- 易迪拓培训,专注于微波、射频、天线设计工程师的培养
基于小波变换微弱生命信号提取的研究
1 引言
生命信号由于受到人体等诸多因素的影响,具有信号弱、噪声强、频率范围较低和随机性强的特点,用传统的傅里叶变换提取具有局限性。而具有多分辨分析特性的小波变换,可利用时频平面上不同位置的不同分辨率,有效地从非平稳信号中提取瞬态信息,可有效地提取信号的波形。
2 Mallat算法
小波变换的多分辨分析MRA(Multi-Resolution-Analysis)特性,定义空间L2(R)中的一列子空间{Vj}j∈z,称为L2(R)的一个多分辨分析(MRA),该序列若满足下列条件:

Mallat根据多分辨分析提出小波变换分解和重构快速算法-Mallat算法。设({Vm;m∈Z};φ(t))是一个正交MRA,则存在{hk}∈ι2,使双尺度方程:

方程(1)成立,并利用式(1)可得到尺度函数φ(x)构造函数:

ψ(x)的伸缩、平移构成L2(R)正交基,其中gk=(-1)h1-k。进一步,当
主要包含3个方面的内容:
(1)集合ψ0={φ(x-k);k∈Z}构成W0的标准正交基,因此
构成Wj的标准正交基;
(2)
可以保证
从而保证Wj的基向量,并可表示L2(R)中的任意函数。
(3)Wj⊥Wj',j≠j',保证在彼此正交的前提下当且仅当表示信息。
多分辨分析理论为信号局部分析提供相当直观的框架,这一点在非平稳信号中的作用尤为重要,因为非平稳信号的频率随时间而变化,这种变化可分为慢变和快变两部分,慢变部分对应于非平稳信号的低频部分,代表信号的主要轮廓;而快变部分对应于信号的高频信息,表示信号的细节,因此,Mallat算法的基本思想可以归纳如下:
设Hjf为能量有限的信号f∈L2(R)在分辨率2j下的近似,则Hjf可以进一步分解为f在分辨率2j-1下的近似Hj-1f,以及位于分辨率2j-1与2j之间的细节Dj-1f之和,其分解和重构过程如图1和图2所示。
[p]
3 小波阈值去噪法
一般含噪的一维信号的模型可表示为:
s(k)=f(k)+εe(k),k=0,1,…n-1 (3)
式中,s(k)为含噪信号,f(k)为有用信号,e(k})为噪声信号。
利用小波检测微弱生命信号的实质是提取强噪声背景下的生命信号,这个过程即去噪,在小波去噪的方法中比较常用的是阈值去噪法。
小波阈值去噪可分为3部分:
(1)信号的小波分解选择一个小波函数对信号进行分解计算。
(2)小波分解高频系数的阂值量化 对各分解尺度下的高频系数选择一个阈值进行阈值量化处理。
(3)小波重构 根据小波分解的最底层低频系数和各层高频系数进行小波重构。
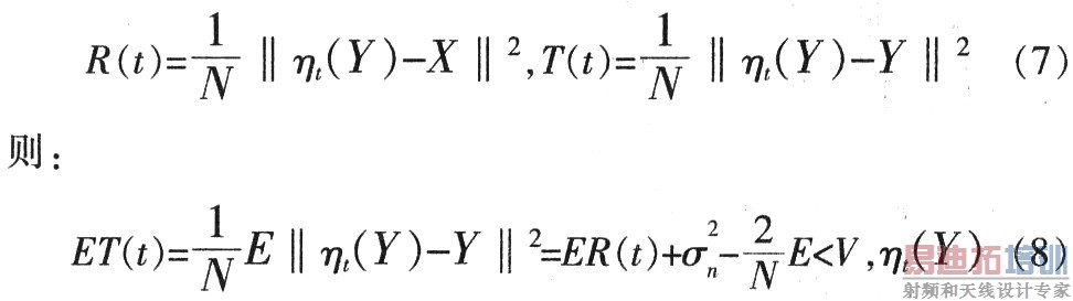
最关键的是阈值的选择以及阈值的量化,该步骤完成的好坏决定信号消噪的质量。在阈值去噪中,阈值函数体现了对超过和低于阈值的小波系数模的不同处理策略以及不同估计方法。设ω是原始小波系数,η(ω)表示阈值化后的小波系数,T是阈值,I(x)为示性函数。

