- Ò×µÏÍØÅàѵ,רעÓÚ΢²¨¡¢É䯵¡¢ÌìÏßÉè¼Æ¹¤³ÌʦµÄÅàÑø
»ù´øÐźŷ¢ÉúÆ÷µÄFPGA+DSPʵÏÖ
¼È룺edatop.com µã»÷£º
1¡¡ÒýÑÔ
µÚÈý´úÒÆ¶¯Í¨ÐÅϵͳÊÇΪÂú×ãÈËÃÇ¶Ô¿í´øÒÆ¶¯Í¨ÐŵÄÒªÇó¶ø²úÉúµÄ£¬Ëû³ýÄÜÌṩ´«Í³µÄµç·Êý¾ÝÒµÎñ£¨ÓïÒôºÍµÍËÙÊý¾ÝÒµÎñ£©ÒÔÍ⻹ÄÜÌṩ×î¸ß´ï2 Mb/sµÄ·Ö×éÊý¾ÝÒµÎñ¡£CDMA2000¼¼ÊõÊǵÚÈý´úÒÆ¶¯Í¨ÐÅϵͳµÄÖ÷Òª±ê×¼Ö®Ò»¡£±¾ÎÄÖ÷Ҫ̽ÌÖ»ù´øÐźÅÔ´ÖÐCDMA2000ÏÂÐлù´øÐźÅÄ£¿éµÄʵÏÖ·½°¸¡£
CDMA2000ÏÂÐÐÁ´Â·ÎïÀíÐŵÀ·ÖΪ2ÀࣺһÀàÊǹ«¹²ÎïÀíÐŵÀ£¬Ò»ÀàÊÇרÓÃÎïÀíÐŵÀ¡£ÆäÖй«ÓÃÎïÀíÐŵÀ°üÀ¨£ºµ¼ÆµÐŵÀ¡¢Í¬²½ÐŵÀ¡¢Ñ°ºôÐŵÀ¡¢¹ã²¥ÐŵÀ¡¢¿ìËÙѰºôÐŵÀ¡¢¹«¹²¹¦ÂÊ¿ØÖÆÐŵÀ¡¢Ç°Ïò¹«¹²¿ØÖÆÐŵÀ¡¢¹«¹²Ö¸ÅäÐŵÀ¡£×¨ÓÃÎïÀíÐŵÀ°üÀ¨£ºÇ°ÏòרÓø¨Öúµ¼ÆµÐŵÀ¡¢×¨ÓÿØÖÆÐŵÀ¡¢Ç°Ïò»ù±¾ÐŵÀ¡¢Ç°Ïò²¹³äÂë·ÖÐŵÀ£¨RC1£¬RC2£©£¬Ç°Ïò²¹³äÐŵÀ£¨RC3"RC9£©¡£CDMA2000ÏÂÐÐÐŵÀ»ù´ø´¦Àí¹ý³ÌÈçͼ1Ëùʾ¡£
»ù±¾ÐÅÏ¢±ÈÌØ½øÐÐÐŵÀ±àÂëºÍ½»Ö¯´¦Àíºó½øÐг¤Âë¼ÓÈÅÒÔÇø·ÖÓû§£¬È»ºóÊý¾ÝÁ÷½øÐзûºÅÓ³Éä¼´½«0±äΪ+1£¬1±äΪ1£¬¾±ä»»ºóµÄÊý¾ÝÁ÷ÔÙ½øÐд®²¢×ª»»£¬¼´½«´®ÐÐÊý¾Ý±äΪ²¢ÐÐÊý¾Ý£¬ÔÙ¾WALSHÂëÀ©Æµ£¨Çø·ÖÐŵÀ£©£¬×îºóÊý¾Ý¾»ù´øÂ˲¨ÐγÉǰÏò»ù´øÐźš£
ÆäÖеÄÐŵÀ±àÂëºÍ½»Ö¯½øÐеĴ¦ÀíÓÖ°üÀ¨¼Ó1λµÄ±£Áôλ»ò±ê־룬¼ÓÖ¡ÖÊÁ¿Ö¸Ê¾£¨CRC£©£¬¼Ó8λβ±ÈÌØ»ò±£Áô룬¾í»ý/Turbo±àÂëºÍËÙÂÊÆ¥ÅäµÈһϵÁвÙ×÷¡£Èçͼ2Ëùʾ¡£
ÐŵÀ±àÂëºÍ½»Ö¯´¦Àí¹ý³ÌÈçͼ2Ëùʾ¡£ÔÚÐÅÏ¢±ÈÌØÁ÷¼ÓÈëÁËÖ¡ÖÊÁ¿Ö¸Ê¾£¨Ñ»·ÈßÓàУÑé±ÈÌØ£©ºÍ¾À´í±ÈÌØ£¬ÊµÏÖ¼ì´í¡£¶ÔÊý¾Ý½øÐоí»ý/Turbo±àÂëÊÇΪÁ˶Կ¹´«ÊäÐŵÀÖеÄËæ»úÎó²î£¬Ìá¸ßÐŵÀ´«ÊäÐÔÄÜ¡£ÎªÁËÊÊÓ¦¶àÖÖËÙÂÊ´«Ê䣬ÐŵÀ±àÂë·½°¸Öл¹Ôö¼ÓÁËËÙÂÊÆ¥Å书ÄÜ¡£ËÙÂÊÆ¥ÅäÊǽ«´«ÊäÐŵÀÉϵÄÊý¾Ý±ÈÌØ´ò¿×»òÖØ¸´£¬ÒÔ±ã´ïµ½ÐŵÀÓ³Éäʱ´«Êä¸ñʽҪÇóµÄ±ÈÌØËÙÂÊ¡£ÔÚÐŵÀ±àÂëÖУ¬²ÉÓý»Ö¯¼¼Êõ¿É·Öɢͻ·¢Á¬Ðø´íÎ󣬼õÉÙÐŵÀ±àÂëÐèҪУÕýµÄÁ¬Ðø´íÎó£¬Ê¹Á¬ÐøÎóÂëÀëÉ¢»¯³ÉËæ»ú´íÎóÒÔ±ãÀûÓÃÇ°ÃæµÄÐŵÀ±àÂëÊֶξÀÕý¡£
