- 易迪拓培训,专注于微波、射频、天线设计工程师的培养
时钟的抖动及相噪分析
录入:edatop.com 点击:
ScopeArt按语:
抖动测量一直被称为示波器测试测量的最高境界。传统最直观的抖动测量方法是利用余辉来查看波形的变化。后来演变为高等数学概率统计上的艰深问题,抖动测量结果准还是不准的问题就于是变得更加复杂。时钟的特性可以用频率计测量频率的稳定度,用频谱仪测量相噪,用示波器测量TIE抖动、周期抖动、cycle-cycle抖动。
但是时域测量方法和频域测量方法的原理分别是什么 TIE抖动和相噪抖动之间的关系到底是怎么推导的呢 ScopeArt先生就常遇到类似的问题,为此,特向本文作者主动邀稿。 作者是高人,但很低调。他为此文花费了很多时间,最终奉献给大家的这篇文章很干货。希望对仍然纠结在抖动的迷雾中的朋友们有所启发。
抖动是衡量时钟性能的重要指标,抖动一般定义为信号在某特定时刻相对于其理想位置的短期偏移。这个短期偏移在时域的表现形式为抖动(下文的抖动专指时域抖动),在频域的表现形式为相噪。本文主要探讨下时钟抖动和相噪以及其测量方法,以及两者之间的关系。
1、抖动介绍
抖动是对时域信号的测量结果,反映了信号边沿相对其理想位置偏离了多少。抖动有两种主要成分:确定性抖动和随机抖动。确定性抖动是可以重复和预测的,其峰峰值是有界的,通常意义上的DJ是指其pk-pk值;随机抖动是不能预测的定时噪声,分析时一般使用高斯分布来近似表征,理论上可以偏离中间值无限大,所以随机抖动是没有峰到峰边界的,通常意义上的RJ指标是指其RMS值,可以根据其RMS值推算其在一定误码率时的值。目前最常用的分析方法是使用双狄拉克模型。该模型假定概率密度函数两侧的尾部是服从高斯分布的,高斯分布很容易模拟,并且可以向下推算出较低的概率分布。总抖动是RJ和DJ概率密度函数的卷积。
但是,业界对于高斯分布能否精确地描绘随机抖动直方图的尾部还存在争议。真正的随机抖动是遵守高斯分布的,但实际的测量中多个低幅度的DJ会卷积到一个分布函数,这导致测量出的概率密度分布的中心接近高斯分布,而尾部却夹杂了一些DJ。所以,真正的RJ可能只占高斯模型的抖动的一部分,测量中RJ可能被放大了,同时总抖动也会被放大。
2、抖动测量
时钟抖动通常有三种测量方法,对应于TIE(Time Interval Error 时间间隔误差)、period(周期抖动)和Cycle-Cycle(相邻周期抖动)三种抖动指标。
TIE抖动(时间间隔误差),以被测时钟沿与理想时钟沿之间的时间差为样本,即以图中的TIEn为样本,通过对很多个样本进行统计分析,表征时钟沿与理想时钟沿偏离值的变化、分布情况,如下图所示:
Period Jitter(周期抖动),以时钟信号的周期做样本,即以图中的Pn做样本,通过对很多个样本进行统计分析,表征时钟信号周期Pn的变化、分布情况,对于保证数字系统中的建立保持时间规范很有意义。如下图所示:
Cycle-Cycle Jitter(Cycle-Cycle抖动),以时钟信号相邻周期的差值做样本,即以图中的Cn做样本,通过对很多个样本(1K~10K)进行统计分析,表征时钟信号相邻周期变化值的变化、分布情况,一般用于需要限制频率突变的场合。如下图所示:
TIE、Jperiod和Jcycle-cycle三种抖动指标之间的关系如下:
TIE的微分可以得到周期抖动。
其中,Δtpn为周期抖动, tn为实际周期,T0为理想周期,ΔtIEn为TIE抖动。
周期抖动(period jitter)的微分可以得到cycle-cycle jitter。
其中,Δtcn为周期抖动, tn为实际周期,Δtpn为周期抖动。
三者的关系可以用下图表示:
3、相噪介绍
