- 易迪拓培训,专注于微波、射频、天线设计工程师的培养
节流式差压流量计的使用和安装
录入:edatop.com 点击:
差压式流量计三阀组的作用是什么?
节流装置与差压变送器之间采用正负压导管和阀门相连接,如图13所示。在差压引出口正负压管线上各有一个阀门,称为一次阀,可以使仪表开启和停止。另外在靠近仪表的正压导管上安装正压阀、负压导管上安装负压阀、在正负压阀门下游端安装一个称为平衡阀的连通阀,三个阀连接在一起组成三阀组。
52 差压式流量计启动时检查哪些内容?
如上题图13所示,需要检查的内容有:
(1)检查所有阀门、导压管、接头等是否完好,连接是否牢固;
(2)检查三阀组和排污阀是否关闭,平衡阀是否打开;
(3)慢慢打开一次阀(不要开得太大),待有液体流入后,检查导压管、接头、焊口、阀门及盘根是否有渗漏,无渗漏时再正常启动变送器;
(4)分别打开排污阀,排污后关闭;
(5)拧开变送器测量室的丝堵,排掉无用的气体;
(6)当导压管内充满被测介质(若测量蒸汽,待导压管充满凝结液)后,方可启动差压变送器。
53 仪表三阀组如何操作?操作时需要注意什么问题?
(1)启动顺序:打开正压阀、关闭平衡阀、打开负压阀;停运顺序与启动顺序相反,即:关闭负压阀、打开平衡阀、关闭正压阀。
(2)操作时需要注意:导压管中的介质不能流失、差压测量室不能单向受压、在测量高温介质时,操作三阀组动作要缓慢,避免损坏测量膜盒。
54 充灌隔离液的差压流量计,在启动和停运时应注意哪些问题?
对于充灌隔离液的差压流量计,启动前(在打开孔板取压阀之前),必须先将平衡阀关闭,以防止隔离液冲走;停运时,必须首先关闭孔板取压阀和三阀组的正负压阀,再打开平衡阀,使仪表处于平衡状态。
在管道中有流体流动时,在节流装置两侧就会产生差压。对充灌隔离液的差压流量计,若取压阀和平衡阀同时打开,必然会使正压导管的液体通过平衡阀流入负压导管造成隔离液的流失,影响了仪表的正常使用,所以充灌隔离液的仪表需要强调各个阀门的开关状态。
55 什么是差压式流量计的零点漂移?对零点漂移怎样进行调整?
当差压变送器测量室内的正负压平衡(流量计为零输入)时,其输出值不在起始点的现象称为差压式流量计的零点漂移。此时需要对仪表进行零点检查,其方法是首先关闭二次阀的正压阀、其次打开平衡阀、最后关闭负压阀,此时仪表处于正负压平衡,可将仪表的输出值调为起始值,即电动差压变送器为4mA、气动差压变送器为20kPa。
56 充灌隔离液的差压流量计为什么需要定期的补充隔离液或连续打冲洗液?
充灌隔离液的差压流量计使用一段时间后,导压管内的隔离液常常被测量介质所置换,这是因为工艺管道中,由于出口压头的波动以及管线中的阻力件,使得介质在管线中产生旋涡,使导压管的隔离液也受到这些旋涡波动而被置换。
在大多数节流装置中两根导压管内产生的旋涡数量是不同的,正压管取压在节流装置前管内的旋涡比较少,这是因为节流装置前的压力比较平稳;而在节流装置后,由于流体受到阻尼件(即节流装置)将产生大量的旋涡,因此在节流装置前后的导压管中的压力波动是不同的,一般情况下,正压管内要比负压管内产生的旋涡少得多。这样负压导管内的隔离液要比正压导管置换得多,置换后由被测介质补充,由于隔离液与被测介质的密度不同,形成两根导压管内的静压不同,自然会造成流量计的测量误差,所以充灌隔离液的差压流量计使用一段时间后,一定要定期的补充隔离液或连续打冲洗液。
57 当差压流量计测压导管有渗漏、堵塞或平衡阀内漏时,仪表指示值如何变化?
(1)若正压导管渗漏,仪表指示值偏低;
(2)若负压导管渗漏,仪表指示值偏高;
(3)若平衡阀有内漏,仪表指示值偏低;
(4)若正压导管堵、负压导管通时:一般在刚开始堵时,指示值无太大的变化,用三阀组的平衡阀平衡后,指示值在零点附近变化;
(5)若负压导管堵、正压导管通时:在刚开始堵时,指示值划直线。用三阀组的平衡阀平衡后,指示值在零点附近变化。 [p]
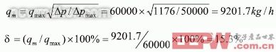
58 用实例说明,充灌隔离液的差压流量计长期不补充隔离液,所产生的误差有多大?
例如,一台灌隔离液的差压流量计,在一个月的运行中负压管的隔离液20%被测量介质置换,正压管的隔离液被置换5%。设孔板取压点到差压变送器正负压室的垂直距离为2m,测量介质密度ρ介=0.88g/cm3,隔离液为甘油水溶液ρ甘=1.28g/cm3,流量计量程:ΔPmax=50000Pa、对应的最大流量ΔPmax=60000kg/h,试算导压管中隔离液被测量介质置换引起的测量误差是多少呢?
正负导压管被测量介质置换产生的差压为:
判断变送器现场运行是否正常主要从是否存在零漂和导压管是否有堵塞或有液体凝结(特别在冬季)。
