- 易迪拓培训,专注于微波、射频、天线设计工程师的培养
一种基于MCU控制的光伏电池测试仪设计
0 引言
由于光伏
国内在建立光伏电池数学模型,最大功率点跟踪(MPPT)等方面已经做了很多研究工作。文献利用光伏电池生产厂商提供的4个电气参数(Isc,Voc,IM和VM),提出了一个简化的数学模型,以
1 光伏电池测试策略
1.1 光伏电池特性
光伏电池的输出特性具有非线性。图1所示为在不同的光照条件下,太阳能电池阵列输出的I-V特性和伏瓦特性曲线。可见这种非线性受到外部环境(如日照强度、温度、负载等)以及本身技术指标(如输出阻抗)的影响,使得光伏电池的输出功率发生变化,其实际转换效率也受到限制。

值得注意的是,图1所示的每一条曲线,都是在一个对应恒定的日照情况下获得的,因此,欲通过物理测试的方法,准确获得该条曲线,要么寄希望于有稳定的日照,要么必须在尽可能短的时段内,完成全域测量,显然后者更易于把握。测量精度取决于:全域测量时间的长度,每一点上,二个坐标数据采集的同时性。
1.2 数控电阻器控制策略
传统的I-V法测定光伏电池的输出特性,如果利用接触式可变电阻器有许多的缺点。它只能做到有级调节,要实现精确调节、电阻自动数控调节却很困难。斩波式可变电阻器采用脉宽调制(PWM)技术,对固定电阻进行斩波控制,能够模拟精密数控电阻器。但是它仅适用于电源电压稳定情况下,太阳能电池的输出电压随输出电流不同而发生非线性变化,不宜采用。
本文涉及的外部负载,利用工作在可变电阻区的功率MOSFET管,来模拟可控电阻,通过施加数控的电压信号,实现MOSFET管等效电阻的精密调节。根据功率MOSFET管(I
2 硬件电路设计和实现
2.1 系统结构
针对光伏电池的输出特性和测量的特殊要求,为对光伏电池I-V和P-V特性实时、自动检测,设计了基于STC-12C5A60S2单片机的光伏电池特性测试仪。测试仪原理框图如图2所示,MCU通过D/A转换电路和电压反馈,跟踪调节栅极电压VGS。通过A/D转换电路和电流取样,准确检测光伏电池两端输出的电流和电压值。单片机通过串口与上位机通信,实现数据处理和显示。

2.2 MOSFET管驱动电路
场效应管驱动电路如图3所示。采用型号为IRFP150的功率MOSFET管模拟可变电阻器,因其具有超低导通电阻,栅极电压VGS=10V时,RDS =0.030Ω。并联FET起到扩容的作用,在外加散热片的情况下,可以通过15 A以上的电流。为了减少杂散电感和寄生振荡,使并联MOSFET管均流,采用统一驱动源,并加独立的栅极电阻。

2.3 MCU测控电路和电源补偿
微控器采用高性能STC-12C5AS2单片机。鉴于测量精度的要求和扩展方便,采用高速12位串行接口模/数
为了稳定控制栅极电压,通过电流取样信号反馈和控制电压信号组成差分放大器,由此组成了一个闭环的栅极电压跟踪调节器,如图4所示。

为准确测量光伏电池的短路电流,加入1.5 V补偿电源,采用TI公司低电压大电流电源模块PTH05010制作。若电压测量值为U1,光伏电池两端实际电压为U=U1-1.5,当U1=1.5 V时,可测得光伏电池的短路电流。
2.4 辅助电路
测试仪供电电路有12 V和5 V两种,分别供给单电源运放和其他芯片。为了兼顾供电效率和电源质量,采用降压式DC/DC控制器MAX1745(效率90%以上),结合低压差
3 软件设计
软件采用Keil编译环境下的C语言编程。程序设计流程,通过PC机向MCU串口发送测量控制指令,并接受测量数据。下位机MCU接收到测量指令后,通过不断改变控制电压信号UD。来改变外接负载。每次测量开始,控制电压增加△U,然后采集一个点的电压电流。直到测量到短路电流,测量结束。考虑到光伏
4 试验验证
根据方案设计制作样机进行试验,采用英利产品,型号为110(17)P1470×680的多晶硅光伏电池板。在自然光照情况下,对单块光伏电池进行测试。
厂家提供的Isc,Voc,IM和VM是在标准测试条件下(光强1 000 W/m2,电池温度25℃)测得参数在实际测试中,很难实现,故按照下列方案进行:
(1)根据太阳能电池简化数学模型,
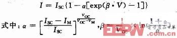
根据固体物理理论推导出来的太阳能非线性I-V特性方程,其简化数学模型是:

用直流电子负载PEL-300(台湾固纬)采点测试当前自然条件下,Isc=4.2 A,Voc=20.5 V,IM=3.6 A和VM=15.3 V。将上述参数带入简化模型,求得理论近似I-V曲线和P-V曲线。
(2)使用本文开发的测试仪,与方案(1)同时测试,以保证相同的日照条件,测得的试验数据和曲线,如图5和表1所示。


二种方案所得的理论和试验曲线吻合度较好,验证了设计的可行性。并且比较两者,考虑到影响光伏电池输出特性的内、外部因素复杂,实验曲线比理论曲线更接近电池板实际工作状况,因为方案(2)测试时间很短,更能确保不变的日照条件。
5 结语
本文基于MCU,设计了可以数控调节、有源、高速响应的可变电阻器模块以及对应的测量电路,开发出了可获取光伏电池I-V和P-V曲线测试仪。物理实验测试表明,所获得的光伏电池特性曲线,形态准确,数据精度高。该测试仪在光伏电池测试,太阳能资源评估,建立光伏电池模型和最大功率点跟踪(MPPT)等方面有广泛的应用。


