- 易迪拓培训,专注于微波、射频、天线设计工程师的培养
基于FPGA的数字电视信号发生器的设计与实现
录入:edatop.com 点击:
电视信号的数字化使得数字电视设备越来越受到广大电子消费者的青睐,如何选择自己理想的数字电视产品,也成了消费者关心的问题,评价、测试电视系统与设备运行的质量状况成为广播电视行业所关注的热点。而数字电视信号发生器能提供可视的测试图像信号,直观、快捷的测试方法,因此,数字电视信号发生器成为目前电子设计的热门研究课题,他在数字电视节目制作播出、科研、生产以及售后服务过程中起着不可或缺的作用。本文设计了一种基于FPGA的数字电视信号友生器,该信号发生器以一种单芯片多配置的方案,针对系统各部分功能特性和性能进行选片没计,并利用 FPGA内部存储资源来生成各种测试信号的图像。
1数字电视信号发生器的功能与原理
1.1 系统功能
数字电视信号发生系统的主要任务是产生符合SMPTE274M系统标准的18种数字信号测试图像,YPbPr,RGB两种视频输出接口符合ITU-R BT.1120-2/GY/T157-2000演播室高清晰度数字视频信号接口标准。本系统的核心是图像信号的编码发生单元FPGA,采取单芯片多配置方案可使18种图像信号方便地进行配置与加密。人机界面由单片机控制,可快速地进行图像切换和格式转换。在普通电源接入下,系统需生成支持 SMPTE274M系统标准中的1080I 60 Hz,1080I 50 Hz,1080P 60 Hz、1080P 50 Hz四种标准格式的18种高清晰度电视通用测试图像的数字输出信号和模拟输出信号,其标准测试信号的数码发生内核基于FPGA平台实现。在此基础上,本系统提供了一个人工可控功能,即用户可根据按键,对以上4种标准的18种测试图案进行切换控制。考虑到输出信号的实用性,输出的模拟测试信号和数字测试信号都必须满足相应的接口标准。为满足以上约束条件,系统功能设计如图1所示。

1.2信号产生的原理
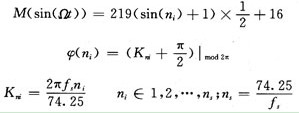
数字电视也是彩色电视(只是信号的表示形式及信号的处理方法与模拟电视有所不同),因此在考虑数字电视测试信号发生器包含哪些(测试信号)内容时,本文根据彩色电视的基本特点,首先应考虑包含一般彩色电视广播测试图的基本内容,例如观察显示设备扫描非线性失真和几何失真的棋盘信号和圆信号,观察图像清晰度和分辨率的多波群或扫频信号,观察亮度非线性失真情况以及显示器白平衡调整是否正确的灰度级(或阶梯波)信号,观察彩色重现是否正确的彩条信号等;另外还考虑增加了在视频测量中最常用的2T脉冲信号、彩色多波群信号和彩色阶梯波信号,以及更为直观的斜波信号等,以便全面地观察和评价彩色电视系统或设备的基本质量。以多波群测试信号为例,他包含了亮度多波群信号和色度多波群信号,信号在任何瞬间的值可用数字硬件中的数代表。对于亮度多波群信号,根据1125/50高清析度电视亮度信号采样频率(74.25 MHz),为避免相位跳变,多波群测试信号各组应含整个采样周期,其频率自左向右各组正弦波的频率(fs)可分别取4.125 MHz,6.187 5 MHz,7.425 MHz,10.6 MHz,14.85 MHz,18.56 MHz;对于色度多波群信号,根据数字电视色差信号采样频率(370 125 MHz)的要求,其频率自左向右各组正弦波的频率(fs)可分别取2.063 MHz,3.094 MHz,3.713 MHz,5.3 MHz,7.425 MHz,9.28 MHz;每组320个取样点,其方程为:

2数字电视信号发生器的FPGA设计
2.1 FPGA设计原理
FPGA是整个数字电视测试信号发生器系统的核心,各种测试信号编码都在这一部分实现。本系统选用的FPGA是XILINX公司Vertex-E系列的XCV300E,开发工具为XILINX公司的ISE 6.0,所有测试信号编码均采用Vetilog硬件描述语言编程实现。FPGA设计原理如图2所示。所有测试信号的编码均基于图像的行/列坐标而产生,其行坐标和列坐标分别为像素计数器和行计数器根据全局时钟上升沿进行计数所得数值。行域信号生成模块对行计数器输出的值进行阈值划分,将测试图像按行划分为不同的区域,称为行域。在不同的行域中,根据像素计数器值进行不同的像素区域划分,将测试图像进一步划分为相对独立的信号编码区域,每个区域对应一个标志信号。此时,行/列坐标与信号编码区域一一对应,称当前输出信号所在行/列所对应的信号编码区域为当前域,其标志信号为当前域标志信号。最后,根据当前域标志信号对测试信号的定时基准码、有效区域等信号进行编码,由测试图案编码模块输出全图像信号数字视频分量的码值。