2CDMA2000ÏÂÐÐÁ´Â·»ù´ø´¦ÀíµÄ¹Ø¼ü¼¼Êõ
2.1¾í»ý/Turbo±àÂë
¾í»ý±àÂëÊôÓÚÐŵÀ±àÂ룬Ö÷ÒªÓÃÀ´¾ÀÕýÂëÔªµÄËæ»úÎó²î£¬ËûÒÔÎþÉüЧÂÊ»»È¡¿É¿¿ÐÔ£¬ÀûÓÃÔö¼Ó¼à¶½Î»½øÐмì´íºÍ¾À´í£¬Õâ¶ÔÊý×ÖÒÆ¶¯Í¨ÐÅÊ®·Ö±ØÒª¡£Èçͼ3ËùʾÊDZàÂëЧÂÊR=1 /2£¬Ô¼Êø³¤¶ÈK=9µÄ¾í»ýÂëµÄÔÀí¿òͼ¡£
Turbo±àÂëÊǽüÄêÀ´±¶ÊÜÖõÄ¿µÄÒ»Ïîм¼Êõ£¬ËûÊÇÔÚ¾í»ý±àÂë¡¢¼¶ÁªÂëºÍ×î´óºóÑ鹦ÂÊÒëÂë»ù´¡ÉϵÄÒ»ÖÖÍÆ¹ãºÍ´´ÐÂ,Turbo±àÂëºóµÄÎóÂëÂÊ(BER)½üËÆÎª10-5£¬½Ó½üShannon¼«ÏÞµÄÐÔÄÜ£¬Ëû²»½öÔÚÐÅÔë±È½ÏµÍµÄ¸ßÔëÉù»·¾³ÏÂÐÔÄÜÓÅÔ½£¬¶øÇÒ¾ßÓкÜÇ¿µÄ¿¹Ë¥Âä¡¢¿¹¸ÉÈÅÄÜÁ¦¡£Turb oÂëµÄÓÅÁ¼ÐÔÄÜÊܵ½Òƶ¯Í¨ÐÅÁìÓòÌØ±ðÊǵÚÈý´úÒÆ¶¯Í¨ÐÅÌåÖÆµÄÖØÊÓ£¬ËùÓеĵÚÈý´úÎÞÏß½Ó¿Ú±ê×¼¶¼²ÉÓÃÁËTurbo±àÂë¡£µ«ÒòΪTurbo±àÂëʵÏÖ¸´ÔÓ£¬ËùÒÔËûÖ÷ÒªÓÃÓÚ¸ßËÙÂÊÊý¾ÝÐŵÀ£¬¶ø¾í»ý±àÂëÓÃÓÚµÍËÙÂÊ»°ÒôÐŵÀ¡£Èçͼ4ΪTurbo±àÂëµÄÔÀí¿òͼ¡£
2.2½»Ö¯
¶ÔÊäÈëµÄÊý¾Ý½øÐн»Ö¯¿ÉÒÔ¸ÄÉÆÂë¾à·Ö²¼¡£½»Ö¯¾ÍÊÇÓÃijÖÖÒ»Ò»¶ÔÓ¦µÄÈ·¶¨ÐÔ·½·¨ÖØÐÂÅÅÁжþ½øÖƺͷǶþ½øÖÆÐòÁÐ˳ÐòµÄ¹ý³Ì£¬ÒÔ´ËÀ´Ëæ»ú»¯Í»·¢´íÎóµÄͳ¼ÆÌØÐÔ£¬Ê¹µÃÐŵÀÎÞ¼ÇÒä¡£½»Ö¯¼¼ÊõÊÇΪÁ˵ֿ¹ÎÞÏßÐŵÀµÄÔëÉùÒÔ¼°Ë¥ÂäµÄÓ°Ïì¶ø²ÉÈ¡µÄʱ¼ä·Ö¼¯¼¼Êõ£¬ËûÔÚ½ÓÊÕ¼¼ÊõÖоßÓÐÖØÒªµÄ×÷Óã¬ÔÚ±àÂë¹ý³ÌÖвÉÓý»Ö¯Ëã·¨ÊÇΪÁ˶ÔÐÅÏ¢Á÷½øÐоÀ´í¿ØÖÆ¡£½»Ö¯¼¼Êõ·ÖÉ¢ÁËËæ»ú´íÎóºÍÍ»·¢´íÎ󣬲ÉÓý»Ö¯¼¼Êõʹ³ÉȺ´íÎóÇ÷Ïò¸üËæ»úµØ·Ö²¼£¬¸ÄÉÆÁËÂë×éµÄÎóÂëÂÊÐÔÄÜ¡£ÏÂÃæ½ö¸ø³ö¶ÔÓÚǰÏòͬ²½ºÍѰºôÐŵÀÒÔ¼°ÒµÎñÐŵÀÔÚRC1ºÍRC2ÅäÖÃϵĽ»Ö¯Æ÷Êý¾ÝÊä³öµØÖ·µÄ¼ÆË㹫ʽ£º

ÆäÖУºAi±íʾ±»¶Á³ö·ûºÅµÄµØÖ·£¬i=1,2,¡£¬N1£¬N±íʾ½»Ö¯Æ÷³¤¶È£»£Ûx£Ý±íʾÏòÏÂÈ¡Õû£»imod j±íʾi¶Ôjȡ죻BROm±íʾyµÄmλ±ÈÌØ·´×ªÖµ£»mÓëjΪ½»Ö¯Æ÷²ÎÊý¿É²é±íµÃµ½¡£
2.3ÈÅÂë