(1)零漂检查:关闭正压阀、打开平衡阀、关闭负压阀,此时输出电流值为4mA,否则调整零点螺钉,使输出电流值为4mA。调好零点后,重新启动仪表。
(2)导管液体堵塞或凝固的检查:此问题可以用较长时间观察仪表输出值的变化来判断。仪表在正常工作时,管道中流体通过节流件后,其下游会产生大量高频率振幅的旋涡。表现在负压值高频、带有不同幅度的压力波动,反映在变送器的输出也是在某一点上下波动。如果变送器输出显示值较长时间不变化(记录仪划一条直线),基本可以确定导压管内液体堵塞或凝固。为进一步确定,可以将平衡阀迅速打开并马上关闭,如果变送器输出值下降又恢复,即可以肯定不是变送器的电路问题,并进一步判断是导压管液体堵或凝的问题了。
60 开车不久,试分析充灌隔离液的差压流量计输出值偏低的原因?
这是在生产过程中经常出现的问题。一台灌隔离液的差压流量计,孔板安装在水平管道上,变送器安装在孔板下方。开车不久发现变送器输出值偏低,经检查变送器和工艺方面不存在问题,试分析原因和解决办法。
可以从下面4个方面分析:
(1)孔板方向装反,流体通过孔板孔径处,收缩直径变粗,下游静压偏高,孔板前后差压变小,造成流量输出值偏低,需要重新对孔板检查并正确安装。
(2)正压导管隔离液有气泡,使导压管压力传递失真并变小,流量输出值变小。需要对正压导管的隔离液排气(通过敲打导压管放空、排污),实在不行,应重新充灌隔离液。
(3)变送器正压室气体未排净,测量膜盒不能全部浸没在隔离液中,膜盒感受压力偏小,造成变送器输出值偏低。需要打开正压室排气孔,见到有隔离液排出,再拧紧。
(4)三阀组的平衡阀未关严或虽拧紧但有内漏,造成差压变小,变送器输出偏低。需要关严或更换平衡阀。
61 举例说明,孔板差压流量变送器在工艺装置减量生产条件下,量程应如何改变?
一台孔板差压流量变送器,设计差压为ΔP1max=0~100kPa,对应流量为q1max=0~100000kg/h。减量后发现正常流量时输出电流只有I1=5.6mA,如果希望正常流量时变送器的输出值是I2=12mA,试问如何改变变送器的量程?调整后对应的最大流量是多少?
(1)变送器输出5.6mA时对应的差压:
若希望正常流量时变送器输出为I2=12mA,即要求对应的差压值ΔP2=10kPa,此时将仪表的量程修改为:
根据
及修改前后的密度不变
可知
62 举例说明,孔板差压流量变送器在工艺装置增量生产条件下,量程应如何改变?
一台差压流量计,设计差压ΔP1=20kPa,最大流量q1mav=8000kg/h。增量后发现变送器的输出值经常在7800kg/h以上位置运行,有时还超程。如果将最大流量改为q2mav=10000kg/h,将进行下列计算。
根据
及修改前后的密度不变
得到
修改后差压值调整为:
例如,一台差压流量计设计差压范围ΔP1max是0~40kPa,流量范围qm1max是0~20t/h。那么(1)在变送器流量指示30%时,变送器的实际差压是多少?输出电流是多少? [p]
根据
根据
例如,一台差压流量变送器差压范围ΔPmax是0~20kPa,流量范围qmax是0~100t/h,积算器积算速度R=1000字/h,变送器输出电流Imax是4Ma~20Ma。那么,(1)当流量分别为25t/h、50t/h时,对应的差压值和电流值是多少?(2)此时积算器每小时所走的字数和每个字所代表的流量数是多少?
(1)根据
即
由于积算器是6位,最大数为999999。根据其积算速度可以得出走到最大数时的时间:
999999/(1000×24)≈41.67(天)
这台积算器可以使用41天,不用复位。
66 一台流量积算器积算速度R=1000字/h,流量计量程为0~4000kg/h,求积算器常数K是多少?
设积算器常数K的定义为:流量计量程qmax与积算器积算速度R之比。
即K=qmax/R=4000/1000=4(kg/字)
67 用实例说明采用差压流量变送器的输出信号为报警值,应如何设定?
例如,一台差压流量变送器差压ΔP=25kPa、流量范围0~100t/h,工艺要求流量在80t/h时报警。那么分为:(1)计算系统不带开方器时报警点定在多少,(2)若带开方器报警点定在多少。
(1)不带开方器时对应80t/h的差压及电流输出:
(2)带开方器80t/h对应的差压及电流输出:
由
68 如何压缩差压流量变送器的量程?(举例说明)
例如,一台差压流量变送器设计差压ΔPmax是0~20kPa,流量范围qmax是0~5000kg/h,运行后发现正常流量常在3000kg/h以上变化。为了提高仪表的准确度,把起始点定在3000kg/h,终点不变。那么:(1)变送器的差压范围如何调整,(2)其中流量与差压对应值应该是多少。
(1)根据在密度不变的情况下的流量公式:
(2)将流量范围分为5个点,所对应的差压值为:
流量3000kg/hΔP0=7200Pa
流量3500kg/hΔp1=20000×(3500/5000)2=9800Pa
流量4000kg/hΔp2=20000×(4000/5000)2=12800Pa
流量4500kg/hΔp3=20000×(4500/5000)2=16000Pa
流量5000kg/hΔp4=20000×(5000/5000)2=20000Pa
节流装置与差压变送器之间采用正负压导管和阀门相连接,如图13所示。在差压引出口正负压管线上各有一个阀门,称为一次阀,可以使仪表开启和停止。另外在靠近仪表的正压导管上安装正压阀、负压导管上安装负压阀、在正负压阀门下游端安装一个称为平衡阀的连通阀,三个阀连接在一起组成三阀组。
三阀组安装示意图
52 差压式流量计启动时检查哪些内容?
如上题图13所示,需要检查的内容有:
(1)检查所有阀门、导压管、接头等是否完好,连接是否牢固;
(2)检查三阀组和排污阀是否关闭,平衡阀是否打开;
(3)慢慢打开一次阀(不要开得太大),待有液体流入后,检查导压管、接头、焊口、阀门及盘根是否有渗漏,无渗漏时再正常启动变送器;
(4)分别打开排污阀,排污后关闭;
(5)拧开变送器测量室的丝堵,排掉无用的气体;
(6)当导压管内充满被测介质(若测量蒸汽,待导压管充满凝结液)后,方可启动差压变送器。
53 仪表三阀组如何操作?操作时需要注意什么问题?
(1)启动顺序:打开正压阀、关闭平衡阀、打开负压阀;停运顺序与启动顺序相反,即:关闭负压阀、打开平衡阀、关闭正压阀。
(2)操作时需要注意:导压管中的介质不能流失、差压测量室不能单向受压、在测量高温介质时,操作三阀组动作要缓慢,避免损坏测量膜盒。
54 充灌隔离液的差压流量计,在启动和停运时应注意哪些问题?
对于充灌隔离液的差压流量计,启动前(在打开孔板取压阀之前),必须先将平衡阀关闭,以防止隔离液冲走;停运时,必须首先关闭孔板取压阀和三阀组的正负压阀,再打开平衡阀,使仪表处于平衡状态。
在管道中有流体流动时,在节流装置两侧就会产生差压。对充灌隔离液的差压流量计,若取压阀和平衡阀同时打开,必然会使正压导管的液体通过平衡阀流入负压导管造成隔离液的流失,影响了仪表的正常使用,所以充灌隔离液的仪表需要强调各个阀门的开关状态。
55 什么是差压式流量计的零点漂移?对零点漂移怎样进行调整?
当差压变送器测量室内的正负压平衡(流量计为零输入)时,其输出值不在起始点的现象称为差压式流量计的零点漂移。此时需要对仪表进行零点检查,其方法是首先关闭二次阀的正压阀、其次打开平衡阀、最后关闭负压阀,此时仪表处于正负压平衡,可将仪表的输出值调为起始值,即电动差压变送器为4mA、气动差压变送器为20kPa。
56 充灌隔离液的差压流量计为什么需要定期的补充隔离液或连续打冲洗液?
充灌隔离液的差压流量计使用一段时间后,导压管内的隔离液常常被测量介质所置换,这是因为工艺管道中,由于出口压头的波动以及管线中的阻力件,使得介质在管线中产生旋涡,使导压管的隔离液也受到这些旋涡波动而被置换。
在大多数节流装置中两根导压管内产生的旋涡数量是不同的,正压管取压在节流装置前管内的旋涡比较少,这是因为节流装置前的压力比较平稳;而在节流装置后,由于流体受到阻尼件(即节流装置)将产生大量的旋涡,因此在节流装置前后的导压管中的压力波动是不同的,一般情况下,正压管内要比负压管内产生的旋涡少得多。这样负压导管内的隔离液要比正压导管置换得多,置换后由被测介质补充,由于隔离液与被测介质的密度不同,形成两根导压管内的静压不同,自然会造成流量计的测量误差,所以充灌隔离液的差压流量计使用一段时间后,一定要定期的补充隔离液或连续打冲洗液。
57 当差压流量计测压导管有渗漏、堵塞或平衡阀内漏时,仪表指示值如何变化?
(1)若正压导管渗漏,仪表指示值偏低;
(2)若负压导管渗漏,仪表指示值偏高;
(3)若平衡阀有内漏,仪表指示值偏低;
(4)若正压导管堵、负压导管通时:一般在刚开始堵时,指示值无太大的变化,用三阀组的平衡阀平衡后,指示值在零点附近变化;
(5)若负压导管堵、正压导管通时:在刚开始堵时,指示值划直线。用三阀组的平衡阀平衡后,指示值在零点附近变化。 [p]
58 用实例说明,充灌隔离液的差压流量计长期不补充隔离液,所产生的误差有多大?
例如,一台灌隔离液的差压流量计,在一个月的运行中负压管的隔离液20%被测量介质置换,正压管的隔离液被置换5%。设孔板取压点到差压变送器正负压室的垂直距离为2m,测量介质密度ρ介=0.88g/cm3,隔离液为甘油水溶液ρ甘=1.28g/cm3,流量计量程:ΔPmax=50000Pa、对应的最大流量ΔPmax=60000kg/h,试算导压管中隔离液被测量介质置换引起的测量误差是多少呢?
正负导压管被测量介质置换产生的差压为:


判断变送器现场运行是否正常主要从是否存在零漂和导压管是否有堵塞或有液体凝结(特别在冬季)。
(1)零漂检查:关闭正压阀、打开平衡阀、关闭负压阀,此时输出电流值为4mA,否则调整零点螺钉,使输出电流值为4mA。调好零点后,重新启动仪表。
(2)导管液体堵塞或凝固的检查:此问题可以用较长时间观察仪表输出值的变化来判断。仪表在正常工作时,管道中流体通过节流件后,其下游会产生大量高频率振幅的旋涡。表现在负压值高频、带有不同幅度的压力波动,反映在变送器的输出也是在某一点上下波动。如果变送器输出显示值较长时间不变化(记录仪划一条直线),基本可以确定导压管内液体堵塞或凝固。为进一步确定,可以将平衡阀迅速打开并马上关闭,如果变送器输出值下降又恢复,即可以肯定不是变送器的电路问题,并进一步判断是导压管液体堵或凝的问题了。
60 开车不久,试分析充灌隔离液的差压流量计输出值偏低的原因?
这是在生产过程中经常出现的问题。一台灌隔离液的差压流量计,孔板安装在水平管道上,变送器安装在孔板下方。开车不久发现变送器输出值偏低,经检查变送器和工艺方面不存在问题,试分析原因和解决办法。
可以从下面4个方面分析:
(1)孔板方向装反,流体通过孔板孔径处,收缩直径变粗,下游静压偏高,孔板前后差压变小,造成流量输出值偏低,需要重新对孔板检查并正确安装。
(2)正压导管隔离液有气泡,使导压管压力传递失真并变小,流量输出值变小。需要对正压导管的隔离液排气(通过敲打导压管放空、排污),实在不行,应重新充灌隔离液。
(3)变送器正压室气体未排净,测量膜盒不能全部浸没在隔离液中,膜盒感受压力偏小,造成变送器输出值偏低。需要打开正压室排气孔,见到有隔离液排出,再拧紧。
(4)三阀组的平衡阀未关严或虽拧紧但有内漏,造成差压变小,变送器输出偏低。需要关严或更换平衡阀。
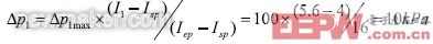
61 举例说明,孔板差压流量变送器在工艺装置减量生产条件下,量程应如何改变?
一台孔板差压流量变送器,设计差压为ΔP1max=0~100kPa,对应流量为q1max=0~100000kg/h。减量后发现正常流量时输出电流只有I1=5.6mA,如果希望正常流量时变送器的输出值是I2=12mA,试问如何改变变送器的量程?调整后对应的最大流量是多少?
(1)变送器输出5.6mA时对应的差压:

若希望正常流量时变送器输出为I2=12mA,即要求对应的差压值ΔP2=10kPa,此时将仪表的量程修改为:

根据
及修改前后的密度不变 可知
62 举例说明,孔板差压流量变送器在工艺装置增量生产条件下,量程应如何改变?
一台差压流量计,设计差压ΔP1=20kPa,最大流量q1mav=8000kg/h。增量后发现变送器的输出值经常在7800kg/h以上位置运行,有时还超程。如果将最大流量改为q2mav=10000kg/h,将进行下列计算。
根据
及修改前后的密度不变 得到
修改后差压值调整为:

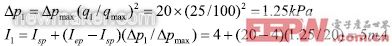
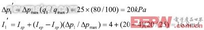
例如,一台差压流量计设计差压范围ΔP1max是0~40kPa,流量范围qm1max是0~20t/h。那么(1)在变送器流量指示30%时,变送器的实际差压是多少?输出电流是多少? [p]
根据

根据

例如,一台差压流量变送器差压范围ΔPmax是0~20kPa,流量范围qmax是0~100t/h,积算器积算速度R=1000字/h,变送器输出电流Imax是4Ma~20Ma。那么,(1)当流量分别为25t/h、50t/h时,对应的差压值和电流值是多少?(2)此时积算器每小时所走的字数和每个字所代表的流量数是多少?
(1)根据


即



由于积算器是6位,最大数为999999。根据其积算速度可以得出走到最大数时的时间:
999999/(1000×24)≈41.67(天)
这台积算器可以使用41天,不用复位。
66 一台流量积算器积算速度R=1000字/h,流量计量程为0~4000kg/h,求积算器常数K是多少?
设积算器常数K的定义为:流量计量程qmax与积算器积算速度R之比。
即K=qmax/R=4000/1000=4(kg/字)
67 用实例说明采用差压流量变送器的输出信号为报警值,应如何设定?
例如,一台差压流量变送器差压ΔP=25kPa、流量范围0~100t/h,工艺要求流量在80t/h时报警。那么分为:(1)计算系统不带开方器时报警点定在多少,(2)若带开方器报警点定在多少。
(1)不带开方器时对应80t/h的差压及电流输出:

(2)带开方器80t/h对应的差压及电流输出:
由

68 如何压缩差压流量变送器的量程?(举例说明)
例如,一台差压流量变送器设计差压ΔPmax是0~20kPa,流量范围qmax是0~5000kg/h,运行后发现正常流量常在3000kg/h以上变化。为了提高仪表的准确度,把起始点定在3000kg/h,终点不变。那么:(1)变送器的差压范围如何调整,(2)其中流量与差压对应值应该是多少。
(1)根据在密度不变的情况下的流量公式:


(2)将流量范围分为5个点,所对应的差压值为:
流量3000kg/hΔP0=7200Pa
流量3500kg/hΔp1=20000×(3500/5000)2=9800Pa
流量4000kg/hΔp2=20000×(4000/5000)2=12800Pa
流量4500kg/hΔp3=20000×(4500/5000)2=16000Pa
流量5000kg/hΔp4=20000×(5000/5000)2=20000Pa
上一篇:怎样保证金属管浮子流量计的精度
下一篇:旋进旋涡气体流量计表头故障原因和解决办法


