- 易迪拓培训,专注于微波、射频、天线设计工程师的培养
锁定放大器在测试系统中抗噪声的应用研究
激光烟雾衰减测试系统的主要功能是测量红外激光(1.06um和10.6um)在特制烟雾中的传输性能。在工作时,发射系统发射红外激光,使其在大气中传输一段距离,在其光路上施放特制的烟雾,测试系统测试该激光通过烟雾到达接收系统时的强度变化情况。由于自然界中存在各种红外辐射源(物体对光的反射、物体自身辐射、周围环境的辐射等),其强度有时甚至比信号还要强,因而在测量过程中,强烈的背景辐射都将不可避免地进入测试系统,构成所谓的背景噪声;此外,大气湍流扰动对红外激光辐射的干扰也不能忽视。如何有效地去除噪声的影响同时得到我们所期望的高精度的数据是我们所面临的主要问题。锁定放大器所具有的强大抗噪声能力使得这个问题能够得到很好的解决。本文将对锁定放大器的功能特性及在激光烟雾测试系统中的应用方法作以探讨和研究。
烟雾衰减测试系统中所存在的噪声问题
在激光烟雾衰减测试系统中各种干扰因素比较多。自然界中,太阳、月亮、星星、地面等均为自然红外辐射源,在进行野外测试(外场测试)情况下,自然辐射源的辐射都会干扰红外仪器的工作,对系统的测试结果将会产生较大的影响。可以将这种干扰称为背景辐射干扰。红外系统在野外进行测量时,自然辐射源所造成的强烈背景辐射都将不可避免进入系统。这些辐射经光电转换后即成为直流背景信号,其强度有时甚至比有用信号大几个数量级。如果直接采用直流放大的方法对红外辐射进行测量将会导致很大的的误差码。
针对这种情况,在传统的红外系统中经常采用变换的方法即将红外辐射调制成交流信号后再将其发射出去。我们可以用调制盘(斩波器)完成这个任务。调制盘将直流辐射信号变换成交流信号,该信号可以由交流放大器或相关的检测仪器进行放大处理,以此来削弱直流漂移和直流背景。但是,这种方法只能粗略地去掉背景噪声中的直流成分,而对接近于调制盘调制频率的背景辐射干扰无能为力,尤其是当背景辐射干扰的强度远远大于被测量的红外辐射强度时更是如此,因此我们必须找到一种方法来去除这种干扰。
锁定放大器的工作原理和构成
同步相干检测技术在近20年来得到了快速发展,是从强噪声中提取弱信号的重要手段,在各种学科领域尤其是电子学领域得到日益广泛的应用。信息论和随机过程理论是其主要的理论基础,主要的内容有相关函数和相关接收(又称相关检测)等。这种技术利用信号周期性和噪声随机性的特点,即信号和噪声两个互不相关,通过相关运算(自相关或互相关),达到去除噪声的目的。
相关检测原理
相关检测原理如图所示:

图1 互相关检测原理图
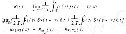
图中f1(t)为接收端输入信号, f2(t)为本地信号,其重复周期与输入信号中s1(t)的重复周期相同并且是“干净的”, n1(t)是噪声信号。
设输入信号:
f1(t)= s1(t)+n1(t)
本地信号是:
f2(t)=s2(t)
则其相关函数
上式中τ是所研究两点的时间间隔, 即两信号间的时延。
因信号与随机噪声发生相互独立, 其互相关函数将是一个常数,等于两个随机函数平均值的积。若其中一个平均值是零,则相关函数为零。因噪声平均值为零, 所以上式中Rns2(τ)为零。因此相关函数的输出只是信号与本地信号的相关结果,噪声被去掉。在实际应用中,只有在计算相关函数求平均值的时间比较长时, Rns2
(τ)才近于零, 从而得到较高的输出信号噪声比,该时间可由试验确定。一般其值为积分器所采用的低通滤波器的时间常数RC 值的4—5倍。
由以上简单的公式推导我们可以看出互相关运算的确可以大幅度地去除噪声的影响。锁定放大器就是利用互相关原理设计的一种同步相干检测仪,是对被测信号和参考信号进行相关运算的电子设备。它具有十分窄小的信号和噪声带宽,依照通常带通滤波器Q 值的含义,其等效Q值可达到108量级,这是常规滤波器所无法达到的。
锁定放大器的组成结构
下面对锁定放大器的组成结构作以简要的说明。典型的锁定放大器如图2所示。图2中可以看出,一般锁定放大器可以分为3个部分,即:信号通道、参考通道和相关器(在积分器后面还应有直流放大器,图中未画出),下面分别介绍各自功能及组成:
相关器
相关器是锁定放大器的关键部件,包括乘法器和积分器2部分,它最终完成被测信号与参考信号互相关函数运算。它必须具有动态范围大、漂移小、时间常数可调、增益稳定和频率范围宽等特点。它要求输入信号为正弦波或方波,如果被测信号是直流信号,则可用斩波器先将它转换为交流方波再进行转换检测。