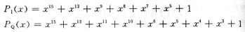
ÈÅÂë¼¼Êõ¼´ÓÃPNÂëÓëÒÑÀ©ÆµÂëÏà³Ë£¬ÊµÏÖ¶ÔÐźŵļÓÃÜ¡£ÈÅÂëÖ®¼ä±ØÐëÓÐÁ¼ºÃµÄÕý½»ÐÔ¡£ÉÏÐÐÁ´Â·ÎïÀíÐŵÀ¼ÓÈŵÄ×÷ÓÃÊÇÇø·ÖÓû§£¬ÏÂÐÐÁ´Â·¼ÓÈÅ¿ÉÒÔÇø·ÖÐ¡ÇøºÍÐŵÀ¡£42볤PNÂëµÄÌØÕ÷¶àÏîʽÈçϹ«Ê½£º

15λµÄPN¶ÌÂëÓÃÓÚQPSKµ÷ÖÆµÄI£¬Q֧·µÄÖ±½ÓÐòÁÐÀ©Æµ£¬Á½Ö§Â·µÄ¶ÌPNÂëÌØÕ÷¶àÏîʽ·Ö±ðΪ£º

2.4À©Æµ
À©Æµ²Ù×÷ÓÖ½ÐÐŵÀ»¯²Ù×÷£¬¼´ÓÃÒ»¸ö¸ßËÙÊý×ÖÐòÁÐ(À©ÆµÂë)ÓëÊý×ÖÐźÅÏà³Ë£¬°ÑÊý¾Ý·ûºÅת»»³ÉһϵÁÐÂëÆ¬£¬´Ó¶ø´ó´óÌá¸ßÁËÊý×Ö·ûºÅµÄËÙÂÊ£¬Ôö¼ÓÁËÐźŴø¿í¡£ÓÉÐźÅÀíÂÛÖªµÀ£¬Âö³åÐźſí¶ÈÔ½Õ£¬ÆäƵÆ×¾ÍÔ½¿í£¬ÐÅºÅµÄÆµ´ø¿í¶ÈºÍÂö³å¿í¶È½üËÆ³É·´±È£¬Òò´Ë£¬Ô½ÕµÄÂö³åÐòÁб»Ëù´«ÐÅÏ¢µ÷ÖÆ£¬¿É²úÉúƵ´øºÜ¿íµÄÐźš£À©ÆµÂëÐòÁоÍÊǺÜÕµÄÂö³åÐòÁС£Í¨¹ýÀ©Æµ²Ù×÷ÐÅºÅÆµÆ×±»´ó´óÍØ¿íÁË¡£ÔÚ³£¹æÍ¨ÐÅÖУ¬ÎªÁËÌá¸ßƵÂÊÀûÓÃÂÊ£¬Í¨³£¶¼ÊDzÉÓôóÌåÏ൱´ø¿íµÄÐźÅÀ´´«ÊäÐÅÏ¢£¬¼´ÔÚÎÞÏßµçͨÐÅÖÐÉ䯵ÐźŵĴø¿íºÍËù´«ÐÅÏ¢µÄ´ø¿íÊÇÊôÓÚͬһ¸öÊýÁ¿¼¶µÄ£¬µ«À©ÆµÍ¨ÐŵÄÐźŴø¿íÓëÐÅÏ¢´ø¿íÖ®±ÈÔò¸ß´ï100¡«1 000£¬ÊôÓÚ¿í´øÍ¨ÐÅ£¬ÕâÑù×öÊÇΪÁËÌá¸ßͨÐŵĿ¹¸ÉÈÅÄÜÁ¦£¬ÕâÊÇÀ©ÆµÍ¨ÐŵĻù±¾Ë¼ÏëºÍÀíÂÛÒÀ¾Ý¡£À©ÆµÍ¨ÐÅϵͳÀ©Õ¹µÄƵÆ×Ô½¿í£¬´¦ÀíÔöÒæÔ½¸ß£¬¿¹¸ÉÈÅÄÜÁ¦¾ÍԽǿ¡£ÔÚ½ÓÊÕ¶ËÓÃÓë·¢ËͶËÍêÈ«ÏàͬµÄÀ©ÆµÂëÐòÁÐÀ´½øÐнâÀ©¡£
2.5»ù´øÂ˲¨
»ù´ø²¿·ÖÂ˲¨Æ÷¾ÍÊÇÂö³å³ÉÐÎÂ˲¨Æ÷ (LPF)¡£ÓÉÓÚÊä³öÐźÅÊÇ´ø¿íÊÜÏ޵ģ¬ËùÒÔÀ©Æµµ÷ÖÆÆ÷µÄÊä³öÂëÆ¬Á÷ÒªÀûÓÃÂö³å³ÉÐÎÂ˲¨Æ÷½øÐÐÂ˲¨¡£
2.6QPSKµ÷ÖÆ
QSPKÕý½»µ÷ÖÆÆ÷·½¿òͼÈçͼ5Ëùʾ£¬Ëû¿ÉÒÔ±»¿´³ÉÊÇÓÉ2¸öBSPK µ÷ÖÆÆ÷¹¹³É¡£ÊäÈëµÄ´®Ðжþ½øÖÆÐÅÏ¢ÐòÁо´®/²¢±ä»»£¬·Ö³ÉÁ½Â·ËÙÂʼõ°ëµÄÐòÁУ¬µçƽ·¢ÉúÆ÷·Ö±ð²úÉúË«¼«ÐÔ¶þµçƽÐźÅI(t)ºÍQ(t)£¬È»ºóÓÃÔØ²¨·Ö±ð½øÐе÷ÖÆ£¬Ïà¼Óºó¼´µÃµ½QPSKÐźš£QPSKµ÷ÖÆÐ§Âʸߣ¬ÒªÇó´«ËÍ;¾¶µÄÐÅÔë±ÈµÍ£¬·Ç³£ÊÊÓÃÓÚCDMAÒÆ¶¯Í¨ÐÅϵͳ¡£ÆäÔÀí¿òͼÈçͼ5Ëùʾ¡£

