- 易迪拓培训,专注于微波、射频、天线设计工程师的培养
频谱仪进行准确的信号功率测量
许多工程师对于频谱仪参数的设置及其对测试结果的影响并不清楚,从而造成错误的测量结果。本文将对如何用频谱仪进行准确的信号功率测量进行探讨。
信号及噪声功率分析
高斯白噪声的功率密度
高斯白噪声是指噪声的概率密度函数满足正态分布统计特性,同时它的功率谱密度函数是常数的一类噪声。这里值得注意的是,高斯型白噪声同时涉及到噪声的两个不同方面,即概率密度函数的正态分布性和功率谱密度函数均匀性,二者缺一不可。
在通信系统的理论分析中,特别是在分析、计算系统抗噪声性能时,经常假定系统中信道噪声为高斯型白噪声。一是因为高斯型白噪声可用具体的数学表达式表述,便于推导分析和运算;二是高斯型白噪声确实反映了实际信道中的加性噪声情况,比较真实地代表了信道噪声的特性。
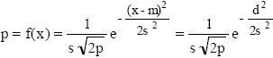
高斯噪声的一维概率密度函数可用数学表达式表示为:

其中:
μ:数学期望,表示噪声分布中心,即均值
σ2:方差
σ:标准偏差
δ:随机误差(δ=χ-μ)
通常,通信信道中噪声的均值μ=0(高斯白噪声)。由此,我们可得到一个重要的结论:在噪声均值为零时,噪声的平均功率等于噪声的方差σ2。
高斯白噪声的峰均比
如果对高斯白噪声进行足够时间的测试和统计,峰均比K约为10dB(99.8%概率)或最大12dB(99.99%概率),如表1所示。
表1 在足够长时间条件下高斯白噪声的峰均比


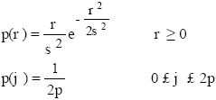
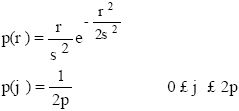
图1 p(ρ)和p( )的波形
窄带高斯噪声的统计分布
一个均值为零,方差为σ2的窄带高斯噪声,假定它是平稳随机过程,则其随机包络服从瑞利分布,相位 服从均匀分布。频谱仪中频带宽内的噪声和大多数通信系统噪声满足此条件,如图1所示。即:

频谱仪功率测试原理
根据现代超外差式频谱分析仪原理(见图2),进入频谱仪的射频信号经过混频器变为中频,中频滤波器对此信号的带宽进行限制(RBW),再经电压包络进行检波,然后经视频滤波器,最后通过数字检波器的计算得到测试频谱。

图2 现代超外差式频谱分析仪原理框图
可以明确:对于正弦连续波的功率测试,只要信噪比足够高,频谱仪的测试设置相对简单,本文不做过多叙述。本文主要针对模拟和数字调制信号以及噪声信号进行准确功率测试的原理分析及仪器设置,并对其带来的误差项进行评估。
检波器的作用及类型
现代频谱仪的检波器通常是数字的,是一些加权算法,是对视频信号的处理和计算。对应频谱上每一个显示像素点,都有N个采样值,如图3所示。

图3 中频信号经包络检波器和视频滤波器输出视频信号及其采样
检波器有多种,包括自动峰值检波器、最大(小)峰值检波器、平均值检波、均方根检波器(RMS)等。
RMS检波器中计算对应于每个像素点的所有采样值的均方根。结果为像素点对应频宽内的信号功率。在RMS计算时,包络的采样值要求采用线性刻度,且:

检波器和平均功率
现代频谱仪的检波器包括两部分:包络检波器获得正弦波的均方根值(峰值电压的0.707倍);数字检波器为取值加权算法。频谱仪内的检波器是电压检波器,频谱仪显示功率测试值的方法是:Pi=Vi2/R,频谱仪通常是50欧姆阻抗,因此:

其中pi是频谱功率显示点,Vi是电压采样点,R是频谱仪阻抗。

根据以上推论,要通过频谱仪获得平均功率,必须选择真正的RMS检波器。
为什么要平均
对于噪声和类噪声信号的频谱,需要对踪迹进行平滑以获得稳定的读数,也就是频谱仪对测试结果进行平均。平均的结果是对噪声和类噪声信号进行平滑,即去除频谱“毛刺”,对于单频点连续波信号的测试值来说,结果没有改变。
由于频谱仪进行功率测试时,功率值是通过电压采样和检波值计算而得,因此,测试人员必须清楚由于平均对测试值带来的影响,否则就会得到错误结论。
根据概率论,带内高斯噪声分布为瑞利分布。对于瑞利分布的噪声,当采样足够多时,标准偏差(σ)与平均误差(算术平均值)(

)之间具有如下关系:

对于频谱仪来说,中频信号经包络检波器后获得电压有效值(RMS),因此平均误差(

)幅度包络要除以,因此,在频谱仪测试过程中,

所以,在频谱仪测试时,电压包络线性平均值对应的功率值(

2)比真正的平均功率(RMS检波所对应的s2)小1.05dB。
根据窄带高斯噪声的统计分布,带内高斯噪声分布为瑞利分布。

式中,ρ为噪声随机包络, 为噪声的随机相位。
电压采样值线性平均后取对数:

电压采样值对数值平均(几何平均):

