- 易迪拓培训,专注于微波、射频、天线设计工程师的培养
浅谈能源之星影像设备产品测试
录入:edatop.com 点击:
地球上的能源是有限的,节约能源,已是全人类的共识。随着能源问题越来越受到各个国家的关注,节能计划也开始逐步在一些国家开展。能源之星(Energy Star),是一项由美国政府所主导,主要针对消费性电子产品的能源节约计划。能源之星计划于1992年由美国环保署(EPA)所启动,目的是为了降低能源消耗及减少发电厂所排放的温室效应气体。此计划并不具强迫性,自发配合此计划的厂商,就可以在其合格产品上贴上能源之星的标签。最早配合此计划的产品主要是电脑等电器,之后逐渐延伸到电机、办公室设备、照明、家电等。
能源之星计划自1992年开始在美国推广以来,极具成效,目前已成为国际标准之一。它已成为普通大众购买能耗产品的决策依据之一,包括美国、加拿大、日本、中国台湾、澳大利亚、新西兰、欧盟等国家和地区都已普遍认同该标准,并自2001年起每年一次召开国际能源之星计划会议。现在,全球有28000种不同型号的终端耗能产品获得了能源之星节能认证,每年销售能源之星产品超过10亿件。这些产品主要集中在计算机及办公设备,如显示器、打印机、传真机、复印机、一体机等;家用电器和类似家用的产品如电冰箱、空调、洗衣机、电视机、录像机等领域。贴有能源之星标志的产品不仅节约能源,减少空气污染,从而节约成本资金,而且产品的品质也更有保障。根据2006年12月底达成的协议,能源之星标志将贴在欧洲市场所销售的和出口到美国的高能效办公设备上,这些设备包括计算机、显示器、打印机、复印机、传真机和扫描仪等。

图1 简要测试过程
对于影像设备产品来说,主要涵盖了打印机、复印机、传真机、扫描仪等。为确保环境状况的变化不至于影响测试结果且测试结果具有可重复性,对该类产品是否符合能源之星标准而进行能耗测试时,必须具备规定的测试环境,如供电、环境、纸张等,而且对测试设备进行了一定的要求。
对于测试能耗的仪器,其主要要求有:
①具有真有效值的功率计或功率分析仪。
②频率响应至少为3kHz,主要考虑开关电源引入的谐波(奇次波可达21次,IEC555建议参考到50次)。
③解析度按IEC62301要求,对于电功率小于10W的,解析度应该大于0.01W;对于功率在10~100W之间的,解析度应该大于0.1W;对于功率大于100W的,解析度应该大于1W。
④准确度在所有情况下应该大于5%的准确度,对于功率低于0.5W的,准确度需大于0.02W。
⑤测试仪器必须在12月内进行一次校正,以确保测试精度。
对于该类产品的测试,特别重视一个产品在具有代表性周期内的正常操作下的典型用电量。TEC(典型用电量,Typical Electricity Consumption)对影像类产品的主要规则是测试一个星期的用电量,用千瓦/时来表示测得的用电量。测试过程中包括关闭状态、完成/就绪状态、休眠状态、就绪/休眠状态和自动关闭状态等。
对于测试来说,要测试一个星期的用电量,是比较困难的,那么TEC建议采用一种包含休眠、四个工作及自动休眠的简要测试过程(如图1所示),然后通过计算,获得一星期的用电量。
一个星期的电量可通过如下公式得到:
TEC=[(Job1×2)+((Jobs Per Day-2)×(Job2+Job3+Job4)/3)]+(2×Final Energy)+[24 hours-((Jobs per day/4)+(Final Time×2))×Sleep Power]×5+(Sleep Power×48)
变换得:
TEC=(Job1×10)+[(Jobs Per Day-2)×((Job2+Job3+Job4)/3)×5]+(10×Final Energy)+[Sleep Power×(168 hours-(Final Time×10)-(Jobs per day×1.25))]
我们从上面的要求及测试可知道,做该类产品能耗测试,其要求精度达到5%即可,看似要求不高,但做能耗测试时,进行功率积分,测试仪器的量程是不能进行切换的。那么,我们从测试过程中可以看出,该测试需测量包含工作时的大功率(大电流)状态下及休眠时的小功率(小电流)状态,从整个过程来看,是一个间歇过程的测试。根据测试误差理论,数字化测试仪器的误差包含读书误差及量程误差。该测试对测试仪器的精度主要考验在大电流量程中测试小电流精度,并且间歇时间越长,测小电流的误差对整体误差影响越大。因此,测试待机或休眠时的功率误差起决定作用,而待机或休眠的功率误差主要由量程误差决定。
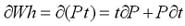
假设测试产品在某一段时间t内,其损耗功率为P。
那么Wh=Pt
得到:

变换为:

即:

由式子(1)中,一般测试仪器时钟精度都很高,这里忽略仪器时钟精度,因此,影响能耗测试误差主要由功率误差决定。那么,式(1)可简化为。
下面以横河电机(YOKOGAWA)的WT210和WT3000的功率精度对该测试进行误差分析比较,来分析影像类产品的能源之星测试对测试仪器精度的要求。
WT210功率精度:±(读数的0.1%+量程的0.1%),45Hz≤f≤66Hz。
WT3000功率精度:±(读数的0.02%+量程的0.04%),45Hz≤f≤66Hz。
影像类某产品待机或休眠时电流为i,工作电压为220V,工作时其电流量程为I,测试仪器(WT210和WT3000)电压量程为300V。可计算得到功率量程为(300I)W,待机或休眠损耗功率为(220i)W。
那么待机或休眠时功率误差为,
WT210:

那么,当测试该产品满足能源之星要求时,须(3I/22i)%≤4.9%,即I/i≤35.93(2)
WT3000:

那么,当测试该产品满足能源之星要求时, 须 (12I/220i)%≤4.98,即I/i≤91.3(3)
通过式(2)和(3),可以知道,当影像类产品最大工作电流确定后(即可确定电流量程),那么对这两种功率测试仪器做能源之星可测试的最小待机或休眠电流随之可以确定。当然该分析仅从待机或休眠功耗进行误差的影像分析,没考虑间歇时间长短的影响。根据前述能源之星测试要求,其中间过程休眠和间歇时间占整个测试时间的比例是很大的,因此,对测试仪器精度的要求就更高。从以上两个式子可以知道,WT3000功率分析仪在大电流量程时可以测试更小的待机或休眠电流而能符合能源之星测试要求。
横河电机提供的WT3000是一种新型的宽频功率分析仪,测量频率范围为直流或0.1~1MHz交流,测量精度为±(读数的0.02%+量程的0.04%),电压电流有丰富的量程选择。WT3000可进行符合IEC61000-3-2标准的谐波测试,可进行符合IEC61000-3-3标准电压波动/闪变的测量。下面以WT3000对某型号复印机进行TEC测试案例,数据采集为每秒1次,所得能耗曲线如图2所示。

图2 WT3000测试实例
当今,能源问题已引起各国的普遍关注,节能成为全球的必然趋势,我国政府已开始高度重视并大力倡导减排增效建设节约型社会,并且随着经济的快速发展,产品大量出口到欧美国家,关注和适应能源之星计划也将成为企业增强竞争力的必然选择。
能源之星计划自1992年开始在美国推广以来,极具成效,目前已成为国际标准之一。它已成为普通大众购买能耗产品的决策依据之一,包括美国、加拿大、日本、中国台湾、澳大利亚、新西兰、欧盟等国家和地区都已普遍认同该标准,并自2001年起每年一次召开国际能源之星计划会议。现在,全球有28000种不同型号的终端耗能产品获得了能源之星节能认证,每年销售能源之星产品超过10亿件。这些产品主要集中在计算机及办公设备,如显示器、打印机、传真机、复印机、一体机等;家用电器和类似家用的产品如电冰箱、空调、洗衣机、电视机、录像机等领域。贴有能源之星标志的产品不仅节约能源,减少空气污染,从而节约成本资金,而且产品的品质也更有保障。根据2006年12月底达成的协议,能源之星标志将贴在欧洲市场所销售的和出口到美国的高能效办公设备上,这些设备包括计算机、显示器、打印机、复印机、传真机和扫描仪等。