3¡¡CDMA2000ÏÂÐÐÁ´Â·´¦ÀíÄ£¿éµÄʵÏÖ
µÚÒ»²½ÔÚʵÏÖ»ù´øÄ£¿é֮ǰ£¬Ê×ÏȱØÐë¸ù¾ÝÓ¦ÓÃϵͳµÄÄ¿±êÈ·¶¨ÏµÍ³µÄÐÔÄÜÖ¸±ê¡¢ÐÒéÒªÇó¡£
µÚ¶þ²½ÊǸù¾ÝϵͳµÄÒªÇó½øÐÐоƬµÄÑ¡Ôñ£¬¿É¹©Ñ¡ÔñµÄоƬ°üÀ¨DSP£¬FPGA ºÍµ¥Æ¬»ú¡£ÆäÖУ¬DSP оƬ¿Éµ¥¶ÀÍê³ÉÕû¸ö»ù´ø²¿·ÖµÄ´¦Àí£¬µäÐ͵ÄÒÔDSPΪºËÐĵĻù´øÄ£¿éµÄÖ÷ÒªÌØµã ÊÇ·½±ãµÄ¿É²âÁ¿ÐÔ¡¢µ¥¸öÐŵÀµÄµÍºÄ·ÑÒÔ¼°¼ò±ãµÄÈíÓ²¼þÉý¼¶ÐÔ¡£Ò²¿ÉÑ¡ÔñDSPÓëFPGA ´îÅäʹÓã¬FPGA+DSP½á¹¹×î´óµÄÌØµãÊǽṹÁé»î£¬ÓнÏÇ¿µÄͨÓÃÐÔ£¬ÊÊÓÚÄ£¿é»¯Éè¼Æ£¬´Ó¶øÄܹ»Ìá¸ßË㷨ЧÂÊ£¬Í¬Ê±Æä¿ª·¢ÖÜÆÚ½Ï¶Ì£¬ÏµÍ³Ò×ÓÚά»¤ºÍÀ©Õ¹£¬ÊʺÏÓÚʵʱÐźŴ¦Àí¡£²ÉÓò»Í¬µÄоƬ½øÐд¦Àí£¬»áµ¼Ö²»Í¬µÄϵͳÐÔÄÜ£¬ÒªµÃµ½×î¼ÑµÄϵͳÐÔÄÜ£¬¾Í±ØÐëÔÚÕâÒ»²½È·¶¨×î¼ÑµÄоƬѡÔñ´îÅä¡£
ÔÚÍê³ÉµÚ¶þ²½Ö®ºó£¬¾ÍÊÇ×ÜÌåÉè¼ÆÈ·¶¨ÈíÓ²¼þ·Ö¹¤¡£»ù´øÄ£¿éµÄÉè¼Æ°üÀ¨Ó²¼þÉè¼ÆºÍÈí¼þÉè¼Æ2¸ö·½Ãæ¡£Ó²¼þÉè¼ÆÊ×ÏÈÒª¸ù¾ÝϵͳÔËËãÁ¿µÄ´óС¡¢¶ÔÔËË㾫¶ÈµÄÒªÇó¡¢ÏµÍ³³É ±¾ÏÞÖÆÒÔ¼°Ìå»ý¡¢¹¦ºÄµÈÒªÇóÑ¡ÔñºÏÊÊоƬ¡£È»ºóÉè¼ÆÐ¾Æ¬µÄÍâΧµç·¼°ÆäËûµç·¡£Èí¼þÉè¼ÆºÍ±à³ÌÖ÷Òª¸ù¾ÝϵͳҪÇóºÍËùÑ¡µÄоƬ±àдÏàÓ¦µÄ»ã±à³ÌÐò£¬ÈôϵͳÔËËãÁ¿²»´óÇÒÓи߼¶ÓïÑÔ±àÒëÆ÷Ö§³Ö£¬Ò²¿ÉÓø߼¶ÓïÑÔ£¨ÈçCÓïÑÔ£©±à³Ì¡£ÓÉÓÚÏÖÓеĸ߼¶ÓïÑÔ±àÒëÆ÷µÄЧÂÊ»¹±È²»ÉÏÊÖ¹¤±àд»ã±àÓïÑÔµÄЧÂÊ£¬Òò´ËÔÚʵ¼ÊÓ¦ÓÃϵͳÖг£²ÉÓø߼¶ÓïÑԺͻã±àÓïÑԵĻìºÏ±à³Ì·½·¨£¬¼´ÔÚËã·¨ÔËËãÁ¿´óµÄµØ·½£¬ÓÃÊÖ¹¤±àдµÄ·½·¨±àд»ã±àÓïÑÔ£¬¶øÔËËãÁ¿²»´óµÄµØ·½Ôò²ÉÓø߼¶ÓïÑÔ¡£
Ó²¼þºÍÈí¼þÉè¼ÆÍê³Éºó£¬Ðè½øÐÐÓ²¼þºÍÈí¼þµÄµ÷ÊÔ¡£Èí¼þµÄµ÷ÊÔÒ»°ã½èÖúÓÚоƬ¿ª·¢¹¤¾ß£¬ÈçÈí¼þÄ£ÄâÆ÷¡¢¿ª·¢ÏµÍ³»ò·ÂÕæÆ÷µÈ¡£Ó²¼þµ÷ÊÔÒ»°ã²ÉÓÃÓ²¼þ·ÂÕæÆ÷½øÐе÷ÊÔ£¬Èç¹ûûÓÐÏàÓ¦µÄÓ²¼þ·ÂÕæÆ÷£¬ÇÒÓ²¼þϵͳ²»ÊÇÊ®·Ö¸´ÔÓ£¬Ò²¿ÉÒÔ½èÖúÓÚÒ»°ãµÄ¹¤¾ß½øÐе÷ÊÔ¡£ÏµÍ³µÄÈí¼þºÍÓ²¼þ·Ö±ðµ÷ÊÔÍê³Éºó£¬¶ÔÈíÓ²¼þ½øÐÐϵͳ¼¯³É¡£×îºó£¬Íê³Éϵͳµ÷ÊÔ¡£ÊµÏÖ¿òͼÈçͼ6Ëùʾ¡£