相位噪声反映的是单载波信号的频谱纯度,如果没有相位噪声,信号的所有功率都应集中在其振荡频率f0处(下图左Carrier),这个理想信号用Asin(ωt)表示。由于存在相位噪声(下图左Noise),相当于在理想信号上调制了一个Φ(t)相位信号,此时整个信号表示为Asin(ωt+Φ(t))。在频谱上体现为一部分功率扩展到相邻的频率中去,形成边带(下图右)。相噪定义为单边带某一给定偏移频率fn处1Hz带宽内的功率Pn与信号总功率Ps比值的对数,即 10lg(Pn/Ps),相噪以dBc/Hz@fn为单位来表示。这里dBc的含义是某频点功率与信号总功率的比值(下图右),对应于时钟相位偏移与时钟周期的比值。
4、相噪测量
相噪测量一般使用相噪仪进行,由于技术发展,现在相噪仪不仅可以测量相噪,还可以分析电源等其它信号的噪声,所以相噪仪也称为信号分析仪。相噪仪的原理与频谱仪类似,但是更加精密,并增加了一些特定的分析功能,因此使用频谱仪也可以粗略地测试相噪。相噪仪测试相噪有多种测量方法,但使用最广泛的还是频谱分析法和鉴相法这两种测量原理。
4.1 频谱分析法
频谱分析法是对时钟信号进行频谱分析,先测量信号总功率Ps,再测量某一偏移频率出的功率Pn,再经过计算便可得到该被测时钟的单边带相位噪声。频谱分析法是一种简单直接的相噪分析技术,适宜于测量漂移较小但相位噪声相对较高的信号;但是频谱分析法不能分辨出调幅噪声和相位噪声,测试波形不太完美的时钟信号相噪时会存在较大误差;另外由于频谱仪的动态范围和最小分辨带宽的限制,测量精度受限。
4.2 鉴相法
鉴相法采用外差混频方式将被测时钟信号转化至中频,在中频用一个锁相环提取出被测时钟信号的载波信号,再将该信号与被测信号正交鉴相,从而提取被测时钟信号的相位噪声Φ(t) ,处理后得到频域相噪SΦ(f) ,进一步积分可以得到L(f) ,L(f)对应于RMS相噪。鉴相法的优点是动态范围大,相噪电平采用低噪放大器提高灵敏度,并且可以分辨调幅噪声和相位噪声。
另外,鉴相法还可以进一步增加互相关技术来增加灵敏度。互相关技术是将两路鉴相法组合起来,对其输出信号执行互相关操作。待测时钟的噪声通过每路通道仍然是相关的,不受互相关影响;每路通道内部产生的噪声是不相关的,被互相关操作抑制。引入互相关技术后无需特别精密的器件就可以实现更高的测量灵敏度。
5、抖动与相噪分析及转换
5.1 相噪转化为抖动的计算
相位噪声到抖动的转化,可以有如下的公式推导。
频率f1到f2的相噪频谱积分可得到相噪Φ(t)的RMS值的平方(RMSΦ(t))2:
其中,SΦ(t)为相噪频谱,L(f) 为积分后的相噪。由于相噪曲线为不规则曲线,运算量很大,实际测量时该积分运算由仪器完成。
总的信号可以表示为以下函数:
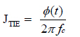
其中C(t)表示总的信号,Φ(t)表示调制其上的相位噪声。将Φ(t)与周期/频率结合起来可以得到TIE抖动的表示为:
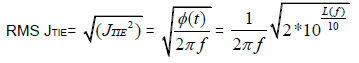
另有,TIE抖动的RMS值为:

其中,L(f)是关心频段内相噪的积分。
从下面的测量可以得到10Hz到30MHz的积分相噪是-51.5dBc,以该测量为例计算:
UI=1/999.999992MHz≈1ns
RMS JTIE=3.763mrad*1ns/2π=0.215° *1ns/360°=0.5972ps
示波器仪器本身;
· 仪器在测量过程中引入噪声,这里示波器的底噪大于相噪仪,引入的噪声会更大些;
· 相噪仪只是观察到每一个时刻的噪声,示波器可以累积观察一段时间的噪声;
· 相噪测试时以输入信号本身的频率作为基频,忽略了信号的频偏;而示波器测量TIE时会以理想时钟作为参考。
6、小结
