- 易迪拓培训,专注于微波、射频、天线设计工程师的培养
指示电表检定的规定
表1 准确度等级及最大允许误差


①此允许偏差适用于表中规定的单一标准值或由制造厂规定的单一标准值,对标准范围不允许有偏差。
②装水准器的仪表,检定时应用水准器将仪表调整到水平位置。
⑧由制造厂规定的不同允许偏差除外。
④40A/m接近大地磁场的最高值。
⑤滞后(感性)为正号,超前(容性)为负号。
为了保证检定的准确度,供给被检仪表电路电流及电压的电源的稳定度应满足:直流电源不应低于±1/10k%/0.5min;交流电源不应低于±1/5k%/0.5min,其中k为被检仪表的准确度等级。检定线路中使用的电流或电压调节设各应能由零调至被检仪表各个量程的上限,应能平稳、连续地调至仪表任何一个分度线,调节细度不应低于±1/10k%。
测量被检仪表的基本误差时,应在标度尺工作部分的每一个带有数字的分度线
上进行检测。对于磁电式仪表、0.2级工作仪表和0.5级以下仪表,仅在一个电流方向检定两次(上升和下降);对于0.1和0.2级其他标准表,应进行四次测量,即上升和下降各一次,然后改变仪表中的电流方向,重新作上述测量。
检定交直流两用仪表时,除要在直流下对工作部分每一个带数字的分度线进行检定之外,对额定频率为50Hz的仪表应在该频率检定两个带数字的分度线(中间数字分度线和上限,下同);对有额定频率范围及扩展频率范围的仪表,应在额定频率的上限频率和扩展频率上限各检定两个带数字的分度线,也可根据使用单位的要求按规定检定。
检定交流仪表时,应在额定频率下检定;若有扩展频率,对扩频后的上限频率及下限频率(仅对内装互感器而言)检定两个带数字的分度线,但也可根据使用单位要求按规定检定。
交直流准确度级别不同的仪表,应在直流和交流两种情况下分别进行检定。
对使用一个标度尺的多量程仪表,可以只对其中某一个量程(全检量程)工作部分的全部带数字的分度线进行检定,而其余量程只检定上限和可以判定最大误差的分度线,或者按使用单位要求进行检定。
检定前,先调节被检表的调零器,将表的指针调到零位。检定时由零开始,顺序检定各分度(上行),一直到满刻度为止。接着,从满刻度开始,下行检定各分度,一直到零刻度为止。对上行、下行各分度测得的标准表读数和被检表读数(被检的分度)都要做好记录。注意,上行或下行检定时都不可回调。
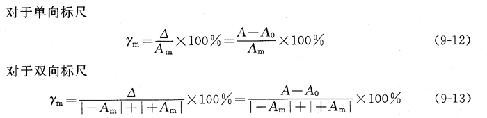
被检表示值的实际值为标准表二次或四次读数的平均值,若标准表有更正值,通常应将更正值考虑在内。仪表的最大绝对误差△为示值与示值的实际值之间的最大差值,被检表的引用误差rm为

式中 Am——单向标尺的被检表上限值;
—Am——双向标尺的被检表下行上限值;
+Am——双向标尺的被检表上行上限值;
A——被检表的示值;
A0——被检表示值的实际值。
被检表的准确度等级为基本误差稍大于或等于rm所对应的那个等级。
对于被检定的0,1、0.2、0.5级标准仪表应给出更正值、最大基本误差和最大升降变差,其余仪表只需说明合格不合格。所谓最大升降变差是指在通人仪表的电流方向不变的情况下,某一量程各分度线上两次测量结果(上升与下降或下降与上升)的最大差值。此值应不超过规定的大小。所谓更正值是指被检表示值的实际值A0与被检表示值读数Ax之差
δ=A0-Ax (9-14)
求出各示值的更正值,则可画出以被检表的分度为横坐标,以更正值为纵坐标的曲线(更正曲线)。被检表示值的实际值为读数与该读数的更正值之代数和,即
A0=Ax十δ (9-15)
以图所示更正曲线为例,当被检表的读数为5.00A时,其更正值为0.16A,因此,被测表示值的实际值为
I0=5.00+0.16=5.16(A)

图 更正曲线
注意,检定仪表的基本误差、变差和调零,应在规定的条件下进行。除这些项目外,对生产和使用中的仪表做定期检定时,还应进行外观检查、不通电时的倾斜影响检查等;对修理后的仪表还要增加一些检查项目。更详细的规定请见《电流表、电压表及功率表检定规程(JJG 124—2005)》。
上一篇:BCI测试直接注入法
下一篇:数字电压表的工作原理