2.2 FPGA设计总体结构
2.2.1 图像信号产生单元
该模块是系统工作的核心,如图3所示,他由XILINX公司生产的XCV300E组成,是单芯片多配置方式中的主芯片,可提供支持SMPTE274M 1080I 60 Hz/1080I 50 Hz格式的18种高清电视通用测试图,如综合测试卡信号、SMPTE219-2002测试图、SMPTE 198-1998场检测图等。主芯片根据控制模块输出的图案/格式选择信号,选择不同的配置程序,输出相应测试图的数字Y、Cb/Cr信号码值,以及相关的同步/消隐控制信号。

2.2.2 图像信号配置与加密单元
该模块由8片配置芯片XCF02S与1片XC95144XL组成,是成功实现单芯片多配置方案的关键模块。配置程序选择连接开关即根据控制模块输出的5 b配置芯片选择信号,选择相应测试图案的配置芯片PROM的系统可编程JTAG连线与主芯片对应引脚相连接。
2.2.3 图像信号输出单元
数字输出部分由驱动电路与接口芯片组成,模拟输出部分由TI公司的D/A转换芯片THS8200及其内部IFIR数字滤波器以及外围运算放大器电路实现数模转换功能。可根据控制模块的图案/格式以及模拟输出接口类型选择信号,将Y、Cb/Cr的并行数字视频分量信号转换为模拟输出,或者转换为RGC模拟输出。
2.2.4 人机界面与控制单元
控制模拟信号输出类型,并通过输出I2C总线对D/A转换芯片的寄存器进行相应配置。根据外部输入信号,产生相应的图案/格式选择信号和配置芯片选择信号,控制主芯片与配置芯片的断电与上电时序,与选择连接开关模块共同完成测试图切换功能。这种单片多配置方案,信号转换速度很快,与单片单配置方案一样,为毫秒级。
2.3 FPGA测试图像信号产生
综合测试图像信号实际上是由多种测试信号合成的,包括圆信号、棋盘信号、多波群信号、彩条信号等。设计将综合测试图分为三个层次实现。第一层设计采用圆信号作为选通信号,圆信号外的视频有效区域输出棋盘信号,而圆信号内的视频有效区域输出多种测试信号;第二层设计采用行计数器值作为信号划分边界值,不同的行域输出不同的测试信号,用于测试设备的各种性能;第三层设计采用像素计数器值作为信号内部的区域划分参数,完成每种测试信号的生成。其代码设计基本框图如图4所示。

其中圆外的棋盘信号采用灰底白格棋盘,圆内信号从上至下依次设计为白场、信号、2T脉冲信号、黑白场交织信号、100%彩条信号、亮度多波群信号、6电平亮度五阶梯信号、2T脉冲信号与色亮时延差观察信号。其中黑白场交织信号中黑场与白场交替出现,每场宽80个像素点;彩条信号电平符合100/0/100/0,每个彩条信号宽160个像素点;亮度多波群信号每波带信号宽160个像素点;6电平亮度五阶梯信号每阶梯宽160个像素点;2T脉冲信号为半幅值宽度为34 ns、幅度为80%视频幅度的2T正弦平方正脉冲和负脉冲信号;根据黄、红色亮度电平相差较大及便于观察等因素,色亮时延差观察信号采用黄、红信号,其红黄交界处与其上面的2T脉冲峰值点在测试图中的水平方向位置相一致。为有效利用FPGA资源,并缩短开发周期,综合测试图中的多波群信号直接调用ROM的 IP核实现。
3结语
基于FPGA的数字电视信号发生器体积小,携带方便,能生成了综合测试图、SMPTE RP 219-2002彩条测试图等复杂信号,可全面地评估数字电视系统或设备的基本质量,特别适合用于电视台(数字节目)播出前对系统或设备进行测试评价及接收、显示设备的调整,同时也适合电视台其他技术部门以及数字电视设备生产流水线上或维修部门等用于对系统或设备进行调整和检测;另外还可以借助选行视频测试仪对系统或设备进行模拟视频指标的测量,作为低成本的数字电视信号源具有广泛的应用前景。
参考文献
1. SMPTE SMPTE 274M-1998.Standard for Television1920×1080 Scanning and Analog and Parallel Digital Interfaces for Multiple-Picture Rates 1998
2. SMPTE SMPTE RP219-2002.High-Definition Standard -Definition Compatible Color Bar Signal 2002
3. XILINX Preliminary Product Specification.DS123(v2.6).Platform Flash In-System Programmable Configuration PROMS,XILINX 2005
4. Texas Instruments THS8200-All Format over Sampled Component Vide/PC Graphics D/A System with Three 11-Bit DACs 2005
5. 李在铭 数字图像处理压缩与识别技术 2002
6. 郑芸.胡参.郭向东.李在铭 HDTV测试图像信号发生器研究与FPGA实现 [期刊论文] -中国有线电视2005(19)
7. 中国广播电视总局 GY/T 1572000.演播室高清晰度电视,数字视频信号接口 2000
作者:娄底职业技术学院 谢完成 来源: 现代电子技术 2008 31(7)
1数字电视信号发生器的功能与原理
1.1 系统功能
数字电视信号发生系统的主要任务是产生符合SMPTE274M系统标准的18种数字信号测试图像,YPbPr,RGB两种视频输出接口符合ITU-R BT.1120-2/GY/T157-2000演播室高清晰度数字视频信号接口标准。本系统的核心是图像信号的编码发生单元FPGA,采取单芯片多配置方案可使18种图像信号方便地进行配置与加密。人机界面由单片机控制,可快速地进行图像切换和格式转换。在普通电源接入下,系统需生成支持 SMPTE274M系统标准中的1080I 60 Hz,1080I 50 Hz,1080P 60 Hz、1080P 50 Hz四种标准格式的18种高清晰度电视通用测试图像的数字输出信号和模拟输出信号,其标准测试信号的数码发生内核基于FPGA平台实现。在此基础上,本系统提供了一个人工可控功能,即用户可根据按键,对以上4种标准的18种测试图案进行切换控制。考虑到输出信号的实用性,输出的模拟测试信号和数字测试信号都必须满足相应的接口标准。为满足以上约束条件,系统功能设计如图1所示。

