- 易迪拓培训,专注于微波、射频、天线设计工程师的培养
CTIA OTA V3.0中对MediaFLO产品的测试要求
MediaFLO是美国高通公司针对手机、PDA等便携式设备的一种移动多媒体广播技术,该技术和中国正在使用的CMMB(China Mobile Multimedia Broadcasting 中国移动多媒体广播)很类似。MediaFLO广播的资料包含多样性的即时影音串流、独立或非即时的影音“短片”,如股市的走势、体育赛事的分数,以及气象报导等IP数据广播应用服务。
FLO在MediaFLO中是指“前向链路”(Forward Link Only),意思是从网络模拟器到MediaFLO接收设备的数据单向传送,也就是MediaFLO设备只能接收网络模拟器信号,不能向网络模拟器发射信号。MediaFLO系统是从现有的无线网络的频谱使用中所分割的一块传递数据,例如美国使用的MediaFLO的频谱是716-722MHz。
MediaFLO只能接收网络模拟器发来的广播信号,并不能回传任何信号给网络模拟器,在OTA测试中只需要测试TIS(总全向灵敏度),测试采用PER(Packet Error Rate)来评价MediaFLO接收机灵敏度。CTIA规定了MediaFLO设备在最小接收灵敏度下的PER应小于或者等于0.5%,且置信度为95%。在目标接收机灵敏度附近调整网络模拟器功率电平的步长不大于0.5dB,并且至少采样500 packets,如果有必要可以最多采样2000 packets。
一.测试步骤:
由于MediaFLO物理层没有反向链路,也不能同测试设备进行回环,在TIS测试中一般采用基于RSS(Receive Signal Strength)的替代方法。该方法基于EUT接收到的信号强度,由EUT直接汇报解调后PER的统计结果。目前MORLAB采用的是基于RSS的替代方法。
1.设置MediaFLO网络模拟器的发射频率以及调用MediaFLO波形文件,打开射频输出开关,按照TIA-1102(Minimum Performance Specification For Terrestrial Mobile Multimedia Multicast Forward Link Only Devices)设置MediaFLO网络模拟器参数,如图1所示,图1中的Transmit Mode是指Multicast Logical Channel,也就是说测量在4信道进行。CTIA建议为了提高测试效率,网络模拟器功率一般设置为EUT目标TIS+30dB,这样可以缩短搜寻目标TIS的时间。

图1
2.打开MediaFLO PER统计软件FLO status view(如图2),并设置正确的Flow ID;打开MediaFLO设备,开始搜寻信号,然后点击start decode,如果设置无误的话,就会出现如图2所示的待测MediaFLO设备RSSI等信息。

图2
3.调整MediaFLO网络模拟器的输出功率,注意观察如图3所示的PER统计结果变化,如果PER接近0.5%时,应当以0.5dB小幅调整信号强度,使得PER为0.5%的最小信号为单点的接收机灵敏度。

图3 PER统计结果
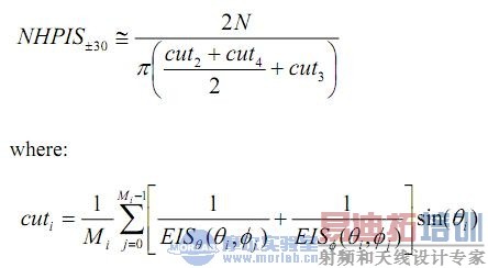
(1)以30°为步长,转动OTA测试系统转桌,分别使用24根不同探头测量单点接收机灵敏度。
(2)按照以下公式进行计算,最终得出该信道的TIS值。

(3)调整MediaFLO网络模拟器的频率,使工作在第5信道,重复1-5步。
二.测试限值
CTIA OTA V3.0目前并未指出MediaFLO TIS的具体限值(如图4)。这里我们参考高通公司的要求,在自由空间条件下TIS需要达到-98dBm。

图4
由于不能确定通过何种方式将MediaFLO设备的PER统计结果汇报给测试设备,CTIA只规定了PER统计结果的格式,如图5所示,MediaFLO的制造商和基带芯片供应商(目前只有Qualcomm)会提供将EUT统计的PER结果传给测试设备的方法。根据摩尔实验室的实际测试经验,EUT可以通过USB线缆或者wifi方式将测试结果传送至测试软件。

图5 PER结果传输格式
除过OTA测试,CTIA规定了MediaFLO也要进行传导方式的灵敏度测试,而且指出,如果EUT没有传导测试接口,可以临时整改一台带有测试接口的样机进行所有传导测试。标准TIA-1102详细介绍了传导方式下灵敏度测试的方法。由于MediaFLO设备一般不会接近人头,所以只需要测试自由空间和人手模型,不需要测试人头模型的情况。


