- 易迪拓培训,专注于微波、射频、天线设计工程师的培养
超声流量传感器与超声电子水表
录入:edatop.com 点击:
随着新的国家标准贯彻实施,电子水表逐步进入人们视线。代表电子水表主要技术的超声水表及其超声流量传感技术由于在性能上有着一系列的特色和优势,其影响日益扩大,使用量也日见增多。
超声流量传感技术具有其它流量传感技术所不具备的诸多特点,主要有:可以较好地解决大管径、大流量以及各类明渠、暗渠的流量测量难题;对被测流体介质几乎无要求,不仅可以测量液体,也可测量气体;由于采用非接触方式,所以不破坏被测流体流场,也无压力损失;流量测量的准确度几乎不受被测流体温度、压力、密度、粘度等物性参数影响;仪表价格不随测量口径的增大而大幅上升;可在测量管外侧测量管内流体流速等。
但单声道超声流量传感器为了保证流量测量准确度,其上游侧应有足够长的直管段。多声道超声流量传感器测量准确度较高,对直管段要求可以大大降低;超声流量测量对被测水质有一定要求。用时差法测量时,当水中有较多气泡、悬浮物或换能器表面附有污物,会阻碍超声波的正常传播,致使测量无法进行;随着测量管径减小,采用时差测量法原理的超声流量传感器会遇到测量误差增大的困惑。此时应设法增加正、逆向测量的时间差,提高计时分辨力,保证小流量测量的准确性和重复性。
时差法超声流量传感器的原理与特性
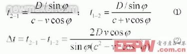
超声流量传感器是超声电子水表的关键核心部件,它主要由测量管、超声换能器、收发电路、计时脉冲发生器和精密计时控制器等组成。当前,超声流量测量方法大多采用时差法或速度差法测量管道内水流体的流速、流量等参数,进而积算成用水量的实际体积值。超声时差测量法的工作原理见图3,正、逆向传播时间、时间差和线平均流速的计算公式可分别参见式(1)~(3)。
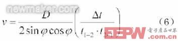
代入式(5)得,
式(6)表明,管道内流速线平均值v与时间差Δt、正向传播时间t1-2、逆向传播时间t2-1所组成的数学表达式成线性关系。经转换后有式(7):
与流速面平均值v之间在不同的流量段呈现出了明显的非线性,见图5。这就需要在不同的流速分布区域对超声流量传感器采用不同的特性校正方法。
超声电子水表是在超声流量传感器基础上增加信号处理电路及数据通信功能所组成。其工作原理见图6。
● 流量测量范围:Q3=100m3/h;Q1=0.2m3/h;Q3 /Q1=250~250;
● 最大允许误差:低区≤±3.0%;高区≤±1.0%;
● 最大工作压力:1.6 MPa;
● 防护等级:IP68;
● 被测介质温度范围:0.1℃~50℃;
● 电池使用寿命:≥10年;
● 数据通信功能:无线短距离通信(点对点)/GPRS无线公网通信/M-BUS等。
超声电子水表的关键技术与发展趋势
● 由于单声道超声水表只有一个声道,因此对管道内流速分布很敏感,需要有较长的前后直管段以保证管内流速分布处于充分发展的稳定对称流状态,使线流速和面流速之间的校正点不因流速分布畸变而发生改变。双声道乃至多声道超声水表因有多个声道,可以在流速分布的不同位置进行校正,基本解决了水表前后由于安装阻流器件(如弯头、三通、阀门等)而导致管内流速分布畸变所造成的校正误差,因此可以使用较短的前后直管段,同时也为高准确度电子水表的实现提供了很好的技术手段。
● 高性能超声换能器件是保证超声水表测量准确度和长期工作稳定性的重要保证。新型机电换能材料研制、换能材料特性的稳定性处理、换能器的设计与装配技术,以及换能器件的测量与筛选技术等都是保证高性能超声换能器的关键技术。
● 采用更高时间分辨力的计时脉冲技术和计时控制策略,提高时差法超声水表在低流速时的计时准确度,使超声水表的计量特性能向更宽的流量测量范围拓展,以满足水计量应用的特殊要求。
● 超声水表通常使用电池供电,为保证检定周期内不需更换电池,水表的微功耗设计就显得尤为重要。除了采用极低功耗的电子电路和嵌入式微系统外,软件算法的改进对降低整机功耗也非常重要。新型高能电池的研发为超声等各类电子水表的大面积推广应用起到了关键的作用。
● 作为城市管网的一个测量节点,超声等电子水表作为一种新型流量传感器在管网测控应用乃至物联网应用中将起到十分重要的作用,因此超声水表的通信接口技术是一项网络接入的重要技术。目前电子水表的通信方式主要有短距的有线通信、无线通信和长距的无线通信等几种,网络技术主要有自组局域网络和利用公用网络平台等。
● 超声流量传感器测量管段流体动力学性能的优化设计、换能器位置和声道的合理设置、测量管段金属材料的选择,以及密封与防护技术的应用等也将决定着超声电子水表的计量性能、使用寿命和测量的可靠性。
超声流量传感器和超声电子水表的出现必将为我国水资源的管理和用水量的贸易结算等起到非常重要的作用。随着物联网技术的逐步推进与应用,具有数据采集与测量、数据传输与通信、网络阀门控制等功能于一体的新型电子水表一定会有非常广阔的应用前景。
超声流量传感技术具有其它流量传感技术所不具备的诸多特点,主要有:可以较好地解决大管径、大流量以及各类明渠、暗渠的流量测量难题;对被测流体介质几乎无要求,不仅可以测量液体,也可测量气体;由于采用非接触方式,所以不破坏被测流体流场,也无压力损失;流量测量的准确度几乎不受被测流体温度、压力、密度、粘度等物性参数影响;仪表价格不随测量口径的增大而大幅上升;可在测量管外侧测量管内流体流速等。
但单声道超声流量传感器为了保证流量测量准确度,其上游侧应有足够长的直管段。多声道超声流量传感器测量准确度较高,对直管段要求可以大大降低;超声流量测量对被测水质有一定要求。用时差法测量时,当水中有较多气泡、悬浮物或换能器表面附有污物,会阻碍超声波的正常传播,致使测量无法进行;随着测量管径减小,采用时差测量法原理的超声流量传感器会遇到测量误差增大的困惑。此时应设法增加正、逆向测量的时间差,提高计时分辨力,保证小流量测量的准确性和重复性。