1.2信号产生的原理
数字电视也是彩色电视(只是信号的表示形式及信号的处理方法与模拟电视有所不同),因此在考虑数字电视测试信号发生器包含哪些(测试信号)内容时,本文根据彩色电视的基本特点,首先应考虑包含一般彩色电视广播测试图的基本内容,例如观察显示设备扫描非线性失真和几何失真的棋盘信号和圆信号,观察图像清晰度和分辨率的多波群或扫频信号,观察亮度非线性失真情况以及显示器白平衡调整是否正确的灰度级(或阶梯波)信号,观察彩色重现是否正确的彩条信号等;另外还考虑增加了在视频测量中最常用的2T脉冲信号、彩色多波群信号和彩色阶梯波信号,以及更为直观的斜波信号等,以便全面地观察和评价彩色电视系统或设备的基本质量。以多波群测试信号为例,他包含了亮度多波群信号和色度多波群信号,信号在任何瞬间的值可用数字硬件中的数代表。对于亮度多波群信号,根据1125/50高清析度电视亮度信号采样频率(74.25 MHz),为避免相位跳变,多波群测试信号各组应含整个采样周期,其频率自左向右各组正弦波的频率(fs)可分别取4.125 MHz,6.187 5 MHz,7.425 MHz,10.6 MHz,14.85 MHz,18.56 MHz;对于色度多波群信号,根据数字电视色差信号采样频率(370 125 MHz)的要求,其频率自左向右各组正弦波的频率(fs)可分别取2.063 MHz,3.094 MHz,3.713 MHz,5.3 MHz,7.425 MHz,9.28 MHz;每组320个取样点,其方程为:

2数字电视信号发生器的FPGA设计
2.1 FPGA设计原理
FPGA是整个数字电视测试信号发生器系统的核心,各种测试信号编码都在这一部分实现。本系统选用的FPGA是XILINX公司Vertex-E系列的XCV300E,开发工具为XILINX公司的ISE 6.0,所有测试信号编码均采用Vetilog硬件描述语言编程实现。FPGA设计原理如图2所示。所有测试信号的编码均基于图像的行/列坐标而产生,其行坐标和列坐标分别为像素计数器和行计数器根据全局时钟上升沿进行计数所得数值。行域信号生成模块对行计数器输出的值进行阈值划分,将测试图像按行划分为不同的区域,称为行域。在不同的行域中,根据像素计数器值进行不同的像素区域划分,将测试图像进一步划分为相对独立的信号编码区域,每个区域对应一个标志信号。此时,行/列坐标与信号编码区域一一对应,称当前输出信号所在行/列所对应的信号编码区域为当前域,其标志信号为当前域标志信号。最后,根据当前域标志信号对测试信号的定时基准码、有效区域等信号进行编码,由测试图案编码模块输出全图像信号数字视频分量的码值。

