- 易迪拓培训,专注于微波、射频、天线设计工程师的培养
基于Labview的ICRH发射机监控系统的开发
我国第一个超导托卡马克HT-7装置,是一个庞大的核聚变环形真空磁笼实验装置,它主要包括HT-7超导托卡马克装置本体,大型超高真空系统,大型计算机控制和数据采集处理系统,大型高功率脉冲电源及其回路系统,有全国规模最大的低温液氦系统,兆瓦级低杂波电流驱动和射频波加热系统,以及数十种复杂的诊断测量系统等。核聚变研究的重要目的之一就是设法把等离子体加热到10keV以上。离子回旋波加热主要是通过天线将波的能量馈入到等离子体中。本文主要介绍了基于Labview的离子回旋共振加热发射机实时监控系统,对设备的电参数进行监测,并按要求对射频波形进行反馈控制;要检测的信号包括模拟电压、开关信号、脉冲信号,同时对信号进行快慢采集,并保存在硬盘。
2. HT-7离子回旋共振加热发射机系统原理及主要监控对象
本系统主要是对等离子体进行加热,故此输出功率较大,通过信号源首先输出30~150MHz,10mW的振荡信号,射频调制和宽带放大器及前级放大器、驱动级放大器、末级放大器三级放大,最后输出最大功率300kw,对真空室中的等离子体加热,本文主要对下图1所示部分的数据采集系统进行分析。本监控系统主要是对发射机的四极管各个管脚的电压、电流及功率的监控。由于采用的设备较为昂贵,四极管的各级电压达到几千伏,甚至几十千伏,电流达到几百安,同时四极管的各级参数的变化对发射机发射输出影响较大,同时也影响电子管的使用寿命,其中阳极的最高电压末级可以达到13.5KV,而末级的灯丝电流达到最高400A,在高的电压,大电流的情况下,在未全面了解系统情况下,对各电子管的各级的操作会有着意想不到的意外发生,轻则造成停机检修,影响试验进度,重则造成有关器件的损坏,造成无法修复的问题。故对放大器的检测无疑就成了重中之重。现阶段主要是通过一些模拟设备及现场观察来进行检测,本采集方案以期解决造成安全性、准确性、实时性得不到满足的问题。

图1 发射机系统原理图
3. 系统实现
3.1 硬件部分

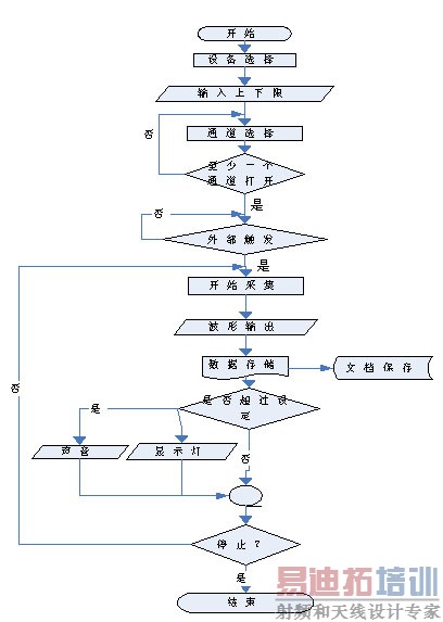
图2监控系统流程图
本采集系统由于测量的电流电压都较高,故此需要进行一些转换和隔离来获得输入计算机的信号,有关转换和隔离部分的硬件设计将不在此篇中介绍,主要对已经通过转换和光电隔离的信号后续处理过程进行探讨,采集卡采用National Instruments公司的PCI-6014多功能卡,具有16个单端输入或8个双端输入,精度为16位,采样率200kS/s,配置内存大小512个字,两个模拟输出通道,数据传送以DMA或中断方式进行,工控机一台,奔腾III主频为1GHz的处理器,512M内存,使用Win2000操作系统。
3.2 软件设计
从需求分析着手,按数据采集、数据分析、数据显示、数据传输等列出相关要求,通过对要求的分析及成本、精度的综合考虑,对软件和硬件部分提出相应的解决方案,软件系统的流程图如图2所示。由于采用多个采集设备,考虑对采集设备的选择,其次需要设置报警上下限,然后巡检输入通道,只要有一个通道被选,就可以进行采集,否则等待通道选择;加热系统与总控协调,波形数据采集等待触发,当外部触发发出后,触发本系统的卡D/A输出程序,输出需要的模拟信号,同时触发对反射入射波采集程序,并接受服务器发送炮号,作为采集数据的保存标志,便于后继分析。然后对每个通道的数据与设定值进行比较,如果在设定范围内,则不发出报警信号,否则,发出报警信号,显示报警部位,便于现场处理。针对以上要求,设计以下几个模块:设置模块、显示模块、保存模块、分析模块、反馈控制模块、通讯模块。设置模块其功能主要分为两大块,其一,对采样参数进行设置,即采样频率、采样数或采样时间、采样模式、采样通道的设置;其二,对放大器的栅极、偏压、阳极电压,灯丝电流的三级设置限制,预设形式保存在文件中;显示模块显示各通道采集的数据,以波形扫描方式进行显示,同时可以对图形进行放大、缩小、且有游标显示,便于比较信号和测量幅值,同时将测量的值与预设值进行比较,发出报警信号、报警灯或声音,同时显示报警部位和数值;保存模块功能在运行过程中,在外部触发后自动将运行期间有关参数保存为电子数据,并加入文件头及时间信息,便于以后分析,以炮号取名保存;分析模块提供简单的频谱分析和其他功能;反馈控制模块主要功能是在接受总控的触发后对波形设定值进行反馈控制。通讯模块从网上获得炮号数据,作为保存数据的识别标志,同时将实验时的相关数据进行发布。
3.3 模块及部分算法
为了对整个发射机工作状态达到较为完善的监控,整个系统中需要采用一定的算法来满足需求,其中包括通道选择算法,PID控制算法、多通道数据图像多道显示和多通道数据单道显示、消息机制,以下简单介绍通道选择算法和PID控制算法。该系统在Labview中实现,由于采用的是NI采集卡,可以在Measurement & Automation环境中可以按照要求任意设置虚拟通道,便于通道选择算法的实现,在Labview编程中,采用NI的可视化控件,同时采用其Ni-Daq控件,使数据的采集也变得尤为方便,并可同时进行一定的分析和显示。采用Labview软件对发挥原厂采集卡起到较大作用。