抖动测量就像是盲人摸象,每种方法都有其局限性。工程师需要深入了解系统的抖动的要求,以及各种抖动测量技术的原理和优劣,根据需要选择合适的抖动测量评估方法。
抖动测量一直被称为示波器测试测量的最高境界。传统最直观的抖动测量方法是利用余辉来查看波形的变化。后来演变为高等数学概率统计上的艰深问题,抖动测量结果准还是不准的问题就于是变得更加复杂。时钟的特性可以用频率计测量频率的稳定度,用频谱仪测量相噪,用示波器测量TIE抖动、周期抖动、cycle-cycle抖动。
但是时域测量方法和频域测量方法的原理分别是什么 TIE抖动和相噪抖动之间的关系到底是怎么推导的呢 ScopeArt先生就常遇到类似的问题,为此,特向本文作者主动邀稿。 作者是高人,但很低调。他为此文花费了很多时间,最终奉献给大家的这篇文章很干货。希望对仍然纠结在抖动的迷雾中的朋友们有所启发。
抖动是衡量时钟性能的重要指标,抖动一般定义为信号在某特定时刻相对于其理想位置的短期偏移。这个短期偏移在时域的表现形式为抖动(下文的抖动专指时域抖动),在频域的表现形式为相噪。本文主要探讨下时钟抖动和相噪以及其测量方法,以及两者之间的关系。
1、抖动介绍
抖动是对时域信号的测量结果,反映了信号边沿相对其理想位置偏离了多少。抖动有两种主要成分:确定性抖动和随机抖动。确定性抖动是可以重复和预测的,其峰峰值是有界的,通常意义上的DJ是指其pk-pk值;随机抖动是不能预测的定时噪声,分析时一般使用高斯分布来近似表征,理论上可以偏离中间值无限大,所以随机抖动是没有峰到峰边界的,通常意义上的RJ指标是指其RMS值,可以根据其RMS值推算其在一定误码率时的值。目前最常用的分析方法是使用双狄拉克模型。该模型假定概率密度函数两侧的尾部是服从高斯分布的,高斯分布很容易模拟,并且可以向下推算出较低的概率分布。总抖动是RJ和DJ概率密度函数的卷积。
但是,业界对于高斯分布能否精确地描绘随机抖动直方图的尾部还存在争议。真正的随机抖动是遵守高斯分布的,但实际的测量中多个低幅度的DJ会卷积到一个分布函数,这导致测量出的概率密度分布的中心接近高斯分布,而尾部却夹杂了一些DJ。所以,真正的RJ可能只占高斯模型的抖动的一部分,测量中RJ可能被放大了,同时总抖动也会被放大。
2、抖动测量
时钟抖动通常有三种测量方法,对应于TIE(Time Interval Error 时间间隔误差)、period(周期抖动)和Cycle-Cycle(相邻周期抖动)三种抖动指标。
TIE抖动(时间间隔误差),以被测时钟沿与理想时钟沿之间的时间差为样本,即以图中的TIEn为样本,通过对很多个样本进行统计分析,表征时钟沿与理想时钟沿偏离值的变化、分布情况,如下图所示:
Period Jitter(周期抖动),以时钟信号的周期做样本,即以图中的Pn做样本,通过对很多个样本进行统计分析,表征时钟信号周期Pn的变化、分布情况,对于保证数字系统中的建立保持时间规范很有意义。如下图所示:
Cycle-Cycle Jitter(Cycle-Cycle抖动),以时钟信号相邻周期的差值做样本,即以图中的Cn做样本,通过对很多个样本(1K~10K)进行统计分析,表征时钟信号相邻周期变化值的变化、分布情况,一般用于需要限制频率突变的场合。如下图所示:
TIE、Jperiod和Jcycle-cycle三种抖动指标之间的关系如下:
TIE的微分可以得到周期抖动。
其中,Δtpn为周期抖动, tn为实际周期,T0为理想周期,ΔtIEn为TIE抖动。
周期抖动(period jitter)的微分可以得到cycle-cycle jitter。
其中,Δtcn为周期抖动, tn为实际周期,Δtpn为周期抖动。
三者的关系可以用下图表示:
3、相噪介绍
