公司的(Analog Devices)OP27,具有低失调电压和漂移特性与高速、低噪声特性、高输入阻抗的特点,适合用来做电流采样信号处理。所以,运算放大电路构成差分放大器形式的电流信号处理电路。
图中D5、D6为3 V稳压管,保护DSP的AD输入端,确保输入信号范围保持在AD允许的输入范围内。后边接一个一阶RC滤波电路对电流信号进行滤波处理。
差分放大器正相输入端为信号的输出,反相输入端为电流传感器信号的地。本设计中运用差分放大器可以消除信号的同相成分,有利于区分噪音和信号,还能抑制噪音形成。图中电路对称结构,所以R26=R25,R20=R24。
传递函数如式(10),要想调节电流传感器信号送入AD的采样范围,可以调节R20、R25来实现。
![}[U81EMMUSB]~~E](L$O72I.png }[U81EMMUSB]~~E](L$O72I.png](http://www.edatop.com/uploadfile/2017/0630/20170630105459846.png)
2.4 串行通信接口电路设计

图8所示为串行通信接口电路图,串口接口芯片选用MAX3232,其与控制接口电压都为3.3 V,所以可与DSP直接相连。本系统的通信接口由RS232和CAN构成。在TMS320F2812中集成了CAN总线控制器和串行通信接口模块,加以必要的接口电路就可构成通信网络。
3 软件设计

本设计软件部分如图9所示,主程序模块中先进行系统初始化工作,完成初始化后,主程序进入一个死循环,其主要功能就是响应中断,调用中断处理程序。
本文通过对永磁无刷直流电机的研究,采用TMS320F2812芯片作为主控芯片,实现了电动汽车制动能量回馈控制,使电动汽车在行驶中能量得到充分利用,并且增加了电动汽车的续驶里程,节约了能源,提高了效率。
参考文献
[1] MORENO J, ORTUZAR M E,DIXON J W. Energy-man-agement system for a hybrid electric vehi-cle:using ultraca-pacitors and networks[J]IEEE Transactions on Industrial Electon-ics, 2006,53(2):614-623.
[2] Pan Zhiyang, Luo Fangliu. Transformerbased resonant DC link inverter for brush-less DC motor drive system[J].IEEE Tran-sactions on Power Electronics,2005,20(4):939-947.
[3] 吴颖,杰王君,艳贡俊. 能量回馈制动在电动汽车中的应用[J]. 上海电机学院学报,2006,9(3):98-100.
[4] 宗立志,段建民,许家群. 电动汽车用无刷直流电机能量回馈控制技术[J]. 控制理论与应用,2008,25(17):110-13.
[5] PILLAY P, KRISHNAN R. Application characteristics ofpermanent magnet synchronous and brushless DC motors forservo drives[J]. IEEE Transactions on Industry Applications,1991,27(5):986-996.
[6] 于凤山. 国内外汽车电子的发展现状[J].中国机电工业,2000(3):22-23.
上一篇:VR+体感交互将是可穿戴医疗重要方向
下一篇:是德科技携手华为参与中国5G技术研发试验第二阶段测试,助力5G创新


