- 易迪拓培训,专注于微波、射频、天线设计工程师的培养
一种数模结合三相正弦波发生器设计
录入:edatop.com 点击:
引言
三相正弦波发生器是应用非常广泛的信号源之一,通常可以由模拟以及数字模拟两者相结合的方法产生。
本文设计的三相30阶梯正弦波信号发生器采用数模结合的方法,弥补了纯模拟方法在相位差精度、调频方面的缺点,便于单片集成。
电路结构和工作原理
要保证三相相位差恒为120°,对N有两点约束。一为对称性约束,N为偶数;二为恒定相位差120°约束,即N/3为整数,这里N=6×5=30,即可得到的阶梯正弦波阶数为30。用1/30的周期为步长对正弦波进行量化,各采集点的数值等于该点的正弦函数值。在一个周期内,正弦波被分成30个宽度相等的小矩形波。
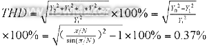
下面对30阶梯波构成正弦波的波形失真度进行简要分析,对每个小矩形波通过傅立叶展开,频谱中主要含有基波分量、还有二次谐波分量、三次谐波……等。这里不考虑正弦波函数离散化时高精度电流源的误差,则其波形失真度为:
本电路设计使用如图1中虚线框内的电流源序列I0~I29。电路工作时,通过数字译码电路输出开关控制信号,同时开启三相对应的电流源,并各自经过电压/电流转换得到OutA、OutB、OutC相位差恒为120°的零直流电平30阶梯正弦波,阶梯正弦波通过低通滤波即可得到三相正弦波SinA、SinB、SinC,其三相正弦波周期与阶梯波周期完全相等,且周期T等于30个Clk时钟周期,所以很方便对三相正弦波进行频率控制,实现调频控制。 实际工作中,根据开关信号K0、K1、K2、…K27、K28、K29得到SinA镜像电流的开启顺序为:I0、I1、I2、…、I27、I28、I29。SinB应该滞后SinA相位120°,所以对应第一个开关信号K0的电流源是I10。同样,SinC第一个开启电流源为I20,依此类推。 [p]
该结构的新颖之处是通过三个开关控制单个电流源切换电流,分别流向三相正弦的I-V运算放大器,实现电流到电压的转换,实现精确相位差的三相正弦阶梯波。在一个循环周期内,同一个电流源在该时刻的时钟信号时间内有且仅有一组开关。另一个显著特点是,仅仅多用2组开关就能实现三相正弦的转换,使原本需要三组同样的正弦镜像电流序列,这里只需要一组就可以实现,不但节省了约2/3集成三组同样电流源所需面积,更重要的是保证了三相正弦阶梯波信号精确的相位差,各相正弦阶梯波对应的信号完全相同,另外也避免了对每一组正弦镜像电流序列加工时因工艺误差而引入的额外失真,这样就很大限度地确保了低失真的三相阶梯正弦波产生。
高精度镜像电流源和高增益运算放大器单元电路的设计
高精度镜像电流源设计
本设计要求镜像电流源对输出电压具有较好的抗干扰能力,同时尽量减少和抑制电流镜像时存在的沟道调制效应以及衬偏效应对镜像电流源精度的影响,从而提供按正弦规律变化的较高精度电流源序列。考虑到实际工作条件,在满足设计输出摆幅和电压裕度的基础上,可以利用高输出阻抗、标准共源共栅结构镜像电流源。该结构可以有效地抑制沟道调制效应,减小衬偏效应对镜像电流的精度影响。本设计使用该结构产生30个正弦镜像电流镜系列。如图2所示。
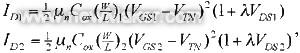
下面对该类电流镜进行简要分析。图b中设M0~M4在饱和工作区,M1和M2的栅源电压相连,即VGS1=VGS2。M1,M2形成电流镜像,且ID1=Iref,则有:
为实现精确的镜像电流,由上式可知,必须减小沟道调制效应的影响,即使VDS2=VDS1,经分析必须满足条件:
Ii=ksin[(π/N)(1+2i)],其中k为常数,i=0,1,2,…29。
可以据此方法镜像出30个正弦序列电流源。
高增益运算放大器的设计
运放在闭环工作状态,该运放工作时正相端接地,反相端接反馈电阻形成负反馈连接。在理想情况下,认为运放增益Av无穷大,实际工作时还要加以考虑。由于运放正负相端在低频输入条件下的阻抗非常大,可以当作输入端虚断,可知i-≈i+=0。工作时电流I通过反馈电阻,由于负反馈机制,负向输入端被嵌位至零电平,输出为输出电压Vout=IRf,这样就实现了电流到电压的转换,即I-V转换。 [p]
对运放实际增益加以考虑,则有:
差:
所以,要满足输出误差小于0.5mV的精度要求,就必须对运放Av,有最低增益要求。本设计要求运放在输出正弦波1KHz内的低频段内,要保证直流开环增益Av≥80dB,另外,还要保证运放在闭环工作的稳定性。这里使用输入级为N沟道输入折叠式共源共栅的两级CMOS运算放大器。该电路输入级采用N沟道差分输入的折叠式输入级,输出采用电流源负载的共源放大级。
使用Pspice仿真软件对运放进行交流信号AC扫描,仿真结果显示该运放的单位增益带宽为21.4MHz,对应相位裕度为91°。在1KHz处的增益为87.3dB,2.3KHz处的增益为80dB。显然,该电路满足在1KHz以下对放大器的增益和工作稳定性的设计要求。此外,每相运放反馈电阻要满足Raf=Rbf=Rcf,阻值范围根据实际工作而定。
三相30阶梯正弦波低通滤波前后输出波形仿真结果
在使用正负电源的情况下,利用灌电流和拉电流的镜像电流源序列实现直流电平为零的正弦波。经过I-V转换,就可以使该正弦波的直流电平为零,无需对正弦输出进行电平位移,具有很好的对称性。如图3所示,该波形是输入时钟频率为6KHz、输出为200Hz三相正弦阶梯波及低通滤波后的输出波形:上栏中为三相30阶梯正弦波OutA、OutB、OutC,其中,Sine为正弦参考波形,下栏为30阶梯波低通滤波后的三相正弦波SinA、SinB、SinC。
结语
本文提出了数模结合的低失真三相30阶梯正弦波发生器电路。该电路结构新颖,适合单片集成。该设计使用Spice仿真软件,采用骊山微电子公司的3μm模型参数对电路进行模拟仿真,设计出1KHz以下低频范围内零电平、高精度、低失真的三相阶梯波正弦波发生器,仿真结果显示达到了预期的设计要求。
三相正弦波发生器是应用非常广泛的信号源之一,通常可以由模拟以及数字模拟两者相结合的方法产生。
本文设计的三相30阶梯正弦波信号发生器采用数模结合的方法,弥补了纯模拟方法在相位差精度、调频方面的缺点,便于单片集成。
电路结构和工作原理
要保证三相相位差恒为120°,对N有两点约束。一为对称性约束,N为偶数;二为恒定相位差120°约束,即N/3为整数,这里N=6×5=30,即可得到的阶梯正弦波阶数为30。用1/30的周期为步长对正弦波进行量化,各采集点的数值等于该点的正弦函数值。在一个周期内,正弦波被分成30个宽度相等的小矩形波。
下面对30阶梯波构成正弦波的波形失真度进行简要分析,对每个小矩形波通过傅立叶展开,频谱中主要含有基波分量、还有二次谐波分量、三次谐波……等。这里不考虑正弦波函数离散化时高精度电流源的误差,则其波形失真度为:


本电路设计使用如图1中虚线框内的电流源序列I0~I29。电路工作时,通过数字译码电路输出开关控制信号,同时开启三相对应的电流源,并各自经过电压/电流转换得到OutA、OutB、OutC相位差恒为120°的零直流电平30阶梯正弦波,阶梯正弦波通过低通滤波即可得到三相正弦波SinA、SinB、SinC,其三相正弦波周期与阶梯波周期完全相等,且周期T等于30个Clk时钟周期,所以很方便对三相正弦波进行频率控制,实现调频控制。 实际工作中,根据开关信号K0、K1、K2、…K27、K28、K29得到SinA镜像电流的开启顺序为:I0、I1、I2、…、I27、I28、I29。SinB应该滞后SinA相位120°,所以对应第一个开关信号K0的电流源是I10。同样,SinC第一个开启电流源为I20,依此类推。 [p]
该结构的新颖之处是通过三个开关控制单个电流源切换电流,分别流向三相正弦的I-V运算放大器,实现电流到电压的转换,实现精确相位差的三相正弦阶梯波。在一个循环周期内,同一个电流源在该时刻的时钟信号时间内有且仅有一组开关。另一个显著特点是,仅仅多用2组开关就能实现三相正弦的转换,使原本需要三组同样的正弦镜像电流序列,这里只需要一组就可以实现,不但节省了约2/3集成三组同样电流源所需面积,更重要的是保证了三相正弦阶梯波信号精确的相位差,各相正弦阶梯波对应的信号完全相同,另外也避免了对每一组正弦镜像电流序列加工时因工艺误差而引入的额外失真,这样就很大限度地确保了低失真的三相阶梯正弦波产生。
高精度镜像电流源和高增益运算放大器单元电路的设计
高精度镜像电流源设计
本设计要求镜像电流源对输出电压具有较好的抗干扰能力,同时尽量减少和抑制电流镜像时存在的沟道调制效应以及衬偏效应对镜像电流源精度的影响,从而提供按正弦规律变化的较高精度电流源序列。考虑到实际工作条件,在满足设计输出摆幅和电压裕度的基础上,可以利用高输出阻抗、标准共源共栅结构镜像电流源。该结构可以有效地抑制沟道调制效应,减小衬偏效应对镜像电流的精度影响。本设计使用该结构产生30个正弦镜像电流镜系列。如图2所示。