可见,对于窄带高斯白噪声,对数平均比线性平均低1.45dB。即频谱仪测试时,采用对数平均(对数放大器打开),对于电压测试值来说,幅度包络进行对数加权运算,对大信号放大的增益小,对小信号放大的增益大。在对数平均的情况下,要比线性平均小1.45dB,比真实平均功率小2.5dB。
频谱仪实现平均的方式
频谱仪实现平均的主要方式有四种:减小视频滤波器(VBW)使其小于中频带宽(RBW);平均值检波器(AV) ;RMS检波器;多次测量结果进行算术平均来作踪迹平滑。
视频滤波器是置于电压包络检波器之后,数字加权检波器之前的数字低通滤波器。视频滤波器对电压包络采样值在频域进行低通滤波,相当于时域采样值的平均。
AV检波器是对视频信号进行算术平均,获得电压平均值;RMS检波器是对视频信号进行均方根运算,能够获得功率平均值。
由取样检波器得到的平均噪声电平,当使用对数电平显示时,其平均值低1.45dB。当使用线性电平显示且大的视频带宽时(如VBW≥10RBW),可和AV检波器一样得到真实的平均结果。
对于自动峰值检波器,不建议使用多踪迹平均。若打开平均功能,通常会自动切换到取样检波。
使用RMS检波器进行平均功率测试时,不允许过程中插入电压平均功能。因此,通常此时不允许进行踪迹平均,同理也不允许通过VBW进行平均,一般设VBW≥3RBW。根据平均功率和对数平均与线性平均值的关系,如果在使用RMS检波器时加入了上述平均设置,会使测试结果比实际值小2.5dB (其中包括线性平均的1.05dB和对数平均的1.45dB) 。
频谱仪常用功率测试方法及信号处理算法
在频谱仪的应用领域内,不管是通信信号的测试还是其它调制信号的测试,如广播、电视以及军用信号,通常在信号带宽内对整个信号平均功率的测试是十分重要的。以下将对两种主要的测试方法进行分析,以避免频谱仪使用过程中的错误设置。
信道功率
信道功率测试功能通过对信道带宽内的功率密度积分来进行信道功率的测量,获得信道带宽内的平均功率。

其中,PCH为信道功率,PD为功率密度,CHBW为信道带宽。
在应用中,上述算法会在选择的信道带宽内对像素点的线性值(Pi)求和后除以像素点数,再除以中频滤波器噪声带宽,乘以信道带宽,最后取对数。

其中:
BCH为信道带宽,单位为Hz;
BN,IF中频滤波器的噪声带宽,单位为Hz。
分辨率带宽(RBW)相对于要进行精确测量的信道带宽要很小。通常设为1%~3%的信道带宽。
信道功率测量一般采用RMS检波器,因为它得到的结果可以进行功率计算获得真正的信道内平均功率。有时可用采样检波器,但是测试结果存在偏差。由于对噪声或类似噪声的信号不能找出峰值或均值检波出的视频电压与输入信号功率的关系,因此不应采用峰值检波和均值检波。有些通信测试标准尤其是时分信号采用峰值检波检测瞬态功率,而不是平均功率。
当使用采样检波器时,如果显示的频谱范围相对于分辨率带宽很大,离散的信号分量(正弦波信号)可能由于频谱仪有限的屏幕像素点而被漏掉显示,因此信道或邻道功率的测量就不正确。因为数字调制信号是类噪声信号,取样检波得到踪迹就会类似噪声,不稳定。为了得到稳定的结果,需要采用踪迹平均,但平均后的信号测试结果会偏离真实值。
当选择使用RMS检波器时,每个像素点对应的功率是从多个电压测量值中得到的均方根结果,V2RMS对应的功率P是真正的平均功率。
通过增大扫描时间,每一像素点对应更多的电压采样值Vi,达到踪迹平滑的目的。因此,测量信道功率时选择RMS检波器优于取样检波器。
当使用RMS检波器或取样检波器时,通常此时不允许进行踪迹平均,同理也不允许通过VBW进行平均,一般设VBW≥3RBW。
当被测信号为脉冲和时分通信信号时,可加入时间门控功能,进行时隙内平均功率测试。
时域功率
根据频谱仪测试原理,如果选择的中频带宽RBW大于信号带宽,且VBW>RBW,设频谱仪扫描宽度SPAN=0,此时频谱仪的本振停止扫描,在中频带宽内进行单一频点的时域测量,显示横轴为时间、纵轴为幅度(功率),显示的踪迹对应检波以后的电压采样值。本功能对于脉冲信号和时分通信信号的功率测试十分有用。
在频谱仪内部集成了一些算法,可以在设定的时间段内进行功率计算。要获得准确的功率测量结果,必须合理设置加权检波器和功率算法。通常采用的是采样值检波器。
采样值检波器踪迹显示的是电压包络采样值Vi。根据检波器和平均功率的关系,如果要得到平均功率,需要选择算法“RMS”;如果要得到峰值包络功率,选择“PEAK”;如果选择“MEAN”,则对应平均电压,没有与其对应的功率值。
深入了解频谱仪时域测试原理后,有时也可采用RMS检波方式。此时采用PEAK功率算法,获得设定时间段内的最大平均功率;选择“MEAN”获得设定时间段内的平均功率。这种方法有时会在时分通信信号测试中,对不同时隙功率进行测试时采用。
功率测试时频谱仪设置规则总结
综合文中所述,可以归纳出几点在功率测试中应注意的事项,有助于正确利用频谱仪,并得出较为准确的测试结果。
r频谱仪RMS检波对应平均功率
r高斯白噪声的峰均比为10dB~12dB
rRMS检波时,不允许进行踪迹平均,同时VBW≥3RBW
r需要平滑踪迹时,注意对数平均的结果小于线性平均(如1.45dB)
r信道功率测量
• 一般采用RMS检波
• 不允许进行踪迹平均
• VBW≥3RBW
• 否则测试值会比实际值小(最大2.51dB)
r时域功率测量
•用来测试脉冲和时分通信信号功率
•通常采用采样值检波
•VBW>RBW且RBW>信号带宽