相位噪声反映的是单载波信号的频谱纯度,如果没有相位噪声,信号的所有功率都应集中在其振荡频率f0处(下图左Carrier),这个理想信号用Asin(ωt)表示。由于存在相位噪声(下图左Noise),相当于在理想信号上调制了一个Φ(t)相位信号,此时整个信号表示为Asin(ωt+Φ(t))。在频谱上体现为一部分功率扩展到相邻的频率中去,形成边带(下图右)。相噪定义为单边带某一给定偏移频率fn处1Hz带宽内的功率Pn与信号总功率Ps比值的对数,即 10lg(Pn/Ps),相噪以dBc/Hz@fn为单位来表示。这里dBc的含义是某频点功率与信号总功率的比值(下图右),对应于时钟相位偏移与时钟周期的比值。
4、相噪测量
相噪测量一般使用相噪仪进行,由于技术发展,现在相噪仪不仅可以测量相噪,还可以分析电源等其它信号的噪声,所以相噪仪也称为信号分析仪。相噪仪的原理与频谱仪类似,但是更加精密,并增加了一些特定的分析功能,因此使用频谱仪也可以粗略地测试相噪。相噪仪测试相噪有多种测量方法,但使用最广泛的还是频谱分析法和鉴相法这两种测量原理。
4.1 频谱分析法
频谱分析法是对时钟信号进行频谱分析,先测量信号总功率Ps,再测量某一偏移频率出的功率Pn,再经过计算便可得到该被测时钟的单边带相位噪声。频谱分析法是一种简单直接的相噪分析技术,适宜于测量漂移较小但相位噪声相对较高的信号;但是频谱分析法不能分辨出调幅噪声和相位噪声,测试波形不太完美的时钟信号相噪时会存在较大误差;另外由于频谱仪的动态范围和最小分辨带宽的限制,测量精度受限。
4.2 鉴相法
鉴相法采用外差混频方式将被测时钟信号转化至中频,在中频用一个锁相环提取出被测时钟信号的载波信号,再将该信号与被测信号正交鉴相,从而提取被测时钟信号的相位噪声Φ(t) ,处理后得到频域相噪SΦ(f) ,进一步积分可以得到L(f) ,L(f)对应于RMS相噪。鉴相法的优点是动态范围大,相噪电平采用低噪放大器提高灵敏度,并且可以分辨调幅噪声和相位噪声。
另外,鉴相法还可以进一步增加互相关技术来增加灵敏度。互相关技术是将两路鉴相法组合起来,对其输出信号执行互相关操作。待测时钟的噪声通过每路通道仍然是相关的,不受互相关影响;每路通道内部产生的噪声是不相关的,被互相关操作抑制。引入互相关技术后无需特别精密的器件就可以实现更高的测量灵敏度。
5、抖动与相噪分析及转换
5.1 相噪转化为抖动的计算
相位噪声到抖动的转化,可以有如下的公式推导。
频率f1到f2的相噪频谱积分可得到相噪Φ(t)的RMS值的平方(RMSΦ(t))2:
其中,SΦ(t)为相噪频谱,L(f) 为积分后的相噪。由于相噪曲线为不规则曲线,运算量很大,实际测量时该积分运算由仪器完成。
总的信号可以表示为以下函数:
其中C(t)表示总的信号,Φ(t)表示调制其上的相位噪声。将Φ(t)与周期/频率结合起来可以得到TIE抖动的表示为:
另有,TIE抖动的RMS值为:

其中,L(f)是关心频段内相噪的积分。
从下面的测量可以得到10Hz到30MHz的积分相噪是-51.5dBc,以该测量为例计算:
UI=1/999.999992MHz≈1ns
RMS JTIE=3.763mrad*1ns/2π=0.215° *1ns/360°=0.5972ps
示波器仪器本身;· 仪器在测量过程中引入噪声,这里示波器的底噪大于相噪仪,引入的噪声会更大些;
· 相噪仪只是观察到每一个时刻的噪声,示波器可以累积观察一段时间的噪声;
· 相噪测试时以输入信号本身的频率作为基频,忽略了信号的频偏;而示波器测量TIE时会以理想时钟作为参考。
6、小结
抖动测量就像是盲人摸象,每种方法都有其局限性。工程师需要深入了解系统的抖动的要求,以及各种抖动测量技术的原理和优劣,根据需要选择合适的抖动测量评估方法。
上一篇:深入浅出的学习傅里叶变换
下一篇:逻辑分析仪我也DIY
(一)