2.2 FPGA设计总体结构
2.2.1 图像信号产生单元
该模块是系统工作的核心,如图3所示,他由XILINX公司生产的XCV300E组成,是单芯片多配置方式中的主芯片,可提供支持SMPTE274M 1080I 60 Hz/1080I 50 Hz格式的18种高清电视通用测试图,如综合测试卡信号、SMPTE219-2002测试图、SMPTE 198-1998场检测图等。主芯片根据控制模块输出的图案/格式选择信号,选择不同的配置程序,输出相应测试图的数字Y、Cb/Cr信号码值,以及相关的同步/消隐控制信号。

2.2.2 图像信号配置与加密单元
该模块由8片配置芯片XCF02S与1片XC95144XL组成,是成功实现单芯片多配置方案的关键模块。配置程序选择连接开关即根据控制模块输出的5 b配置芯片选择信号,选择相应测试图案的配置芯片PROM的系统可编程JTAG连线与主芯片对应引脚相连接。
2.2.3 图像信号输出单元
数字输出部分由驱动电路与接口芯片组成,模拟输出部分由TI公司的D/A转换芯片THS8200及其内部IFIR数字滤波器以及外围运算放大器电路实现数模转换功能。可根据控制模块的图案/格式以及模拟输出接口类型选择信号,将Y、Cb/Cr的并行数字视频分量信号转换为模拟输出,或者转换为RGC模拟输出。
2.2.4 人机界面与控制单元
控制模拟信号输出类型,并通过输出I2C总线对D/A转换芯片的寄存器进行相应配置。根据外部输入信号,产生相应的图案/格式选择信号和配置芯片选择信号,控制主芯片与配置芯片的断电与上电时序,与选择连接开关模块共同完成测试图切换功能。这种单片多配置方案,信号转换速度很快,与单片单配置方案一样,为毫秒级。
2.3 FPGA测试图像信号产生
综合测试图像信号实际上是由多种测试信号合成的,包括圆信号、棋盘信号、多波群信号、彩条信号等。设计将综合测试图分为三个层次实现。第一层设计采用圆信号作为选通信号,圆信号外的视频有效区域输出棋盘信号,而圆信号内的视频有效区域输出多种测试信号;第二层设计采用行计数器值作为信号划分边界值,不同的行域输出不同的测试信号,用于测试设备的各种性能;第三层设计采用像素计数器值作为信号内部的区域划分参数,完成每种测试信号的生成。其代码设计基本框图如图4所示。

其中圆外的棋盘信号采用灰底白格棋盘,圆内信号从上至下依次设计为白场、信号、2T脉冲信号、黑白场交织信号、100%彩条信号、亮度多波群信号、6电平亮度五阶梯信号、2T脉冲信号与色亮时延差观察信号。其中黑白场交织信号中黑场与白场交替出现,每场宽80个像素点;彩条信号电平符合100/0/100/0,每个彩条信号宽160个像素点;亮度多波群信号每波带信号宽160个像素点;6电平亮度五阶梯信号每阶梯宽160个像素点;2T脉冲信号为半幅值宽度为34 ns、幅度为80%视频幅度的2T正弦平方正脉冲和负脉冲信号;根据黄、红色亮度电平相差较大及便于观察等因素,色亮时延差观察信号采用黄、红信号,其红黄交界处与其上面的2T脉冲峰值点在测试图中的水平方向位置相一致。为有效利用FPGA资源,并缩短开发周期,综合测试图中的多波群信号直接调用ROM的 IP核实现。
3结语
基于FPGA的数字电视信号发生器体积小,携带方便,能生成了综合测试图、SMPTE RP 219-2002彩条测试图等复杂信号,可全面地评估数字电视系统或设备的基本质量,特别适合用于电视台(数字节目)播出前对系统或设备进行测试评价及接收、显示设备的调整,同时也适合电视台其他技术部门以及数字电视设备生产流水线上或维修部门等用于对系统或设备进行调整和检测;另外还可以借助选行视频测试仪对系统或设备进行模拟视频指标的测量,作为低成本的数字电视信号源具有广泛的应用前景。
参考文献
1. SMPTE SMPTE 274M-1998.Standard for Television1920×1080 Scanning and Analog and Parallel Digital Interfaces for Multiple-Picture Rates 1998
2. SMPTE SMPTE RP219-2002.High-Definition Standard -Definition Compatible Color Bar Signal 2002
3. XILINX Preliminary Product Specification.DS123(v2.6).Platform Flash In-System Programmable Configuration PROMS,XILINX 2005
4. Texas Instruments THS8200-All Format over Sampled Component Vide/PC Graphics D/A System with Three 11-Bit DACs 2005
5. 李在铭 数字图像处理压缩与识别技术 2002
6. 郑芸.胡参.郭向东.李在铭 HDTV测试图像信号发生器研究与FPGA实现 [期刊论文] -中国有线电视2005(19)
7. 中国广播电视总局 GY/T 1572000.演播室高清晰度电视,数字视频信号接口 2000
作者:娄底职业技术学院 谢完成 来源: 现代电子技术 2008 31(7)


