- 易迪拓培训,专注于微波、射频、天线设计工程师的培养
种OTP存储器片上时序信号产生电路的设计
文中提出了一种片上时序信号产生电路,用于128 Kbit OTP存储器。该时序产生电路由地址变化检测(address transition detection,ATD)电路和脉冲宽度调整电路组成,在芯片内部由ATD电路产生脉冲波形,再由脉冲宽度调整电路产生一个宽度适中的时序信号,该信号即可用于存储器内部时序的控制信号源。例如,将该信号作为控制信号的信号源,可以通过简单的延时、与、或等操作派生出相应的控制信号,这些信号就可用于控制存储器内部各个功能模块,如灵敏放大器,锁存器等。并且该信号源的有效宽度可以很方便的调整,较传统的调宽方式好。
1 电路结构及工作原理
1.1 ATD电路
ATD电路实际上是一种边沿检测电路。ATD电路探测一个信号或者一组信号(比如地址总线)的状态,只要被探测的信号中有一根信号发生的翻转变化,那么ATD电路就会输出一个脉冲。其输出脉冲的宽度由ATD电路的参数决定。由于我们要检测的是地址线的变化,地址线的变化包括从低到高翻转及从高到低翻转,因此需要检测地址线的上升沿和下降沿。
文中所设计的ATD电路能够检测地址线上的两种变化,为双边沿检测电路,电路结构如图1所示。其中ADDRESS端口为地址信号输入,ATD OUT端口为检测电路输出。

若ADDRESS端的地址输入无变化,ATD_OUT输出恒为高电平;
若ADDRESS端的地址输入有变化,无论从0变为1(上升沿),还是从1变为0 (下降沿),由于延时单元的存在,都会使得到达图中的与或非门的输入端A、D的信号比到达输入端B、C的信号滞后延时单元的传播延时时间,从而在经过与或非门之后产生一个低电平脉冲,脉冲宽度由延时单元的传播延时决定。ATD电路的仿真结果如图4所示。从图4中可以看出,在输入ADDRESS端信号的每一个变化的边沿之后,都会产生一个低电平脉冲信号(图4中的ATD_OUT信号)。
1.2 脉冲宽度调整电路
由ATD电路产生的脉冲信号,宽度只有2.5ns,并不能直接用于控制内部电路,因为内部的时序控制信号一般要求特定的有效电平宽度。必须先经过宽度的调整,产生宽度符合要求的信号。
传统的调整宽度的电路一般采用延时来实现,如图2所示。E、F分别为输入波形及经过延时单元以后的波形,OUT为调宽以后的波形,OUT的高电平宽度最大不超过输入信号IN的宽度的两倍,因为E和F必须有交叠的部分(如图中圈起来的部分),否则达不到调宽的目的。这种方式不灵活,假如正好需要两倍输入信号IN的宽度的信号,则不好实现。

文中设计的脉冲宽度调整电路如图3所示。其中ATD_OUT为ATD电路的低电平脉冲输出信号,EN为使能信号,WOUT为宽度调整以后的脉冲输出信号。 [p]
当EN为低电平时,屏蔽ATD_OUT信号,脉冲宽度调整电路不工作;
当EN为高电平,但是ATD_OUT没有低电平脉冲输入(即地址信号没有变化),脉冲宽度调整电路不工作;
当EN为高电平,且ATD_OUT有低电平脉冲输入(即地址信号有变化),脉冲宽度调整电路正常工作。下面介绍其工作原理,N0~N8代表NMOS管、P0~P6代表PMOS管。

