- 易迪拓培训,专注于微波、射频、天线设计工程师的培养
OTA测试标准之各个标准组织的异同及解读 三
3GPP/ETSI测试标准
FDD的TRS测试
测试用的人头模型与典型的SAR测试人头模型相同,组织液成分要求也相同。其摆放如下图所示

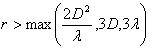
测量天线与被测物间必须满足:

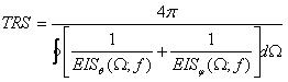
TRS的推导公式:

实际计算公式:

TRS测试分为最低要求及平均要求,意即限值分两种给出,一个是最差的限值,一个是平均限值,测试结果如果超出任意一个限值则判定为不合格:
平均值计算方法:

最低限值计算方法:
测试步骤:
•EUT处于最大功率发射
•贴近人头模型
•在EUT支持的每一个频段,对高中低三个信道进行测试
•通过控制EUT的位置,三维空间
•测量各点的有效辐射功率EIs,
•30度步长进行测试
限值如下表所示:
Operating Band | Unit | ||
Average | Max | ||
I | dBm/3.84 MHz | -99.7 | -96.2 |
II | dBm/3.84 MHz | -97.7 | -94.2 |
III | dBm/3.84 MHz | -96.7 | -93.2 |
IV | dBm/3.84 MHz | -99.7 | -96.2 |
V | dBm/3.84 MHz | TBD | TBD |
VI | dBm/3.84 MHz | TBD | TBD |
VII | dBm/3.84 MHz | -97.7 | -94.2 |
VIII | dBm/3.84 MHz | TBD | TBD |
IX | dBm/3.84 MHz | -98.7 | -95.2 |
NOTE 1 For Power Class 3, 3bis and 4 this shall be achieved at the maximum output power. NOTE 2 For the UE which supports both Band III and Band IX operating frequencies, the reference level of TDB dBm TRS [average and min] shall apply for Band IX. NOTE3 Applicable for dual-mode GSM/UMTS. | |||
GSM的测试要求与FDD基本一致,除了测试频点及频段不同。其限值暂未定。
关于3GPP和CTIA的OTA测试介绍已经完毕,下期将会介绍一下产品的实际测试。
上一篇:IC认证中无线产品测试要求解析
下一篇:HAC测试简介(一)


