- 易迪拓培训,专注于微波、射频、天线设计工程师的培养
三种测量噪声系数的典型方法
1 引言
噪声系数是微波产品研制和生产过程中的一项主要测量参数,是表征接收机及其组成部件在有热噪声存在的情况下处理微弱信号能力的关键参数之一,噪声系数的计量测试更是噪声计量测试的重要内容。
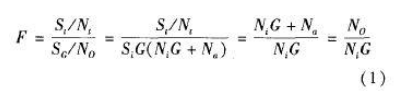
在工程上定义噪声因子(F)为若线性两端口网络具有确定的输入端和输出端,且输入端源阻抗处于290。K(室温)时,网络输入端信号噪声功率比与网络输出端信号噪声功率比的比值。
其中, Si为输入信号功率,Ni为输入噪声功率,So 为输出信号功率,No为输出噪声功率,G为两端口网络增益,Na为两端口网络本身的噪声功率。
它明确地表明了由于网络产生噪声,使网络输入端信噪比经过该网络传输后信噪比恶化的倍数,也就是传输网络对其输出端总噪声功率贡献的大小。噪声系数(NF)为噪声因子的对数表达形式,定义如下:
可重复的、高精度的噪声系数测量方法是非常重要的,本文讨论其中三种典型方法:噪声测试仪法、增益法和Y系数法,并通过实验验证Y系数法的准确度。
2 噪声测试仪法
使用噪声测试仪是测量噪声系数最直接方法,在大多数情况下也是最准确的。工程师可在特定的频率范围内测量噪声系数。噪声测试仪能够同时显示增益和噪声系数来帮助测量。噪声测试仪的测试原理图如图1所示。

图1 噪声测试仪法原理图
噪声测试仪测 试噪声系数的核心是Y系数法。首先,噪声测试仪本身是一台接收机,可以用来测试输人的噪声功率;其次噪声测试仪需要控制一个噪声源的加电和不加电状态,对被测件(DUT)进行测试。
噪声系数测试仪,如AV3984噪声系数分析仪,产生28VDC脉冲信号驱动噪声源(AV16604),该噪声源产生噪声驱动DUT.由于分析仪已知噪声源的输入噪声和信噪比,DUT的噪声系数可以在内部计算和在屏幕上显示。
使用噪声系数测试仪是测量噪声系数的最直接方法。测量人员可在特定的频率范围内测量噪声系数,通常噪声分析仪在超低的噪声测量中准确度更高一些,当测量很高的噪声系数时,测量结果会不准确。
3 增益法
目前噪声系数的测量主要使用专用的噪声系数测试仪,但当不具备这种专用设备或者所要求测试频率范围不在其范围时,可以采用频谱分析仪测量噪声系数,即增益法,该方法对于频率在所用频谱仪频率范围内的被测件都能进行测量。
基于噪声系数的定义可以得到一个测量公式 :

式(3)中,Pout是已测的噪声功率谱密度,-174 dBm/Hz是290°K(室温)时环境噪声的功率谱密度,BW是感兴趣的频率带宽,Gain是系统的增益。式(3)中每个变量均为对数,为简化公式,我们可以直接测量输出噪声功率谱密度(dBm/Hz),这时式(3)变为:

以接收机为例,测试原理如图2所示。

图2 增益法测试框图
用信号源和频谱仪测量出接收机的增益(在接收机能够接收的电平范围都可以,如 果感兴趣的是接近接收机小信号时的噪声系数,可以选择接近灵敏度电平,比如小于- 100 dBm的信号强度);为获得稳定和准确的噪声密度读数,选择最优的分辨带宽(RBW)与视频带宽(VBW),使频谱仪上的基底噪声看起来比较干净。视频带宽越小,频谱仪上显示的基底噪声越小,Pout读数越准确。
只要频谱分析仪允许,这种方法可以适用于任何频率范围。通常噪声分析仪在超低的噪声测量中准确度更高一些。对于系统增益非常高、噪声系数非常高的场合,这种方法也很准确。最大的限制来自于频谱仪的噪声基底。
4 Y系数法
Y系数法是测量噪声系数的一种典型方法。Y系数是指当被测件(DUT)的输入端处于2个不同的资用噪声功率时,在DUT的输出端得到的2个相应的资用噪声功率之比。噪声源是Y系数法测量必不可少的设备,噪声源是能产生2种不同噪声功率的噪声发生器,一般需要用DC脉冲电源驱动电压,当DC驱动电压供电时相当于噪声源开,称为热态,此时输出大的噪声功率;DC驱动电源关闭时相当于噪声源关断,称为冷态,此时输出常温下的噪声功率。噪声源的热温与冷温的差值称为噪声源的超噪比(ENR)。
测试原理如图1所示,为了进一步说明其工作原理,下面导出它的工作方程。
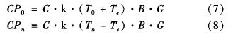
当噪声源转移到噪声温度T0时,DUT的输出功率Pn为:
式(5)中,k为波尔兹曼常数,1.38*10- 23J/K,B为带宽(Hz),G为增益,Te为被测网络等效输入噪声温度(K)。同理,当噪声源转移到噪声温度Tn时,DUT的输出噪声功率Pn为:

设噪声系数测试仪的增 益为C,则在上述两种情况下,噪声系数测试仪所检测到的功率分别为CP0和CPn即:

对式(3)和式(4)联立求解 Te并表示为F,即可得到:

式中,ENR是噪声源的超噪比(dB), Y=CPn/CP0,功率比值,通常称为Y系数,F是噪声系数(dB)。
图3所示为Y系数量值发生器的组成原理图。

图3 Y系数发生器原理图
首先使噪声源工作在噪声温度T0(冷态),射频衰减器置于0(dB),标准衰减器置于A0(dB),并使指示器指示在某一位置;然后,噪声源工作在噪声温度Tn(热态),调整标准衰减器使指示器的指示回到原来位置。设此时的衰减读数为An,那么A = An - A0(dB),可以得到Y系数的表达式为:

Y系数法适用于大范围噪声系数的测量,简单易行并且准确度高,只需要知道噪声源的ENR,并测量出噪声源冷、热2个状态下的输出噪声功率,不用测量DUT的增益,因此在对噪声系数准确度做检定时采用此方法。
5 实验验证
将式(10)给出的Y系数代人式(9),就复现了噪声系数标准值Fs,结果如表1所示。
我们选用AV3984型微波噪声系数分析仪进行实验,其工作频率为10 MHz~26.5 GHz,实验框图如图4所示。

图4 实验框图
依据图4所示连接实验仪器,AV3984的噪声系数性能指标为±0.25 dB,测试数据如表2所示。
实验中使用标准衰减器,通过记录噪声系数分析仪的Phot值,代入下列公式计算,得出噪声系数测量值:

结果表明,数据的最大偏差在0.25 dB内。Y系数法能测量很大的噪声系数范围,适用于任何频段,不受增益限制,准确度更高。
实验中使用智能噪声源,超噪比表可以自动从噪声源内上载到噪声系数分析仪内,也可以在需要的时候通过命令上载。对于需要手动输入超噪比表的噪声源,在测量之前一定要确认所使用的超噪比表与噪声源是匹配的。
噪声系数FS - Y系数值关系表


6 结束语
本文讨论了测量接收机噪声系数的三种方法,每种方法都有其优缺点,适用于特定的应用。噪声系数测试仪法最直接简单,在低噪声测量中准确度更高;增益法可用于所有频段,尤其适合测量较高的噪声系数,但受频谱仪的基底噪声限制;Y系数法适用于所有的系统噪声系数测试,准确度较高,通过实验验证可看出数据的偏差较小,且不受增益限制。
上一篇:提高DFT测试覆盖率的方法
下一篇:先进测试平台进行ADSL芯片关键参数测试