时差法超声流量传感器的原理与特性
超声流量传感器是超声电子水表的关键核心部件,它主要由测量管、超声换能器、收发电路、计时脉冲发生器和精密计时控制器等组成。当前,超声流量测量方法大多采用时差法或速度差法测量管道内水流体的流速、流量等参数,进而积算成用水量的实际体积值。超声时差测量法的工作原理见图3,正、逆向传播时间、时间差和线平均流速的计算公式可分别参见式(1)~(3)。




图3、超声时差测量法工作原理图


代入式(5)得, 
式(6)表明,管道内流速线平均值v与时间差Δt、正向传播时间t1-2、逆向传播时间t2-1所组成的数学表达式成线性关系。经转换后有式(7):


与流速面平均值v之间在不同的流量段呈现出了明显的非线性,见图5。这就需要在不同的流速分布区域对超声流量传感器采用不同的特性校正方法。
图5、超声流量传感器在不同流速区间线与面平均速度之间的特性
超声电子水表是在超声流量传感器基础上增加信号处理电路及数据通信功能所组成。其工作原理见图6。
图6、超声电子水表工作原理框图
● 流量测量范围:Q3=100m3/h;Q1=0.2m3/h;Q3 /Q1=250~250;
● 最大允许误差:低区≤±3.0%;高区≤±1.0%;
● 最大工作压力:1.6 MPa;
● 防护等级:IP68;
● 被测介质温度范围:0.1℃~50℃;
● 电池使用寿命:≥10年;
● 数据通信功能:无线短距离通信(点对点)/GPRS无线公网通信/M-BUS等。
超声电子水表的关键技术与发展趋势
● 由于单声道超声水表只有一个声道,因此对管道内流速分布很敏感,需要有较长的前后直管段以保证管内流速分布处于充分发展的稳定对称流状态,使线流速和面流速之间的校正点不因流速分布畸变而发生改变。双声道乃至多声道超声水表因有多个声道,可以在流速分布的不同位置进行校正,基本解决了水表前后由于安装阻流器件(如弯头、三通、阀门等)而导致管内流速分布畸变所造成的校正误差,因此可以使用较短的前后直管段,同时也为高准确度电子水表的实现提供了很好的技术手段。
● 高性能超声换能器件是保证超声水表测量准确度和长期工作稳定性的重要保证。新型机电换能材料研制、换能材料特性的稳定性处理、换能器的设计与装配技术,以及换能器件的测量与筛选技术等都是保证高性能超声换能器的关键技术。
● 采用更高时间分辨力的计时脉冲技术和计时控制策略,提高时差法超声水表在低流速时的计时准确度,使超声水表的计量特性能向更宽的流量测量范围拓展,以满足水计量应用的特殊要求。
● 超声水表通常使用电池供电,为保证检定周期内不需更换电池,水表的微功耗设计就显得尤为重要。除了采用极低功耗的电子电路和嵌入式微系统外,软件算法的改进对降低整机功耗也非常重要。新型高能电池的研发为超声等各类电子水表的大面积推广应用起到了关键的作用。
● 作为城市管网的一个测量节点,超声等电子水表作为一种新型流量传感器在管网测控应用乃至物联网应用中将起到十分重要的作用,因此超声水表的通信接口技术是一项网络接入的重要技术。目前电子水表的通信方式主要有短距的有线通信、无线通信和长距的无线通信等几种,网络技术主要有自组局域网络和利用公用网络平台等。
● 超声流量传感器测量管段流体动力学性能的优化设计、换能器位置和声道的合理设置、测量管段金属材料的选择,以及密封与防护技术的应用等也将决定着超声电子水表的计量性能、使用寿命和测量的可靠性。
超声流量传感器和超声电子水表的出现必将为我国水资源的管理和用水量的贸易结算等起到非常重要的作用。随着物联网技术的逐步推进与应用,具有数据采集与测量、数据传输与通信、网络阀门控制等功能于一体的新型电子水表一定会有非常广阔的应用前景。