µÚÈý´úÒÆ¶¯Í¨ÐÅϵͳÊÇΪÂú×ãÈËÃÇ¶Ô¿í´øÒÆ¶¯Í¨ÐŵÄÒªÇó¶ø²úÉúµÄ£¬Ëû³ýÄÜÌṩ´«Í³µÄµç·Êý¾ÝÒµÎñ£¨ÓïÒôºÍµÍËÙÊý¾ÝÒµÎñ£©ÒÔÍ⻹ÄÜÌṩ×î¸ß´ï2 Mb/sµÄ·Ö×éÊý¾ÝÒµÎñ¡£CDMA2000¼¼ÊõÊǵÚÈý´úÒÆ¶¯Í¨ÐÅϵͳµÄÖ÷Òª±ê×¼Ö®Ò»¡£±¾ÎÄÖ÷Ҫ̽ÌÖ»ù´øÐźÅÔ´ÖÐCDMA2000ÏÂÐлù´øÐźÅÄ£¿éµÄʵÏÖ·½°¸¡£
CDMA2000ÏÂÐÐÁ´Â·ÎïÀíÐŵÀ·ÖΪ2ÀࣺһÀàÊǹ«¹²ÎïÀíÐŵÀ£¬Ò»ÀàÊÇרÓÃÎïÀíÐŵÀ¡£ÆäÖй«ÓÃÎïÀíÐŵÀ°üÀ¨£ºµ¼ÆµÐŵÀ¡¢Í¬²½ÐŵÀ¡¢Ñ°ºôÐŵÀ¡¢¹ã²¥ÐŵÀ¡¢¿ìËÙѰºôÐŵÀ¡¢¹«¹²¹¦ÂÊ¿ØÖÆÐŵÀ¡¢Ç°Ïò¹«¹²¿ØÖÆÐŵÀ¡¢¹«¹²Ö¸ÅäÐŵÀ¡£×¨ÓÃÎïÀíÐŵÀ°üÀ¨£ºÇ°ÏòרÓø¨Öúµ¼ÆµÐŵÀ¡¢×¨ÓÿØÖÆÐŵÀ¡¢Ç°Ïò»ù±¾ÐŵÀ¡¢Ç°Ïò²¹³äÂë·ÖÐŵÀ£¨RC1£¬RC2£©£¬Ç°Ïò²¹³äÐŵÀ£¨RC3"RC9£©¡£CDMA2000ÏÂÐÐÐŵÀ»ù´ø´¦Àí¹ý³ÌÈçͼ1Ëùʾ¡£
![]() |
»ù±¾ÐÅÏ¢±ÈÌØ½øÐÐÐŵÀ±àÂëºÍ½»Ö¯´¦Àíºó½øÐг¤Âë¼ÓÈÅÒÔÇø·ÖÓû§£¬È»ºóÊý¾ÝÁ÷½øÐзûºÅÓ³Éä¼´½«0±äΪ+1£¬1±äΪ1£¬¾±ä»»ºóµÄÊý¾ÝÁ÷ÔÙ½øÐд®²¢×ª»»£¬¼´½«´®ÐÐÊý¾Ý±äΪ²¢ÐÐÊý¾Ý£¬ÔÙ¾WALSHÂëÀ©Æµ£¨Çø·ÖÐŵÀ£©£¬×îºóÊý¾Ý¾»ù´øÂ˲¨ÐγÉǰÏò»ù´øÐźš£
ÆäÖеÄÐŵÀ±àÂëºÍ½»Ö¯½øÐеĴ¦ÀíÓÖ°üÀ¨¼Ó1λµÄ±£Áôλ»ò±ê־룬¼ÓÖ¡ÖÊÁ¿Ö¸Ê¾£¨CRC£©£¬¼Ó8λβ±ÈÌØ»ò±£Áô룬¾í»ý/Turbo±àÂëºÍËÙÂÊÆ¥ÅäµÈһϵÁвÙ×÷¡£Èçͼ2Ëùʾ¡£
![]() |
ÐŵÀ±àÂëºÍ½»Ö¯´¦Àí¹ý³ÌÈçͼ2Ëùʾ¡£ÔÚÐÅÏ¢±ÈÌØÁ÷¼ÓÈëÁËÖ¡ÖÊÁ¿Ö¸Ê¾£¨Ñ»·ÈßÓàУÑé±ÈÌØ£©ºÍ¾À´í±ÈÌØ£¬ÊµÏÖ¼ì´í¡£¶ÔÊý¾Ý½øÐоí»ý/Turbo±àÂëÊÇΪÁ˶Կ¹´«ÊäÐŵÀÖеÄËæ»úÎó²î£¬Ìá¸ßÐŵÀ´«ÊäÐÔÄÜ¡£ÎªÁËÊÊÓ¦¶àÖÖËÙÂÊ´«Ê䣬ÐŵÀ±àÂë·½°¸Öл¹Ôö¼ÓÁËËÙÂÊÆ¥Å书ÄÜ¡£ËÙÂÊÆ¥ÅäÊǽ«´«ÊäÐŵÀÉϵÄÊý¾Ý±ÈÌØ´ò¿×»òÖØ¸´£¬ÒÔ±ã´ïµ½ÐŵÀÓ³Éäʱ´«Êä¸ñʽҪÇóµÄ±ÈÌØËÙÂÊ¡£ÔÚÐŵÀ±àÂëÖУ¬²ÉÓý»Ö¯¼¼Êõ¿É·Öɢͻ·¢Á¬Ðø´íÎ󣬼õÉÙÐŵÀ±àÂëÐèҪУÕýµÄÁ¬Ðø´íÎó£¬Ê¹Á¬ÐøÎóÂëÀëÉ¢»¯³ÉËæ»ú´íÎóÒÔ±ãÀûÓÃÇ°ÃæµÄÐŵÀ±àÂëÊֶξÀÕý¡£
