- 易迪拓培训,专注于微波、射频、天线设计工程师的培养
二极管测量CPU温度的原理解析
简介:一般来说,时钟频率跑的越快,则CPU每秒所能完成的运算次数就越多,性能自然更好,但是,随着时钟频率的增加,CPU就会变得越来越热,这是CPU内部CMOS管耗散功率加大的体现,过高的温度会影响系统的运行,所以有必要采取措施来“监控”CPU的温度,把它限制在一定温度范围内,以确保CPU的可靠运行。
由于二极管制造工艺的特殊性,我们可以利用二极管的伏安特性来测量CPU的温度,它的伏安特性如下图:

众所周知,将PN结用外壳封装起来,并加上电极引线就构成了半导体二极管,简称为二极管。由P区引出的电极为阳极,由N区引出的电极为阴极,如下图所示,

温度对二极管的性能有较大的影响,这是由于半导体材料的特性所致,温度升高时,二极管的正向压降将减小,每增加1oC,正向压降减小约2mV,可以从下图看出,

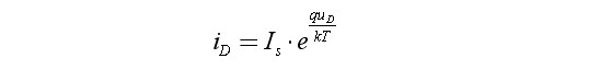
由半导体理论可以得出,PN结所加端电压u与流过它的电流i的关系为:

其中, Is为反向饱和电流,对于硅材料来说,Is约为10pA;
q为电子的电量,q=1.6*10-9C;
k是玻耳茨曼常数,k=1.38*10-23 J/K;
T为绝对温度,
kT/q可以用UT来代替,则

常温下,即T=300K时,UT约为26mV。
对于足够大的电压,二极管方程可以近似写成:

那么,二极管两端的电压可以推导出为:

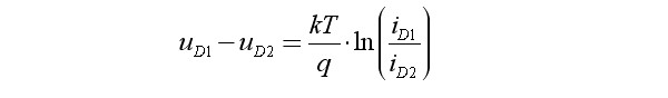
一个比较典型的应用例子就是美信公司的MAX1617,它就是通过使得两个不同的电流流过二极管,并比较所产生的电压来测量CPU温度的。

从MAX1617的Functional Block Diagram可以看出,为了测量温度,MAX1617首先使电流iD1流过二极管,然后再使电流iD2流过二极管,所产生的电压分别是uD1和uD2,它们的差为:

因此只要确定了iD1和iD2,那么上式中的电压差就正比于绝对温度了,也就达到了测量温度的目的。
上一篇:PA功率分析仪远程读取数据
下一篇:功率分析仪也能做录波仪