第一,EN为高电平且ATD_OUT端口输入低电平脉冲,则NET0上为低电平脉冲信号,低电平到来时先将P0、P1开启,将NET1、NET2拉到VDD,使N2、N4开启,从而将WOUT和NET3拉到GND,迫使N6管关断;同时,NET0上的低电平脉冲经过反相器INV0后使NET4为一个高电平脉冲,迫使N8开启一个高电平脉冲宽度的时间(此处为2.5ns),将NET5拉到GND;因为P6是常开的,只要N6管关断,NET5的电位就会逐渐被抬升,所以增加N8来放电NET5。
[p]
第二,低电平脉冲结束以后ATD_OUT变为高电平,此时NET0为高电平,P0、P1关断.NET4为低电平,N8关断,MOS管P6对MOS电容N7及连线NET5上的寄生电容充电,NET5的电位由GND逐渐上升,当NET5上的电位上升到反相器INV1的开关阈值VM以上(设这个过程所需的时间为T,T的大小决定了WOUT的脉冲宽度)时,反相器INV1的输出发生从高到低的翻转,反相器INV2的输出发生低到高的翻转,NET6的电位瞬间被抬高为VDD,迫使N0、N1导通,从而将NET1、NET2从之前的VDD下拉到GND,迫使P3、P5导通,将NET3、WOUT从之前的GND拉回VDD,使N6导通,将NET5清零,准备下一个低电平脉冲的到来;至此,完成了一个完整的调整低电平脉冲宽度的操作。
输出WOUT的脉冲宽度主要由MOS管P6对连线NET5上的寄生电容及MOS电容充电到反相器INV1的开关阈值VM以上的电位需要的时间所决定。
2 充电时间T
下面推导NET5上的电位从0上升到VM的充电时间T的表达式:
假设反相器INV1的PMOS管和NMOS管的宽长比分别为(W/L)p和(W/L)n,反相器的开关阈值定义为Vin=Vout的点,该点处PMOS、NMOS管均满足VGS=VDS,都处于饱和区,由饱和区电流方程,使PMOS管的电流等于NMOS管的电流,忽略沟道长度调制效应等因素,可以得到
只要知道了PMOS管和NMOS管的宽长比就可以计算出r,进而计算出VM;反过来,如果预先确定了我们需要的VM的值,可以由(1)、(2)两式算出反相器PMOS管和NMOS管的尺寸。例如,我们需要一个对称的反相器INV1,则希望VM的值正好是VDD/2,由(1)式可得r的值约为1。
假设N7管的宽长比为Wn7/Ln7,栅氧单位面积的电容为Cox=εox/tox,N7的栅源、栅漏覆盖电容之和为2CoxxdWn7,其中xd是由工艺决定的参数,为忽略N7的栅电压VGS(即NET5上的电压)对其栅电容的影响,得到N7的栅电容Cg7为
![]()
假设反相器INV1的栅电容为CgINV1,CgINV1的值可以由上面的方法带入反相器的尺寸计算得到。
假设N6管的漏极结电容为CjN6,CjN6的值可以由N6管版图实现时的漏结面积与工艺的单位面积结电容参数计算得到。
连线NET5上的总的寄生电容Ctotal为
![]()
假设P6的宽长比为Wp6/Lp6,阈值电压为VT,NET5上的电位由于P6的充电从0开始逐渐往上抬升。
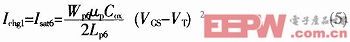
当NET5的电位VNET5满足VNET5≤|VT|时,P6工作在饱和区,充电电流Ichg1即是P6的饱和区电流
![]()
当NET5的电位VNET5满足|VT|VNET5≤VM时,P6工作在线性区,充电电流Ichg2即是P6的线性区电流

通过调节N7、P6的尺寸可以分别调整电容或者充电电流的大小,达到调整时间T的目的,而时间T的大小直接表现在电路的输出WOUT的脉冲宽度上;即通过调整N7、P6可以达到控制输出WOUT的脉冲宽度的作用。不管需要什么样脉宽的WOUT,都能通过控制N7、P6来实现。 [p]
在TSMC 0.18μm工艺下,整体电路的仿真结果如图4所示。当ATD_OUT的低电平到来时(图2中垂直竖线标记处),就像前面2.2节分析的一样,WOUT变为低电平;当ATD_OUT的低电平结束即上升沿到来时,NET5上的寄生电容被充电,图4中可以看出NET5的电位逐渐抬升;当上升到反相器INV1的开关阈值VM时,从图4中可以看出NET6发生从低到高的翻转;从图中可以看到NET6发生从低到高的翻转使WOUT拉高;同时NET3也被拉高,迫使N6开启将NET5清零,从图4中可以看到NET5在被充电到VM后瞬间被拉低,NET6也瞬间变为0。从图4的仿真结果可以很清楚的看出,WOUT的宽度主要由NET5充电时间T决定(还加上一个ATD_OUT自身的宽度)。控制T就可以控制WOUT的宽度。

3 结束语
文中设计的电路的主要功能是产生一个时序信号源。类似于自定时方法。例如,将该信号作为控制信号的信号源,可以通过简单的延时、与、或等操作派生出相应的控制信号,这些信号就可用于控制存储器内部各功能模块如灵敏放大器以及锁存器等。该电路的特点是时序信号源的宽度可控,通过调整电容或者充电电流可以得到不同的输出脉冲的宽度,这可以结合存储器中所需要的控制信号的宽度来决定。


