- 易迪拓培训,专注于微波、射频、天线设计工程师的培养
基于LabVIEW的天线伺服集中监控系统设计
0 引言
天线伺服系统在确保地面站天线精确指向中继卫星的同时,还要求具备高平稳、高可靠和长寿命等特殊性能,是卫星地面站中不可或缺的较为复杂的电子设备之一。随着电力电子、控制理论、计算机等技术的快速发展以及电机制造工艺水平的不断提高,伺服系统由液压发展到电动。随着卫星地面站建设规模的扩大,很多地面站保有的大型天线数量己经从一套增加到多套。对这些地面站来说,以中心机房的位置为参照物,天线及其伺服系统的分布通常呈现星形拓扑结构。在地面站设备监控系统成一体化发展的趋势下,对各天线伺服系统实施远程集中监测监控势在必行。通常情况下,不同型号天线伺服系统的通信协议不能互相兼容,多部套天线伺服系统并行监测监控软件设计具有一定的复杂性。多型号、多部套天线伺服系统集中监测监控问题逐渐成为地面站电子设备一体化集中监控系统设计与实现成为必要。
1 天线伺服基本知识
早在1934年,“伺服机构”一词己经出现。随着自动控制理论的不断发展,伺服系统这个自动控制分支的理论与实践也逐渐成熟,并于20世纪50年代开始得到广泛应用。[1] 伺服技术在卫星通信地球站分系统中的应用,形成了天线伺服技术。早期的直流伺服系统大都由晶闸管直流调速驱动柜和工控机为核心的ACU组成。通用伺服系统还存在交流化的趋势,主要原因在于交流伺服电机克服了直流伺服电机存在的电刷、换向器等机械部件所带来的各种缺点,特别是交流伺服电机的过负荷特性和低惯性更体现交流伺服系统的优越性。
1.1 天线伺服的功能
天线伺服系统的主要功能及性能指标如下:
(1)主要功能指标
1.方位、俯仰轴电机驱动控制及制动控制;
2.方位、俯仰轴位置检测及多种模式的天线控制;
3.可存储多个卫星位置;
4.软限位、开关预限位和终限位三级限位保护;
5.俯仰收藏锁定控制;
6.故障显示、告警及记录。
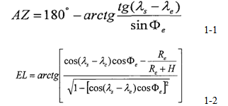
地球站天线观察卫星的参数是由地球站天线的位置和同步轨道卫星的位置共同确定的。静止卫星的位置用其星下点的经度表示,地球站天线的位置用所在地的地理经度和地理纬度表示。根据地球站天线所在地的经度和纬度以及卫星经度就可计算出天线对准卫星的方位角(AZ)、俯仰角(EL),并用AZ和EL来调整天线,使其对准相应的卫星。设地球站的纬度为。。(北纬为正.南纬为负),经度为凡(东经为正,西经为负),卫星经度为凡(东经为正,西经为负),方位以正北为零,顺时针方向为正,利用静止卫星和地球站的几何关系,由几何学和球面三角学很容易推导出地球站天线对准卫星的方位角Az、俯仰角EL的计算公式[2]。
当地球站天线位于北半球时,其对准卫星的方位角、俯仰角的计算公式分1-1、1-2:
Rs,代表地球半径(6378km),H代表同步卫星距地球表面的高度(35786km)。
当地球站天线位于南半球时,天线对准卫星的方位角AZ,,其计算公式为:![]()
AZ为地球站天线位于北半球时,天线对准卫星的方位角。
1.2 天线伺服的组成与原理
天线伺服系统,是指完成天线驱动、位置检测及各种控制功能的设备。天线伺服系统、天线上的驱动电机、位置传感与限位装置、跟踪信号回路设备等共同组成天线伺服跟踪系统。一般可分为以下五个部分:电源、系统控制、方位驱动、俯仰驱动、人机接口等。天线伺服系统一般包含三个控制回路:信号控制回路、位置控制回路和速度控制回路。天线伺服系统框图,如图1
图1 天线伺服控制系统框图 [p]
当天线工作在跟踪模式时,所有控制回路都正常工作,最终被控量是天线的接收信号。当天线工作在各种位置控制模式时,信号控制回路开环,位置控制回路和速度控制回路工作,最终被控量是方位、俯仰位置。
2天线伺服集中监控的工作原理
天线伺服集中监控系统一般由多部套(最多8套)天线伺服系统,天线伺服集中监控设备和地面站监控上位机等组成。天线伺服集中监控系统组成图,如图2所示。天线伺服集中监控设备兼容双电机消隙、交流调速、交直流调速、简易天线控制器、馈源极化控制器等多种型号伺服设备的通信协议,通过RS485串口实时监测监控最多八部套天线伺服系统。[3]
图2 天线伺服集中监控系统组成图
天线伺服集中监控设备的功能有两大部分:远程实时监测监控多型号、多部套天线伺服系统,响应地面站监控上位机的监测监控操作。地面站监控上位机通过TCP/IP协议,借助第三方软件对该设备实施远程桌面控制,从而实现通过该设备监测监控各天线伺服系统的功能。
3 天线伺服集中监控硬件组成