2CDMA2000ÏÂÐÐÁ´Â·»ù´ø´¦ÀíµÄ¹Ø¼ü¼¼Êõ
2.1¾í»ý/Turbo±àÂë
¾í»ý±àÂëÊôÓÚÐŵÀ±àÂ룬Ö÷ÒªÓÃÀ´¾ÀÕýÂëÔªµÄËæ»úÎó²î£¬ËûÒÔÎþÉüЧÂÊ»»È¡¿É¿¿ÐÔ£¬ÀûÓÃÔö¼Ó¼à¶½Î»½øÐмì´íºÍ¾À´í£¬Õâ¶ÔÊý×ÖÒÆ¶¯Í¨ÐÅÊ®·Ö±ØÒª¡£Èçͼ3ËùʾÊDZàÂëЧÂÊR=1 /2£¬Ô¼Êø³¤¶ÈK=9µÄ¾í»ýÂëµÄÔÀí¿òͼ¡£
![]() |
Turbo±àÂëÊǽüÄêÀ´±¶ÊÜÖõÄ¿µÄÒ»Ïîм¼Êõ£¬ËûÊÇÔÚ¾í»ý±àÂë¡¢¼¶ÁªÂëºÍ×î´óºóÑ鹦ÂÊÒëÂë»ù´¡ÉϵÄÒ»ÖÖÍÆ¹ãºÍ´´ÐÂ,Turbo±àÂëºóµÄÎóÂëÂÊ(BER)½üËÆÎª10-5£¬½Ó½üShannon¼«ÏÞµÄÐÔÄÜ£¬Ëû²»½öÔÚÐÅÔë±È½ÏµÍµÄ¸ßÔëÉù»·¾³ÏÂÐÔÄÜÓÅÔ½£¬¶øÇÒ¾ßÓкÜÇ¿µÄ¿¹Ë¥Âä¡¢¿¹¸ÉÈÅÄÜÁ¦¡£Turb oÂëµÄÓÅÁ¼ÐÔÄÜÊܵ½Òƶ¯Í¨ÐÅÁìÓòÌØ±ðÊǵÚÈý´úÒÆ¶¯Í¨ÐÅÌåÖÆµÄÖØÊÓ£¬ËùÓеĵÚÈý´úÎÞÏß½Ó¿Ú±ê×¼¶¼²ÉÓÃÁËTurbo±àÂë¡£µ«ÒòΪTurbo±àÂëʵÏÖ¸´ÔÓ£¬ËùÒÔËûÖ÷ÒªÓÃÓÚ¸ßËÙÂÊÊý¾ÝÐŵÀ£¬¶ø¾í»ý±àÂëÓÃÓÚµÍËÙÂÊ»°ÒôÐŵÀ¡£Èçͼ4ΪTurbo±àÂëµÄÔÀí¿òͼ¡£
![]() |
2.2½»Ö¯
¶ÔÊäÈëµÄÊý¾Ý½øÐн»Ö¯¿ÉÒÔ¸ÄÉÆÂë¾à·Ö²¼¡£½»Ö¯¾ÍÊÇÓÃijÖÖÒ»Ò»¶ÔÓ¦µÄÈ·¶¨ÐÔ·½·¨ÖØÐÂÅÅÁжþ½øÖƺͷǶþ½øÖÆÐòÁÐ˳ÐòµÄ¹ý³Ì£¬ÒÔ´ËÀ´Ëæ»ú»¯Í»·¢´íÎóµÄͳ¼ÆÌØÐÔ£¬Ê¹µÃÐŵÀÎÞ¼ÇÒä¡£½»Ö¯¼¼ÊõÊÇΪÁ˵ֿ¹ÎÞÏßÐŵÀµÄÔëÉùÒÔ¼°Ë¥ÂäµÄÓ°Ïì¶ø²ÉÈ¡µÄʱ¼ä·Ö¼¯¼¼Êõ£¬ËûÔÚ½ÓÊÕ¼¼ÊõÖоßÓÐÖØÒªµÄ×÷Óã¬ÔÚ±àÂë¹ý³ÌÖвÉÓý»Ö¯Ëã·¨ÊÇΪÁ˶ÔÐÅÏ¢Á÷½øÐоÀ´í¿ØÖÆ¡£½»Ö¯¼¼Êõ·ÖÉ¢ÁËËæ»ú´íÎóºÍÍ»·¢´íÎ󣬲ÉÓý»Ö¯¼¼Êõʹ³ÉȺ´íÎóÇ÷Ïò¸üËæ»úµØ·Ö²¼£¬¸ÄÉÆÁËÂë×éµÄÎóÂëÂÊÐÔÄÜ¡£ÏÂÃæ½ö¸ø³ö¶ÔÓÚǰÏòͬ²½ºÍѰºôÐŵÀÒÔ¼°ÒµÎñÐŵÀÔÚRC1ºÍRC2ÅäÖÃϵĽ»Ö¯Æ÷Êý¾ÝÊä³öµØÖ·µÄ¼ÆË㹫ʽ£º

ÆäÖУºAi±íʾ±»¶Á³ö·ûºÅµÄµØÖ·£¬i=1,2,¡£¬N1£¬N±íʾ½»Ö¯Æ÷³¤¶È£»£Ûx£Ý±íʾÏòÏÂÈ¡Õû£»imod j±íʾi¶Ôjȡ죻BROm±íʾyµÄmλ±ÈÌØ·´×ªÖµ£»mÓëjΪ½»Ö¯Æ÷²ÎÊý¿É²é±íµÃµ½¡£
2.3ÈÅÂë