图3 通道选择算法流程图
3.3.1通道选择算法。
采集前,需要对采集卡16个通道进行设置,在采集过程中,要求可以任意更改通道,即随意切换通道数,并显示其通道采集值,同时不影响其他进程,并将各个通道是否被选以指示灯方式显示。基本流程如图3所示,通道的选取以数组方式传递给采集函数,首先设定输入通道,通道选择采用布尔类控件,通道控制采用Labview高级编程中的局部变量方式,映射通道选择布尔类控件状态,将所设置布尔值顺序输入一个布尔数组,然后对数组进行“或”操作,如果为真则继续,否则继续等待输入通道,这个目的是为了确保至少有一个通道打开时才可以进行采集。然后对此数组进行检索和追加字符串操作,形成以下字符串数组,即如果选择了第一和第二通道,则通道数组为[通道0,通道1]等等。这个数组可以事先在
Measurement & Automation Explore中进行设定,Labview采集过程中就可以识别这个数组;此外还考虑到采集前可能需要将所有通道一次全部打开,单个输入较为繁琐,这种情况下,

图4 通道选择算法在Labview中的实现
只要采用一个布尔控件,判断为真后形成一个全通道的字符串数组,即[通道0,通道1,通道2……通道15],这个数组可以直接给采集函数调用。通过以上的过程,在采集过程中可
以灵活的设置通道号,并独立于其他进程。图4为Labview中实现的程序,I0、I1……I15为通道布尔控件的局部变量,通过for和case结构,实现了输出采集通道数组,随时在线更改通道的功能。
3.3.2 PID控制算法
为了对输出波形进行设定控制,采用了PID控制算法,PID控制器运动方程为:

图5 PID输出在Labview中的实现方式
Y(t)=

其中Y(t)是输出信号,e(t)为输入偏差,Kp为放大倍数,Ti为积分时间常数,Td为微分时间常数。PID控制器在计算机上实现,采用增量算法,如下
增量算法在计算中不需要累加,增量输出只与前几次的采样输入有关,此算法是一个递归过程,实现过程较简单。在此应用中采用了Labview的PID控件实现了以上算法,同时可以对PID控制器参数进行设置,实现方式如图5所示。
4. 实际试验结果及结论
本监控系统在最近一次实验中,由于设置参数较合理、功能较为齐全,对发射机电参数的监控起到了重要的作用,图6为测试过程中截取的界面。在实验过程中,对异常现象的报警,为现场工作人员及时发现问题、解决问题提供了第一手资料,而且保存的数据为今后详细分析和仿真发射机的工作原理提供了极其重要的优化实验参数的依据。同时本文对在Labview下进行测试及自动化化应用方面有着很好的参考价值。
本文作者创新点在于,首先使用了高级编程方式中的局部变量,解决了以往在采集过程

图6 HT-7发射机监控系统界面截图
中无法动态更改通道的问题,对系统监控功能起到非常重要的作用;同时采用了PID控制算法,使反馈输出的准确性明显得到了改善,此外把声音及视觉报警功能、故障及运行数据保存、通讯功能加以整合,为现场处理及使用提供了方便、快捷的手段;此外此方法为计算机进行反馈及定时控制多支路系统的应用奠定了良好基础。