天线伺服集中监控设备主要由天线伺服集中监控软件、工控机、RS485通信卡等部分构成。其中工控机与RS485通信卡均为外购件。在具备光纤通信网络的地面站或者几个地面站之间,可选用RS485/光转换模块来大大延伸串行通信的距离,同时解决了电磁干扰、地环干扰以及雷击和浪涌的难题,可极大的提高数据通信的可靠性、安全性和保密性。如图3所示
图3 RS485/光转换模块后的天线伺服集中监控部署图
3.1 LabVIEW工研语言的特点
LabVIEW语言的主要特点如下[4]:
(l)提供丰富的数据采集、分析及存储的库函数;
(2)提供传统的程序调试手段,如设置断点单步运行,同时提供独具特色的执行工具,使程序动画式运行,有利于设计开发者观察程序运行的细节,从而提高程序的调试和开发效率;
(3)32位编译器编译生成32位的编译程序,保证用户数据采集、测试测量方案的高速执行;
(4)集成了PCI、GPIB、PXI、VXI、 RS232/485、USB等各种仪器通信总线标准的接口函数,便于开发者使用不同总线标准接口设备与仪器。
(5)提供大量与外部代码或软件进行链接的机制,诸如DLL(动态链接库)、DDE(共享库)、AetiveX等;
(6)具有强大的Internet功能,支持常用的网络协议,方便网络。远程测控仪器的开发。
(7)使用 ApplicationBuilder软件包生成脱离源代码环境的可执行应用程序以及独立的安装程序。
3.2虚拟仪器程序的开发步骤 [p]
LabVIEW程序称为虚拟仪器程序,简称VI。一个最基本的VI由3个部分组成:前面板、框图程序和图标/连接端口。[3]
一个虚拟仪器程序的开发步骤如下:
(l)在前面板设计窗口
(2)在流程图编辑窗口,放置节点、框图。
(3)数据流编程
(4)运行检验
(5)程序调试
(6)数据观察
(7)命名存盘
4 具体功能实现
考虑到天线伺服集中监控软件的配置项分布,天线伺服集中监控软件采用了三层式软件编程结构19进行开发,如图4所示为软件层次结构图。
如图4 软件层次结构图
三层式结构由上而下依次为:MainLeve1(顶层)、TestLeve1(功能层)和DriverLevel(驱动层)。驱动层包含了程序与所有硬件或其它应用软件的沟通、控制等较底层的功能。在功能层中,则是如何连接各个驱动层的函数功能,以实现一套连续、有意义的流程,完成一定的功能。三层式软件结的最大好处是程序代码的重用程度达到最大化。[5]
4.1轮询算法
轮询算法体现的是对设备管控的一种思路。本软件分别开发了并发轮询算法,来满足并行监测伺服系统的软件需求;开发了串行轮询算法,来满足操控选定的伺服系统的软件需求。并行监测利用的是多串口通信卡的各串口之间没有数据、资源的必然联系,具备任务与数据的可分解性,可以采用任务并行和数据并行的编程模式。如图5所示为形成并发轮询队列的源代码和串行轮询队列的源代码。
图5 并发查询队列
天线伺服集中监控软件根据各种告警信息,对各种远程控制功能的开放或封锁进行了实时准确地判断,以避免出现用户通过天线伺服集中监控设备的人机界面进行了控制操作而伺服系统没有执行的控制失灵状况。用户界面的主要要求为:采用并列窗口界面显示8套天线伺服系统的状态,采用弹出式窗口显示单套天线伺服系统的状态。具体可分为以下几大部分:(1) 主界面为八套天线伺服系统的状态显示界面;通过此界面可进行操控天线的对象选择,以及结束程序;
(2) 天线位置控制界面,实现了预置位置、计算卫星、预置卫星等功能;
5 研究成果验证
天线伺服集中监控设备的样机,该设备适用场合有:天线伺服设备离开中央机房数百米、数公里甚至更远距离,或者天线伺服设备数量众多,或者上述两种情况都存在的卫星地面站。目前已有六部该型号天线伺服集中监控设备投入各卫星地面站实际使用。天线伺服集中监控设备的特点有:(1)功能完备:该设备实现八部套天线伺服设备的远程集中监测控制,全面实时监测各伺服系统的运行信息,提供预置位置、手控速度、存储并预置卫星、自动跟踪、自动搜索、极化控制等多种控制模式,此外还有告警日志、操作日志等辅助功能。
(2)兼容性好:该设备兼容双电机消隙、交直流调速、交流调速、简易天线控制器、馈源极化控制器等当前主流型号的天线伺服系统的通信协议,实现了多型号伺服系统的集中监测控制。
(3)根据用户反馈信息来看,人机界面友好。
6小结
本文通过对天线伺服的集中监测监控技术的研究,以及软件工程化方法与过程的实践,圆满解决了多型号天线伺服设备通信协议互不兼容、多部套天线伺服设备并行集中监测监控软件设计难题,为今后地面站设备系统监控工程积累了知识和经验。