ÈÅÂë¼¼Êõ¼´ÓÃPNÂëÓëÒÑÀ©ÆµÂëÏà³Ë£¬ÊµÏÖ¶ÔÐźŵļÓÃÜ¡£ÈÅÂëÖ®¼ä±ØÐëÓÐÁ¼ºÃµÄÕý½»ÐÔ¡£ÉÏÐÐÁ´Â·ÎïÀíÐŵÀ¼ÓÈŵÄ×÷ÓÃÊÇÇø·ÖÓû§£¬ÏÂÐÐÁ´Â·¼ÓÈÅ¿ÉÒÔÇø·ÖÐ¡ÇøºÍÐŵÀ¡£42볤PNÂëµÄÌØÕ÷¶àÏîʽÈçϹ«Ê½£º

15λµÄPN¶ÌÂëÓÃÓÚQPSKµ÷ÖÆµÄI£¬Q֧·µÄÖ±½ÓÐòÁÐÀ©Æµ£¬Á½Ö§Â·µÄ¶ÌPNÂëÌØÕ÷¶àÏîʽ·Ö±ðΪ£º

2.4À©Æµ
À©Æµ²Ù×÷ÓÖ½ÐÐŵÀ»¯²Ù×÷£¬¼´ÓÃÒ»¸ö¸ßËÙÊý×ÖÐòÁÐ(À©ÆµÂë)ÓëÊý×ÖÐźÅÏà³Ë£¬°ÑÊý¾Ý·ûºÅת»»³ÉһϵÁÐÂëÆ¬£¬´Ó¶ø´ó´óÌá¸ßÁËÊý×Ö·ûºÅµÄËÙÂÊ£¬Ôö¼ÓÁËÐźŴø¿í¡£ÓÉÐźÅÀíÂÛÖªµÀ£¬Âö³åÐźſí¶ÈÔ½Õ£¬ÆäƵÆ×¾ÍÔ½¿í£¬ÐÅºÅµÄÆµ´ø¿í¶ÈºÍÂö³å¿í¶È½üËÆ³É·´±È£¬Òò´Ë£¬Ô½ÕµÄÂö³åÐòÁб»Ëù´«ÐÅÏ¢µ÷ÖÆ£¬¿É²úÉúƵ´øºÜ¿íµÄÐźš£À©ÆµÂëÐòÁоÍÊǺÜÕµÄÂö³åÐòÁС£Í¨¹ýÀ©Æµ²Ù×÷ÐÅºÅÆµÆ×±»´ó´óÍØ¿íÁË¡£ÔÚ³£¹æÍ¨ÐÅÖУ¬ÎªÁËÌá¸ßƵÂÊÀûÓÃÂÊ£¬Í¨³£¶¼ÊDzÉÓôóÌåÏ൱´ø¿íµÄÐźÅÀ´´«ÊäÐÅÏ¢£¬¼´ÔÚÎÞÏßµçͨÐÅÖÐÉ䯵ÐźŵĴø¿íºÍËù´«ÐÅÏ¢µÄ´ø¿íÊÇÊôÓÚͬһ¸öÊýÁ¿¼¶µÄ£¬µ«À©ÆµÍ¨ÐŵÄÐźŴø¿íÓëÐÅÏ¢´ø¿íÖ®±ÈÔò¸ß´ï100¡«1 000£¬ÊôÓÚ¿í´øÍ¨ÐÅ£¬ÕâÑù×öÊÇΪÁËÌá¸ßͨÐŵĿ¹¸ÉÈÅÄÜÁ¦£¬ÕâÊÇÀ©ÆµÍ¨ÐŵĻù±¾Ë¼ÏëºÍÀíÂÛÒÀ¾Ý¡£À©ÆµÍ¨ÐÅϵͳÀ©Õ¹µÄƵÆ×Ô½¿í£¬´¦ÀíÔöÒæÔ½¸ß£¬¿¹¸ÉÈÅÄÜÁ¦¾ÍԽǿ¡£ÔÚ½ÓÊÕ¶ËÓÃÓë·¢ËͶËÍêÈ«ÏàͬµÄÀ©ÆµÂëÐòÁÐÀ´½øÐнâÀ©¡£
2.5»ù´øÂ˲¨
»ù´ø²¿·ÖÂ˲¨Æ÷¾ÍÊÇÂö³å³ÉÐÎÂ˲¨Æ÷ (LPF)¡£ÓÉÓÚÊä³öÐźÅÊÇ´ø¿íÊÜÏ޵ģ¬ËùÒÔÀ©Æµµ÷ÖÆÆ÷µÄÊä³öÂëÆ¬Á÷ÒªÀûÓÃÂö³å³ÉÐÎÂ˲¨Æ÷½øÐÐÂ˲¨¡£
2.6QPSKµ÷ÖÆ
QSPKÕý½»µ÷ÖÆÆ÷·½¿òͼÈçͼ5Ëùʾ£¬Ëû¿ÉÒÔ±»¿´³ÉÊÇÓÉ2¸öBSPK µ÷ÖÆÆ÷¹¹³É¡£ÊäÈëµÄ´®Ðжþ½øÖÆÐÅÏ¢ÐòÁо´®/²¢±ä»»£¬·Ö³ÉÁ½Â·ËÙÂʼõ°ëµÄÐòÁУ¬µçƽ·¢ÉúÆ÷·Ö±ð²úÉúË«¼«ÐÔ¶þµçƽÐźÅI(t)ºÍQ(t)£¬È»ºóÓÃÔØ²¨·Ö±ð½øÐе÷ÖÆ£¬Ïà¼Óºó¼´µÃµ½QPSKÐźš£QPSKµ÷ÖÆÐ§Âʸߣ¬ÒªÇó´«ËÍ;¾¶µÄÐÅÔë±ÈµÍ£¬·Ç³£ÊÊÓÃÓÚCDMAÒÆ¶¯Í¨ÐÅϵͳ¡£ÆäÔÀí¿òͼÈçͼ5Ëùʾ¡£

3¡¡CDMA2000ÏÂÐÐÁ´Â·´¦ÀíÄ£¿éµÄʵÏÖ
