- 易迪拓培训,专注于微波、射频、天线设计工程师的培养
OTA测试标准之各个标准组织的异同及解读 二
3GPP/ETSI测试标准
3GPP一直是电信标准组织中的重要角色, 其全称为3rd-Generation Partnership Project, 它的标准与另一个欧洲标准组织ETSI的标准大多数是等同标准. 在它的OTA测试指导TS 34.114中针对OTA的测试手段及限值进行了详细说明。
在3GPP标准中, 对于自由空间的OTA测试并没有限值定义, 其要求都是在TALK POSITION下进行测试, 而并没有单独对自由空间的状况进行说明。
在最新定版的标准中, 并未正式针对GSM及EDGE进行限值的制定, 其状态仍然是TBD, 因此, 表中限值是根据以往提交的讨论稿中的限值摘抄的. 另外, 3GPP标准是以GSM和FDD进行划分。
一.测试范围
3Gpp的测试是针对GSM/UMTS单模或双模手机,在通话模式下(指移动台靠近人耳的情况下)进行以下两项测试以验证手机的发射总功率和总接收灵敏度:
1.Total Radiated Power (TRP)
2.Total Radiated Sensitivity (TRS)
测试频率及信道如下表:
Table 4.1: UTRA FDD frequency bands

Table 4.2: UTRA FDD Channels

Table 4.3: GSM frequency bands

Table 4.4: GSM Channels

二.TRP的测量
FDD的TRP测试
测试用的人头模型与典型的SAR测试人头模型相同,组织液成分要求也相同。其摆放如下图所示

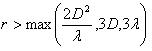
测量天线与被测物间必须满足:

TRP的推导公式:

实际计算公式:

TRP测试分为最低要求及平均要求,意即限值分两种给出,一个是最差的限值,一个是平均限值,测试结果如果超出任意一个限值则判定为不合格:
平均值计算方法:

最低限值计算方法:

测试步骤:
•EUT处于最大功率发射
•贴近人头模型
•在EUT支持的每一个频段,对高中低三个信道进行测试
•通过控制EUT的位置,三维空间
•测量各点的有效辐射功率EIRP,
•15度步长进行测试
测试要求如下表所示:

GSM的测试要求与FDD基本一致,除了测试频点及频段不同。其限值暂未定。
三.TIS的测量
(下期继续)


