- 易迪拓培训,专注于微波、射频、天线设计工程师的培养
如何利用通信系统测试中的高斯噪声
噪声发生器是测量通信系统性能的有力工具。它允许操作者在参考信号上加入一个大小可控的热噪声,从而确定噪声对系统性能(例如比特错误率BER)的影响。热噪声遵循高斯概率密度分布(PDF),易于从理论分析走向实际应用。在多数情况下,噪声发生器的输出与实际的(数学意义上的)高斯噪声很接近,适用于性能分析和测试应用。本文接下来的部分解释了如何利用测试中的高斯噪声,以及非理想的高斯噪声对测试结果有何影响。
系统中信号能量与噪声的比值通常记做Eb/No(或是C/N、C/No、SNR),表示信号强度与噪声强度大小的比率,是衡量通信信道性能的重要参数。利用加性高斯白噪声计算信噪比的方法已经非常成熟,并被广泛地应用于各种主要的通信标准中(例如MIL-188-165a and ATSC A80)。
白噪声在频谱中所有频率点上的强度都是相同的,是系统性能测试中噪声源的理想选择。噪声的概率密度为高斯分布的原因是实际的随机信号都遵循高斯分布,或者说正态分布的。大多数通信信道中的噪声(如放大电路引入的噪声)都是热噪声,往往倾向于高斯分布。而且,中心极限定理证明了如果数量足够多的随机事件同时发生,不管单个事件服从何种分布(均匀分布,高斯分布或其它),其总和的极限值趋于无穷大并为高斯分布。
高斯分布的数学表达式如下所示:
![]() |
上式给出了一个均值为 ,方差为Σ2的变量x的概率分布函数。数学家和统计学家一般称之为正态分布,心理学家称为贝尔曲线,而物理学家和工程师则称为高斯分布。该函数从数学上描述了高斯噪声的大小围绕其均值上下波动的特征(图1)。
![]() |
利用噪声来测量系统性能有多种方法,其中一种是在待测信道中加入噪声并不断提高强度,使得信号质量下降直至无法检出为止。举例来说,可以在电视图像中加入“雪花”作为信号噪声。导致信道信号质量下降的噪声强度大小可以用来评估信号处理技术的能力和效率。
如果需要更加量化的分析,有一种方法是把系统容量分为叠加了噪声的信号和没有噪声的信号两部分。没有噪声的信号更加容易分解(图2),比如用电压V0的信号代表数字比特0,电压V1的信号代表数字比特1。在实际的电子系统中信号上总是存在噪声,这时信号幅度就会围绕V1 或V0上下随机波动,其概率密度服从1式给出的高斯分布。
![]() |
如果上述两个信号相隔很远没有相互交迭的话,把他们区分开不会有什么问题。然而高斯噪声的存在使得信号之间总会有或多或少的交迭(图3),此时该如何区分它们呢?
![]() |
解决办法是在二者之间设定一个门限值(V1--V0)/2,该值小于V1大于V0,如果检测到的信号电压高于该门限则判为1,否则判为0。如果比特0的信号噪声足够大,超出了门限值,会发生什么情况?在判决算法给定的情况下,0会被误判为1,这时就产生了比特误码。
一定数量的差错是无法避免的,因此有必要为比特误码确定测量标准来衡量问题的严重程度。计算以下情况出现的概率是可能的:传送0时由于噪声的存在使得信号电平超过了门限值,或者传送1时噪声与信号相抵使得信号电平降低到门限值以下。根据贝叶斯定理,这个概率可以表示为:
![]() |
上式表明总的错误概率等于0码和1码的错误概率分别乘以它们的出现概率之和。在一个简单的系统中只有1和0两种信号,且1和0出现概率大致相同(1和0的出现可能各占一半),这时2式可以改写为:
![]() |
0码的错误概率由下式给出:
![]() |
其中n表示叠加了噪声的信号电压。1码的错误概率为:
![]() |
由于高斯分布的对称性,高斯噪声信道中根据上两式计算得出的概率数值相等,可统一表示为:
![]() |
上面的例子中系统的比特错误率等于噪声强度超过门限值的概率。高斯分布的统计特性给出了高斯变量x超过给定值a的概率:
![]() |
其中erfc为互补误差函数,erfc(x)= 1-erf(x),erf为误差函数。
误差函数erf广泛应用于各种数据分析的场合,包括解描述半导体材料中杂质分布的微分方程。该方程没有解析解,但可以由麦克劳林级数求出近似解。由于其重要性,很多教科书中都列出了erf(x)的数值表,Microsoft Excel甚至把erfc作为其数据分析工具包Toolpak的一部分。
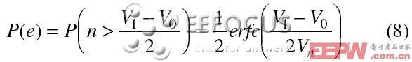
对应上面的例子,门限值为(V1– V0)/2,噪声电压的统计参数为零均值、方差σ2= Vn2,其中Vn2是噪声电压的RMS值。因此7式可以表示为:
![]() |
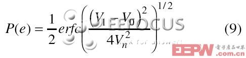
为了得出表示功率之比的Eb/No表达式,可以把8式变形为以电压的平方来表示:
![]() |
上式可以改由功率表示:
![]() |
其中No代表噪声功率密度。由于每比特功率Eb等于两信号功率的平均,上式还可以改写为:
![]() |
至此我们推导出了二进制移相键控(BPSK)信道中误码率的常用公式。同样的推导方法应用于四进制移相键控(QPSK)和正交QPSK(OQPSK)信道可以得出相同的结果,对于其它调制机制只需把11式稍加变形即可。对这些调制方式的详细的推导超出了本文的范围,但是它很好地解释了该公式(以及利用它得出的“瀑布曲线”)是来源于高斯PDF的内在特性。
















