- 易迪拓培训,专注于微波、射频、天线设计工程师的培养
海底管道检测信标设备水下运动状态研究
摘要:本文根据重力选矿、流体力学、大学物理等知识并参考鱼雷入水文献,分析推导并修正了阻力通式,研究了海底管道检测信标设备的水下运动状态和相同当量直径的球体在水下的运动状态。通过MATLAB仿真得到时间、速度和位移关系曲线。最终在山东烟台海试测得的实验数据验证了理论分析的可靠性。创新之处在于将物理选矿中的李莱曲线应用于信标运动状态的分析研究。
引言
近年来,由于海洋防务和开发的需求,水下遥控技术越来越受重视。目前来看,在海水中传递信息、无线电波和光很容易被吸收并形成散射,而声波在海洋中的传播速度约为1530m/s,远远大于在空气中的340m/s的速度,并且衰减很小。所以声波是目前水中信息传输的主要载体,水声通信成为水下遥控信息传输的主要手段。
海底管道检测信标设备(以下简称信标)应用水声通信的调制解调和编码解码技术对海底管道进行漏磁检测,以防管道因年久失修或腐蚀而出现故障。
信标通常用于水下300m以内的浅海领域的石油管道故障检测。故信标由静止状态从水面下降到水底过程的研究和从水下解锁上浮到水面过程的研究对于信标测试具有实际价值。运动状态的分析、计算、仿真和实验对于确定信标设备的最佳材质和尺寸以及水下的实际布放具有指导意义。
1 球体水下运动状态研究
信标设备的形状与球形物体有相似之处。在分析信标设备的运动状态前,分析和研究相同材质和体积等参数的球体在水下的运动状态是很有必要和价值的。通过修正球体运动的阻力通式即可得到信标运动所受阻力的通式。
1.1 球体水下受力分析
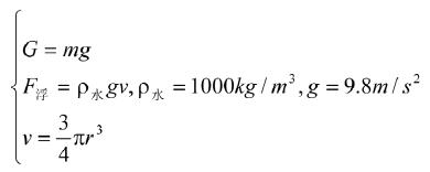
球体由静止状态从水面下降到水底的过程如图1所示,初速度、初加速度和初始位移均为0。

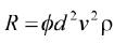
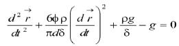
忽略流体相对地面的运动,球体下落过程做的是变加速直线运动。球体水下主要受力为重力、浮力和阻力。重力和浮力为恒定值,球体阻力随速度的增大而增大。当达到一定速度时,球体处于平衡状态,保持匀速直线运动继续下降,直到水底。信标设备放置区域为200m以内的浅海领域,故分析0m~300m位移内球体的运动。
根据牛顿第二定律得到运动方程:
(1)

雷廷智根据牛顿理论推导出球体在理想流体中运动的阻力公式,后经修正得到湍流条件下的压差阻力公式:
(2)
上式适用于雷诺数
,此时阻力与速度的平方成正比。
Re≤1时,阻力为粘滞阻力,应用斯托克斯公式,阻力与速度成正比。
当物体运动的雷诺数在牛顿-雷廷智公式与斯托克斯公式之间,即1≤Re≤500,两种阻力同时影响物体的运动。阿连曾在实验基础上提出一个适合2≤Re≤300的阻力公式[1]:
(3)
量纲分析原理中的π定理内容:对于某个物理现象,如果存在n个变量互为函数关系,即:
(4)
其中有m个为基本量(量纲独立),则该物理现象可以由(n-m)个无量纲项所表达的关系式来描述。即:
(5)
式中,
为(n-m)个无量纲数[2]。根据量π定理可以求得球体绕流运动的阻力通式如下:
(6)
其中Φ为阻力系数,是雷诺数的函数,即f=f(Re)。英国物理学家李莱用实验方法确定了Φ-Re关系曲线[3]如图2所示。曲线的纵坐标与横坐标均用对数表示。可以看出,Φ随Re的增大而连续平滑地减小。已知Re可以估算出阻力系数。
1) Re≤1时,斯托克斯公式成立,主要考虑粘滞阻力,流体处于层流状态,阻力与速度成正比;
2) 500≤Re≤2≤105时,牛顿-雷廷智公式成立,主要考虑压差阻力,流体处于紊流状态,阻力与速度的平方成正比;
3) 2≤Re≤300时,阿连公式成立,两种力并存,雷诺数不同,两种力的比例不同,流体处于过度状态。
1.2 球体阻力的修正
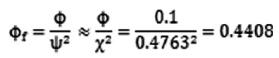
考虑信标的当量直径很大,故达到沉降末速时的雷诺数可高达李莱曲线的末端,故要推测出超出牛顿-雷廷智公式区域外的阻力系数,而不能仅仅采用固定的阻力系数。根据李莱曲线修正后的阻力系数与雷诺数的关系如下:
(7)
由于Re是速度和直径的函数,故直径确定下,可分段求解二阶微分方程,确定每段的初始条件,最后利用MATLAB求解微分方程,得到运动关系曲线。这种修正阻力系数的方法使阻力系数的确定更加精确,进而仿真结果更加可信,适用于高雷诺数下阻力的计算。
1.3 球体MATLAB仿真结果
研究球体在水下的运动过程,方程如下:
(8)
整理得:
(9)
由于球体下落过程的雷诺数很大,故球体运动过程主要是在紊流区域,符合牛-雷公式,阻力系数为定值。
MATLAB仿真,将高阶微分方程转化为一阶微分方程组,即状态方程,然后基于龙格-库塔法求解此方程组,得到二阶微分方程满足初始条件下的特解。龙格-库塔法的一般调用格式为:
(10)
(11)
其中
是定义
的函数文件名,该函数必须返回一个列向量。tspan形式为
,表示求解区间, y0是初始状态列向量,t和y分别给出时间向量和相应的状态向量。这两个函数分别采用了二阶、三阶、四阶和五阶龙格-库塔法,并采用自适应和变步长的求解方法,即当解的变化较慢时采用较大的步长,从而使得计算速度很快;当解的变化较快时步长会自动变小,从而提高计算精度[4]。
2 信标水下运动状态研究
2.1 信标阻力公式的修正
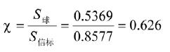
修正球体在介质中沉降速度及介质阻力公式,可以分析计算出信标设备在介质中的沉降规律。球形系数X为相同体积下球体的表面积与非球体的表面积之比,用其表征形状与球体的偏离程度。
经过修正后,非球体在水中所受阻力通式为:
(12)
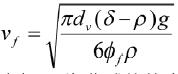
其中,Φf为非球体在水中所受阻力的阻力系数,dv为体积当量直径,即等体积下球体的直径。vf为非球体在水中的运行速度。非球体在水下的沉降末速公式为:
(13)
其中,d为非球体的密度。由公式可知,非球体与流体确定的情况下,
。故沉降末速亦可表示为:
vf=xv0 (14)
v0为等体积球体在水下的沉降末速。
非球体的形状修正系数为:
,其值近似等于球形系数,故通常采用该式来计算沉降末速。
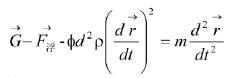
一般来说,球体比其他形状的物体更便于介质从周围流过。等体积条件下,球体的表面积最小,球形系数越小,说明物体越不规则,所受的阻力越大,沉降末速也就越小。总信标设备包括压载基座和信标仪器舱。如图3所示。
2.2 信标运动方程的计算
信标下降过程的主要参数如下:

SolidWords计算测得总信标设备的表面积约为:S=1.277m2
计算得出:
体积当量直径:
;
球形系数:
。
修正后的阻力系数为:
(15)
因
比x略大,取φf=0.4。
本文来源于中国科技核心期刊《电子产品世界》2016年第5期第50页,欢迎您写论文时引用,并注明出处。
修正后的阻力为:
(16)
下沉过程中,相同密度和当量直径的球体经过计算后的阻力如下:
(17)
上浮过程中,信标设备的基座留在水下,信标仪器舱解锁上浮,上浮过程的主要参数如下:

SolidWords计算测得信标仪器舱的表面积约为:
s=0.8577m2
计算得出:
体积当量直径:
球形系数:
修正后的阻力系数为:
(18)
因
比x略大,取φf=0.25。
修正后的阻力为
(19)
2.3 MATLAB仿真计算
信标下降运动状态仿真如图4;

相同当量直径球体下降运动状态仿真曲线如图5;

信标上升运动状态仿真曲线如图6;

相同当量直径球体上升运动状态仿真曲线如图7。

2.4 信标运动状态结论
信标设备下沉过程中1s达到沉降末速1.59m/s,而后以该速度做匀速直线运动。相同当量直径球体约3s达到沉降末速3.19m/s,后以该速度做匀速直线运动。信标设备上浮过程中1s达到末速1.44m/s,相同当量直径球体约2s达到沉降末速2.175m/s。信标设备的沉降末速约为相同当量直径球体沉降末速的X倍,信标设备的表面积越接近标准球形,其球形系数越接近1,运动末速越接近球体的沉降末速,运动状态越接近具有相同当量直径的球体。可见,该信标的形状与相同当量直径的标准球体相差还是较大的。

3 山东烟台海试
在船上首先将信标连同基座锁紧后投入海里后进行遥控操作,解锁上浮正常。传输距离约为100m,水深约13m ,上浮时间约为8s~9s,平均速度约为1.5m/s。与仿真结果1.44 m/s相差不大。
4 总结
本文通过理论推导和仿真推导海底管道检测信标设备的水下布放与解锁上浮的运动状态,通过海试验证理论推导的正确性,最终验证了李莱曲线和阻力公式应用于信标设备运动分析的正确性和可行性。
参考文献:
[1]杨小平.物理选矿[M].北京:冶金工业出版社,2014:31-35.
[2]朱金波.工程流体力学[M].江苏:中国矿业大学出版社,2008.
[3]孙玉波.重力选矿[M].北京:冶金工业出版社,1982:9-30.
[4]刘卫国.MATLAB程序设计与应用[M].北京:高等教育出版社,2006.
[5]马红旗.鱼雷锚初始贯入海床深度的研究[D].天津大学硕士论文,2010.
本文来源于中国科技核心期刊《电子产品世界》2016年第5期第50页,欢迎您写论文时引用,并注明出处。
上一篇:你真的会测待机功耗吗?
下一篇:基于铁丝磁化的车模越界检测