图2 锁定放大器的组成结构原理图
信号通道
信号通道位于相关器之前,由输入放大器、低噪声前置放大器、各种有源滤波器和放大器组成。其作用是放大弱信号到足以推动相关器工作的电平,并兼有抑制和滤除部分噪声和干扰的功能,扩大仪器的动态范围。其前置放大器最佳信号源电阻必须能够与不同传感器进行噪声匹配以得到最佳噪声特性。
参考通道
其作用是输出和输入信号同步的、占空比为1 :1 的、具有一定幅度的对称方波,以驱动相关器。由触发电路、倍频电路、相移电路、方波产生和驱动电路等组成。
直流放大器
这也是锁定放大器的一个重要部分,在图中没有画出。其主要的功能是将积分器输出的直流或缓变信号放大,使其满足后续数据采集系统对信号的要求。直流放大器的主要问题是零漂的影响,考虑到前级相关器的输出可能很小,因此应选择低漂移的运算放大器作为直流放大器的前置级,同时要有尽量小的1/f噪声。
激光烟雾衰减测试系统的构成及锁定放大器的应用
激光烟雾衰减测试系统的构成
红外系统本质上是一个光学—电子系统,其基本功能是将接收到的红外辐射转换成为电信号并利用它去达到某种实际应用的目的。激光烟雾衰减测试系统是一个典型的红外系统,因而具有一般红外系统所具有的特征:既包括光学系统、调制盘、红外探测器、电子线路和显示纪录装置等。连续的红外辐射调制盘调制成交变信号输出,在传输过程中受到大气中某些气体分子的选择性吸收和红外烟雾中悬浮微粒(气溶胶)的散射而衰减,上述被衰减的红外辐射被光学系统接收并聚焦到红外探测器响应平面上,红外探测器将红外辐射转变为电信最终分析处理,这就是激光烟雾衰减测试系统的工作原理。
如上所述,本系统的结构简图如图3(这里只画出接收部分)所示。

图3 激光烟雾衰减测试系统接收部分简图
从图3中可以看到,锁定放大器可以应用在探测器后面的信号调理电路中,对探测器传来的反映激光强度大小的电信号进行去噪声处理,之后将信号送给下一级的数据采集系统进行解释分析。其工作过程如下:红外激光信号及红外背景噪声一同通过光阑,经光学调制盘调制后变成交流方波信号,再经过光学系统射入红外探测器的光敏面上,探测器输出与激光强度有一定关系的正弦波交流信号送入锁定放大器进行测量,测量后的结果经信号调理电路进行处理后将被送往下一级数据采集系统进行记录和分析处理。相关放大器的参考信号是由控制光学调制盘的振荡源给出的。由图中可以看出,相关放大器在本系统中起着承上启下的作用,地位非常重要。
锁定放大器在实际应用过程中需要注意的几个问题
这里需要说明:锁定放大器虽然具有很多优点,但它在实际应用过程中有几个问题需要注意。相关解调器的测量时间及对测量结果的影响图1 所示的相关解调器的积分运算,一般是采用RC低通滤波器来实现,这种低通滤波器相当于时间常数为3RC—5RC的积分器。因此,相关解调器的积分时间不能无限长(任何信号都不可能做到测量时间无限长)。显然,有限长时间内的互相关运算不可能完全去除噪声。在允许的情况下,测量的时间越长,可以检测的信号越小。
参考信号的获取
相关器是锁定放大器的关键部件。在进行相关运算时,必须要有一个幅度恒定、与信号同频率的方波参考信号。在很多锁定放大器的应用场合,这个参考信号可以从振荡器获得(如图中所示),再使被测信号也具有这个频率,这样就实现了同频的要求,进而就可以完成在观测噪声中正弦信号幅度的检测。一般来讲,商品化的斩波器中都有参考信号的输出可供使用。另外,其幅度通常应大于100mV以上。
参考信号的相位
在检测时不可能预先知道被测信号的相位,因此相关解调器中必须设置参考信号的移相电路,以调节相位达到与被测信号相同或反相。相位的变化应能够在0—360度范围内进行调整。
锁定放大器的信噪比改善程度
锁定放大器的信噪比改善程度为SNIR=2Bin/△fn,Bin为相关解调器前面带通滤波器的带宽,△fn是低通滤波的噪声带宽。由于△fn 远远小于Bin ,因此信号的信噪比将大大改善。但是当噪声过大时,器件的非线性特性使乘法器不再具有理想乘法特性,进入过载状态,此时的相关解调器输出信噪比迅速恶化,因此,在应用设计时应尽量使相关解调器具有大的过载能力; 此外, △fn过小会使测量时间过长,因此应该认识到:相关解调器的信噪比改善程度是有限的。
结 语
从上面的讨论可以看出,激光烟雾衰减测试系统中的调制盘使红外激光辐射由直流辐射变成了交变辐射,并且其输出的参考信号可以直接供锁定放大器使用,从而充分满足了锁定放大器在本系统应用中所需要的2个主要条件。应用锁定放大器后,系统的测量精度大大提高,抗背景辐射干扰的能力也大大增强,为烟雾研究部门测试烟雾的各项技术指标提供了更精确的测量手段。


