- 易迪拓培训,专注于微波、射频、天线设计工程师的培养
基于LabWindows的电压闪变测量研究
0 引言
电力系统中具有冲击性(快速变动)功率的负荷会引起电网电压的波动和闪变,引起许多电工设备不能正常工作.严重影响电网的电能质量。因此,对电压波动和闪变的准确测量显得越来越重要。
国际电工委员会(IEC)给出了闪变测量和评估的国际统一规范,但IEC并未给出其具体实现方法。本文应用虚拟仪器开发平台LabWindows/CVI开发了基于IEC闪变测量原理的闪变测量模块,经验证测量精度完全满足IEC标准。
1 IEC闪变测量原理
IEC推荐的闪变仪原理框图如图1所示。输入量为电压信号,经过框1至框4的滤波器处理后获得输出信号瞬时闪变视感度S(t),该信号反映了电压波动引起灯光闪烁对人视觉的影响。对S(t)进行在线或者离线统计评定后,便可得出短时闪变值Pst或长时闪变值Plt。

2 IEC闪变仪中滤波器参数的确定
IEC推荐的闪变仪框图中框1的功能是将输入信号进行平方,送入框2中,用0.05 Hz~35 Hz滤波器滤去直流分量和工频及以上的频率分量。滤波器由一个0.05 Hz高通滤波器和35 Hz低通滤波器串联实现。
0.05 Hz高通滤波器的传递函数为:

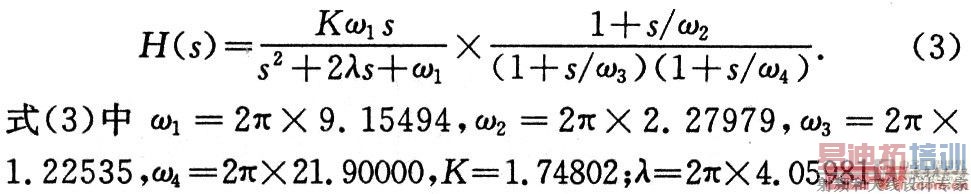
框3中的视感度加权滤波器的传递函数为:
[p]
框4中一阶低通滤波器的功能是模拟人脑神经对视觉的反映和记忆效应,其传递函数为:
![]()
式(4)中τ=300 ms。
在数字系统中实现上述滤波器需要将其数字化,通常有脉冲响应不变法和双线性变换法。本设计中采用双线性变换法,利用MATLAB中的变换函数: [NUMd,DENd]=BILINEAR(NUM,DEN,Fs)便可以实现。例如将35 Hz巴特沃斯低通滤波器由模拟滤波器转换为数字滤波器的MATLAB程序为:

其中n和d分别为模拟滤波器传递函数的分子和分母系数,本设计采用的采样频率为3 200 Hz,运行后得到的Nd和Dd即是数字滤波器的分子分母系数。
3 IEC闪变仪软硬件实现
电压闪变测量模块硬件结构如图2所示,电网电压经过互感器板后将高电压降为-5 V~+5 V之间的低电压信号,然后送入采集卡进行AD转换,转换后的数字量送入工控机进行分析计算,最终得到闪变值。

按照国标规定,计算短时闪变需要不问断测量10分钟,即600秒,由于滤波器的收敛需要一定时间,如图3所示,所以本设计每计算一次短时闪变需进行不问断测量650秒,在计算闪变值时丢弃掉前50秒数据,以保证滤波器此时已经收敛到稳态值。经MATLAB仿真,上述所用滤波器在30秒时就已经进入稳态,为了保证计算的精确,本设计采用了50秒以后的数据。

闪变汁算时用到的滤波器实现时采用了LabWindows/CVI提供的滤波器函数IIRFiltering(),给出数字滤波器系统函数分子和分母多项式系数后,IIRFiltering()函数便可以对输人数据进行IIR滤波。对数据进行处理的功能函数如下所示,此函数完成的功能是对采集的一包数据进行处理,处理后便可得到视感度曲线S(t)。本设计中采样频率为3 200 Hz,一包数据4个周波,所以每包数据中有256个数据。其中LPa、LPb为35 Hz低通滤波器系统函数的分子分母系数,LPx和LPy为滤波器收敛后的初始条件。

得到视感度曲线S(t)后,按照IEC推荐的方法,需要对其进行等周期采样,分级计时,计算累积概率函数CPF,根据CPF最后得到短时间闪变值Pst及长时间闪变值Plt。Pst计算公式为:


按照IEC的规定,连续测量2个小时,得到6个短时间闪变值后便可以计算长时间闪变值Plt。
[p]
4 检验数据
IEC在给出闪变测量模型的同时,也给出了闪变测试仪的校验标准,如表1所示。当输入表中规定值的矩形调幅波时,要求测得 Pst=14-0.05。为了对本设计进行验证,按照IEC给出的校验方法进行了测试,表1中第三列即为在采样频率fs=3 200 Hz的条件下测得的短时闪变值,可以看出其误差均在IEC规定的范围内,符合IEC的标准。

5 结论
本文按照IEC推荐的闪变测量方法,结合虚拟仪器设计思想,在LabWindows/CVI开发平台上开发了电压闪变测量模块,作为电能质量分析系统的一部分,经仿真和实际应用检验,计算精度完全符合IEC的标准。
上一篇:基于虚拟仪器的应变测量原理分析
下一篇:基于PMAC的激光扫描尺寸测量系统