下面对该类电流镜进行简要分析。图b中设M0~M4在饱和工作区,M1和M2的栅源电压相连,即VGS1=VGS2。M1,M2形成电流镜像,且ID1=Iref,则有:


为实现精确的镜像电流,由上式可知,必须减小沟道调制效应的影响,即使VDS2=VDS1,经分析必须满足条件:

Ii=ksin[(π/N)(1+2i)],其中k为常数,i=0,1,2,…29。
可以据此方法镜像出30个正弦序列电流源。
高增益运算放大器的设计
运放在闭环工作状态,该运放工作时正相端接地,反相端接反馈电阻形成负反馈连接。在理想情况下,认为运放增益Av无穷大,实际工作时还要加以考虑。由于运放正负相端在低频输入条件下的阻抗非常大,可以当作输入端虚断,可知i-≈i+=0。工作时电流I通过反馈电阻,由于负反馈机制,负向输入端被嵌位至零电平,输出为输出电压Vout=IRf,这样就实现了电流到电压的转换,即I-V转换。 [p]
对运放实际增益加以考虑,则有:

差:

所以,要满足输出误差小于0.5mV的精度要求,就必须对运放Av,有最低增益要求。本设计要求运放在输出正弦波1KHz内的低频段内,要保证直流开环增益Av≥80dB,另外,还要保证运放在闭环工作的稳定性。这里使用输入级为N沟道输入折叠式共源共栅的两级CMOS运算放大器。该电路输入级采用N沟道差分输入的折叠式输入级,输出采用电流源负载的共源放大级。
使用Pspice仿真软件对运放进行交流信号AC扫描,仿真结果显示该运放的单位增益带宽为21.4MHz,对应相位裕度为91°。在1KHz处的增益为87.3dB,2.3KHz处的增益为80dB。显然,该电路满足在1KHz以下对放大器的增益和工作稳定性的设计要求。此外,每相运放反馈电阻要满足Raf=Rbf=Rcf,阻值范围根据实际工作而定。
三相30阶梯正弦波低通滤波前后输出波形仿真结果
在使用正负电源的情况下,利用灌电流和拉电流的镜像电流源序列实现直流电平为零的正弦波。经过I-V转换,就可以使该正弦波的直流电平为零,无需对正弦输出进行电平位移,具有很好的对称性。如图3所示,该波形是输入时钟频率为6KHz、输出为200Hz三相正弦阶梯波及低通滤波后的输出波形:上栏中为三相30阶梯正弦波OutA、OutB、OutC,其中,Sine为正弦参考波形,下栏为30阶梯波低通滤波后的三相正弦波SinA、SinB、SinC。

结语
本文提出了数模结合的低失真三相30阶梯正弦波发生器电路。该电路结构新颖,适合单片集成。该设计使用Spice仿真软件,采用骊山微电子公司的3μm模型参数对电路进行模拟仿真,设计出1KHz以下低频范围内零电平、高精度、低失真的三相阶梯波正弦波发生器,仿真结果显示达到了预期的设计要求。