常见阈值函数有:(a)硬阈值函数(图3a),η(ω=ωI(|ω|>T);(b)软阈值函数(图3b),η(ω)=(ω-sgn(ω)T)I(|ω|>T)。

小波阈值去噪方法除阈值函数的选取外,另一个关键因素是阈值估计。如果阈值太小,去噪后的信号仍然有噪声存在;阈值太大,重要的信号特征又被过滤掉,引起偏差。从直观上看,对于给定的小波系数,噪声越大,阈值就越大。常见的阈值估计方法有Visushrik阈值、SUREShrink阈值、GCV阈值等。其中,SUREShrink阈值估计方法是在SURE准则下得到的阈值,该准则是在均方差准则的无偏估计,专门针对软阈值函数得出的结论,且阈值趋近于理想值。设原始信号小波系数估计通过软阈值函数萎缩得到,即

阈值的选择可通过下面的风险函数定义:

由于小波变换的正交性,风险函数可以写成:
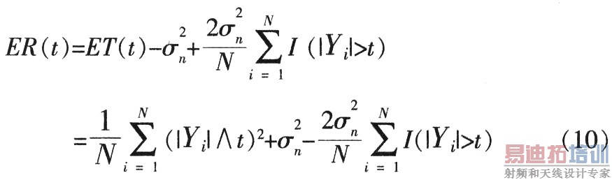
可以证明,当V服从Guass分布时,有下面的等式成立

式中,P(|Yi|>t)服从二项分布,其概率可用|Yi|>t出现的频率近似,可得到风险函数的表达式如下:

式中,I是示性函数,^表示两数取小。
则最佳闽值选择可以通过最小化风险函数得到,即
,对于最佳阈值的选择可以在一个有限的范同内,即t*∈{Y1,Y2,…,YN}。在实际应用中,SUREShrink阈值去噪法能获得较为满意的去噪效果,这是一种误差较低的阈值去噪方法。
小波分解生命信号和噪声所产生的高频系数叠加构成信号的高频系数向量,一般的阈值选取方法会将生命信号的高频部分当作噪声信号滤除掉,而采用基于Stein无偏似然估计SUREShrink阈值选取规则,可以保留生命信号的高频部分,这对于有极少一部分高频信息在噪声范围内的信号很有用。
4 小波去噪的MATLAB仿真
一般检测到的微弱生命信号的背景强噪声主要是工频干扰信号,因此采用正弦信号模拟人体心跳信号频率为0.7 Hz、幅度是1,模拟的工频干扰信号频率为50 Hz、幅度是心跳信号的10倍,和Matlab提供的噪声noissin信号叠加,可近似组成强噪声背景下的生命信号,采用db3小波进行信号分解,并对信号进行SUREShrink阈值估计,并采用heursure函数实现。
叠加信号去噪仿真图如图4所示,叠加信号经过小波阈值去噪法去噪后,可得到较好的生命信号,小波分解和重构的细节,如图5和图6所示。根据Mallat算法的基本思想,高频信号和低频信号分别可以从图中反映出来,其中a1和d1分别反映模拟生命信号的正弦信号,和强噪声干扰的工频信号,这就说明对微弱生命信号的提取小波可以取得很好的效果,由于这里所使用的是模拟的生命信号,在实际应用时还应进行改进。


5 结束语
生命信号由于本身的特点,传统的傅里叶变换对其消噪和提取显得无能为力,因为傅里叶变换对信号的分析只是在频域中进行,不能反映信号某一点的变化情况,而小波变换可以对信号在时频两域进行分析,很适合探测信号的瞬时状态,对微弱生命信号可以进行有效去噪和提取。通过仿真表明,小波变换很适合微弱生命信号的检测,可以在这一领域发挥重要作用。


