- 易迪拓培训,专注于微波、射频、天线设计工程师的培养
变频器的谐波测量
录入:edatop.com 点击:
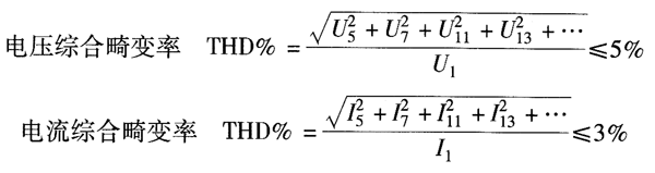
对新购买的变频器及在使用中的变频器,往往要作各次滤波电流或电压的测量,以改变目前多数用户只是定性分析谐波现状,从而走向定量分析谐波的过程,并能进一步考核变频器本身的谐波质量指标,以及在使用变频器的过程中,对电网的影响及对其他设各的影响。通过定量测量,可进一步提出合理、有效措施,发挥变频器的更有益的功能,是件非常重要的事。目前较为方便的是使用电力谐波分析仪或电能质量分析仪,它能及时地告诉我们谐波的频率、相对量值等数字值,再对测量参数进行综合判断,很快能决定变频器的有关谐波实际量值与标准对比。

上一篇:数宇万用表使用注意事项
下一篇:仪器、仪表的测量方法分类