µÚÒ»²½ÔÚʵÏÖ»ù´øÄ£¿é֮ǰ£¬Ê×ÏȱØÐë¸ù¾ÝÓ¦ÓÃϵͳµÄÄ¿±êÈ·¶¨ÏµÍ³µÄÐÔÄÜÖ¸±ê¡¢ÐÒéÒªÇó¡£
µÚ¶þ²½ÊǸù¾ÝϵͳµÄÒªÇó½øÐÐоƬµÄÑ¡Ôñ£¬¿É¹©Ñ¡ÔñµÄоƬ°üÀ¨DSP£¬FPGA ºÍµ¥Æ¬»ú¡£ÆäÖУ¬DSP оƬ¿Éµ¥¶ÀÍê³ÉÕû¸ö»ù´ø²¿·ÖµÄ´¦Àí£¬µäÐ͵ÄÒÔDSPΪºËÐĵĻù´øÄ£¿éµÄÖ÷ÒªÌØµã ÊÇ·½±ãµÄ¿É²âÁ¿ÐÔ¡¢µ¥¸öÐŵÀµÄµÍºÄ·ÑÒÔ¼°¼ò±ãµÄÈíÓ²¼þÉý¼¶ÐÔ¡£Ò²¿ÉÑ¡ÔñDSPÓëFPGA ´îÅäʹÓã¬FPGA+DSP½á¹¹×î´óµÄÌØµãÊǽṹÁé»î£¬ÓнÏÇ¿µÄͨÓÃÐÔ£¬ÊÊÓÚÄ£¿é»¯Éè¼Æ£¬´Ó¶øÄܹ»Ìá¸ßË㷨ЧÂÊ£¬Í¬Ê±Æä¿ª·¢ÖÜÆÚ½Ï¶Ì£¬ÏµÍ³Ò×ÓÚά»¤ºÍÀ©Õ¹£¬ÊʺÏÓÚʵʱÐźŴ¦Àí¡£²ÉÓò»Í¬µÄоƬ½øÐд¦Àí£¬»áµ¼Ö²»Í¬µÄϵͳÐÔÄÜ£¬ÒªµÃµ½×î¼ÑµÄϵͳÐÔÄÜ£¬¾Í±ØÐëÔÚÕâÒ»²½È·¶¨×î¼ÑµÄоƬѡÔñ´îÅä¡£
ÔÚÍê³ÉµÚ¶þ²½Ö®ºó£¬¾ÍÊÇ×ÜÌåÉè¼ÆÈ·¶¨ÈíÓ²¼þ·Ö¹¤¡£»ù´øÄ£¿éµÄÉè¼Æ°üÀ¨Ó²¼þÉè¼ÆºÍÈí¼þÉè¼Æ2¸ö·½Ãæ¡£Ó²¼þÉè¼ÆÊ×ÏÈÒª¸ù¾ÝϵͳÔËËãÁ¿µÄ´óС¡¢¶ÔÔËË㾫¶ÈµÄÒªÇó¡¢ÏµÍ³³É ±¾ÏÞÖÆÒÔ¼°Ìå»ý¡¢¹¦ºÄµÈÒªÇóÑ¡ÔñºÏÊÊоƬ¡£È»ºóÉè¼ÆÐ¾Æ¬µÄÍâΧµç·¼°ÆäËûµç·¡£Èí¼þÉè¼ÆºÍ±à³ÌÖ÷Òª¸ù¾ÝϵͳҪÇóºÍËùÑ¡µÄоƬ±àдÏàÓ¦µÄ»ã±à³ÌÐò£¬ÈôϵͳÔËËãÁ¿²»´óÇÒÓи߼¶ÓïÑÔ±àÒëÆ÷Ö§³Ö£¬Ò²¿ÉÓø߼¶ÓïÑÔ£¨ÈçCÓïÑÔ£©±à³Ì¡£ÓÉÓÚÏÖÓеĸ߼¶ÓïÑÔ±àÒëÆ÷µÄЧÂÊ»¹±È²»ÉÏÊÖ¹¤±àд»ã±àÓïÑÔµÄЧÂÊ£¬Òò´ËÔÚʵ¼ÊÓ¦ÓÃϵͳÖг£²ÉÓø߼¶ÓïÑԺͻã±àÓïÑԵĻìºÏ±à³Ì·½·¨£¬¼´ÔÚËã·¨ÔËËãÁ¿´óµÄµØ·½£¬ÓÃÊÖ¹¤±àдµÄ·½·¨±àд»ã±àÓïÑÔ£¬¶øÔËËãÁ¿²»´óµÄµØ·½Ôò²ÉÓø߼¶ÓïÑÔ¡£
Ó²¼þºÍÈí¼þÉè¼ÆÍê³Éºó£¬Ðè½øÐÐÓ²¼þºÍÈí¼þµÄµ÷ÊÔ¡£Èí¼þµÄµ÷ÊÔÒ»°ã½èÖúÓÚоƬ¿ª·¢¹¤¾ß£¬ÈçÈí¼þÄ£ÄâÆ÷¡¢¿ª·¢ÏµÍ³»ò·ÂÕæÆ÷µÈ¡£Ó²¼þµ÷ÊÔÒ»°ã²ÉÓÃÓ²¼þ·ÂÕæÆ÷½øÐе÷ÊÔ£¬Èç¹ûûÓÐÏàÓ¦µÄÓ²¼þ·ÂÕæÆ÷£¬ÇÒÓ²¼þϵͳ²»ÊÇÊ®·Ö¸´ÔÓ£¬Ò²¿ÉÒÔ½èÖúÓÚÒ»°ãµÄ¹¤¾ß½øÐе÷ÊÔ¡£ÏµÍ³µÄÈí¼þºÍÓ²¼þ·Ö±ðµ÷ÊÔÍê³Éºó£¬¶ÔÈíÓ²¼þ½øÐÐϵͳ¼¯³É¡£×îºó£¬Íê³Éϵͳµ÷ÊÔ¡£ÊµÏÖ¿òͼÈçͼ6Ëùʾ¡£