图1 简要测试过程
对于影像设备产品来说,主要涵盖了打印机、复印机、传真机、扫描仪等。为确保环境状况的变化不至于影响测试结果且测试结果具有可重复性,对该类产品是否符合能源之星标准而进行能耗测试时,必须具备规定的测试环境,如供电、环境、纸张等,而且对测试设备进行了一定的要求。
对于测试能耗的仪器,其主要要求有:
①具有真有效值的功率计或功率分析仪。
②频率响应至少为3kHz,主要考虑开关电源引入的谐波(奇次波可达21次,IEC555建议参考到50次)。
③解析度按IEC62301要求,对于电功率小于10W的,解析度应该大于0.01W;对于功率在10~100W之间的,解析度应该大于0.1W;对于功率大于100W的,解析度应该大于1W。
④准确度在所有情况下应该大于5%的准确度,对于功率低于0.5W的,准确度需大于0.02W。
⑤测试仪器必须在12月内进行一次校正,以确保测试精度。
对于该类产品的测试,特别重视一个产品在具有代表性周期内的正常操作下的典型用电量。TEC(典型用电量,Typical Electricity Consumption)对影像类产品的主要规则是测试一个星期的用电量,用千瓦/时来表示测得的用电量。测试过程中包括关闭状态、完成/就绪状态、休眠状态、就绪/休眠状态和自动关闭状态等。
对于测试来说,要测试一个星期的用电量,是比较困难的,那么TEC建议采用一种包含休眠、四个工作及自动休眠的简要测试过程(如图1所示),然后通过计算,获得一星期的用电量。
一个星期的电量可通过如下公式得到:
TEC=[(Job1×2)+((Jobs Per Day-2)×(Job2+Job3+Job4)/3)]+(2×Final Energy)+[24 hours-((Jobs per day/4)+(Final Time×2))×Sleep Power]×5+(Sleep Power×48)
变换得:
TEC=(Job1×10)+[(Jobs Per Day-2)×((Job2+Job3+Job4)/3)×5]+(10×Final Energy)+[Sleep Power×(168 hours-(Final Time×10)-(Jobs per day×1.25))]
我们从上面的要求及测试可知道,做该类产品能耗测试,其要求精度达到5%即可,看似要求不高,但做能耗测试时,进行功率积分,测试仪器的量程是不能进行切换的。那么,我们从测试过程中可以看出,该测试需测量包含工作时的大功率(大电流)状态下及休眠时的小功率(小电流)状态,从整个过程来看,是一个间歇过程的测试。根据测试误差理论,数字化测试仪器的误差包含读书误差及量程误差。该测试对测试仪器的精度主要考验在大电流量程中测试小电流精度,并且间歇时间越长,测小电流的误差对整体误差影响越大。因此,测试待机或休眠时的功率误差起决定作用,而待机或休眠的功率误差主要由量程误差决定。
假设测试产品在某一段时间t内,其损耗功率为P。
那么Wh=Pt
得到:

变换为:

即:

由式子(1)中,一般测试仪器时钟精度都很高,这里忽略仪器时钟精度,因此,影响能耗测试误差主要由功率误差决定。那么,式(1)可简化为。
下面以横河电机(YOKOGAWA)的WT210和WT3000的功率精度对该测试进行误差分析比较,来分析影像类产品的能源之星测试对测试仪器精度的要求。
WT210功率精度:±(读数的0.1%+量程的0.1%),45Hz≤f≤66Hz。
WT3000功率精度:±(读数的0.02%+量程的0.04%),45Hz≤f≤66Hz。
影像类某产品待机或休眠时电流为i,工作电压为220V,工作时其电流量程为I,测试仪器(WT210和WT3000)电压量程为300V。可计算得到功率量程为(300I)W,待机或休眠损耗功率为(220i)W。
那么待机或休眠时功率误差为,
WT210:

那么,当测试该产品满足能源之星要求时,须(3I/22i)%≤4.9%,即I/i≤35.93(2)
WT3000:

那么,当测试该产品满足能源之星要求时, 须 (12I/220i)%≤4.98,即I/i≤91.3(3)
通过式(2)和(3),可以知道,当影像类产品最大工作电流确定后(即可确定电流量程),那么对这两种功率测试仪器做能源之星可测试的最小待机或休眠电流随之可以确定。当然该分析仅从待机或休眠功耗进行误差的影像分析,没考虑间歇时间长短的影响。根据前述能源之星测试要求,其中间过程休眠和间歇时间占整个测试时间的比例是很大的,因此,对测试仪器精度的要求就更高。从以上两个式子可以知道,WT3000功率分析仪在大电流量程时可以测试更小的待机或休眠电流而能符合能源之星测试要求。
横河电机提供的WT3000是一种新型的宽频功率分析仪,测量频率范围为直流或0.1~1MHz交流,测量精度为±(读数的0.02%+量程的0.04%),电压电流有丰富的量程选择。WT3000可进行符合IEC61000-3-2标准的谐波测试,可进行符合IEC61000-3-3标准电压波动/闪变的测量。下面以WT3000对某型号复印机进行TEC测试案例,数据采集为每秒1次,所得能耗曲线如图2所示。

图2 WT3000测试实例
当今,能源问题已引起各国的普遍关注,节能成为全球的必然趋势,我国政府已开始高度重视并大力倡导减排增效建设节约型社会,并且随着经济的快速发展,产品大量出口到欧美国家,关注和适应能源之星计划也将成为企业增强竞争力的必然选择。
上一篇:利用新的逻辑分析工具加快调试和验证
下一篇:存储器接口设计:认识信号完整性的价值


