- 易迪拓培训,专注于微波、射频、天线设计工程师的培养
如何测量随偏压变化的MLCC电容
对电容与偏压关系进行特征分析的理论
图1所示为一种测量直流偏压特性的电路。该电路的核心是运算放大器U1(MAX4130)。运放作为比较器使用,反馈电阻R2和R3增加滞回。D1将偏置设置在高于GND,所以不需要负电源电压。C1和R1从反馈网络连接至输入负端,使电路作为RC振荡器工作。电容C1为被测对象(DUT),作为RC振荡器中的C;电位计R1为RC振荡器中的R。

图1:对电容与偏压关系进行特征分析的电路。
运放输出引脚的电压波形Vy以及R、C之间连接点的电压Vx如图2所示。当运放输出为5V时,通过R1对C1进行充电,直到电压达到上限,强制输出为0V;此时,电容放电,直到Vx达到下限,从而强制输出恢复为5V。该过程反复发生,形成稳定振荡。

图2. VX和VY的振荡电压。
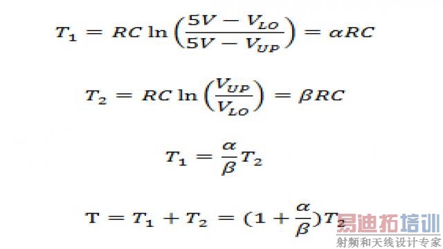
振荡周期取决于R、C,以及上门限VUP和下门限VLO:
由于5V、VUP和VLO固定不变,所以T1、T2与RC成比例(通常称为RC时间常数)。比较器门限是Vy、R2、R3及D1正向偏压(Vsub>Diode)的函数:

式中,VUP为Vy= 5V时的门限,VLO为Vy = 0V时的门限。给定参数后,这些门限的结果大约为:VLO为0.55V,VUP为1.00V。
Q1和Q2周围的电路将周期时间转换为比例电压。工作原理如下。MOSFET Q1由U1的输出控制。T1期间,Q1导通,将C3电压箝位至GND;T2期间,Q1关断,允许恒定电流源(Q2、R5、R6和R7)对C3进行线性充电。随着T2增大,C3电压升高。图3所示为三个周期的C3电压。

图3:T1期间,C3箝位至GND;T2期间,对其进行线性充电。
C3电压(VC3)平均值等于:
由于I、C3、α和β均为常数,所以C3的平均电压与T2成比例,因此也与C1成比例。
低通滤波器R8/C4对信号进行滤波,低失调运放U2 (MAX9620)对输出进行缓冲,所以,允许使用任何电压表进行测量。测量之前,该电路需要进行简单校准。首先将DUT安装到电路,将VBIAS设定为0.78V (VLO和VUP的平均值),所以DUT上的实际平均(DC)电压为0V。调节电位计R1时,输出电压随之变化。调节R1,直到输出电压读数为1.00V。在这种条件下,C3的峰值电压为大约2.35V。可更改偏置电压,输出电压将显示电容值的变化百分比。例如,如果输出电压为0.80V,在特定偏置电压下的电容值将为偏置为0V时的80%。
在一块小PCB上搭建图1电路。首先使用一个10μF电容进行测量。图4和图5分别显示了0V和5V偏压条件下的信号。

图4:VBIAS = 0V时的测量结果,Ch1 = Vx;Ch2 = Vy;Ch3 = VC3。调节R1,使电压表读数为1.000V。
图5. VBIAS = 5V时的测量结果。由于电容值减小,振荡周期已经明显缩短。Ch1 = Vx;Ch2 = Vy;Ch3 = VC3。电压表读数为0.671V。
0V偏压时,调节电位计R1,使电压表读数为1.000V。5V偏压时,电压表读数为0.671V,说明电容值为原来的67.1%。利用高精度计数器,也测得总周期T。0V偏压下的T为4933
s,5V偏压下为0V,说明电容值为原来的66.5% (即3278μs/4933μs)。这些值非常一致,证明电路设计可高精度测量电容值随偏压的变化关系。
现在执行第二项测量,从Murata提供的样本中抽取2.2μF/16V电容(型号为GRM188R61C225KE15)。本次测量中,在0V至16V整个工作范围内记录电容值。通过测量电路的输出电压和实际振荡周期,确定相对电容。此外,从Murata Simsurfing工具采集数据;该工具可根据Murata的测量值提供具体器件的直流偏置特性。结果如图6所示。两条测量数据曲线所示的结果几乎完全相同,证明时间-电压转换电路在较大动态范围内工作良好。Simsurfing工具得到的数据与我们的测量结果之间存在一定差异,但曲线的形状相似。

图6:2.2μF/16V MLCC的相对电容与偏置电压的关系曲线。电容值被标准化至0V偏压下的电容值。蓝色曲线基于电路输出电压的测量值;红色曲线基于振荡周期测量值;绿色曲线基于Murata Simsurfing工具提供的特征数据。
总结
利用介绍的电路、双电源和电压表,很容易测量高电容MLCC的直流偏压特征。简单的实验室测试能够证明电容值随偏置电压的变化。
上一篇:HAC电场和磁场测试简介
下一篇:在射频中如何实现功率的精确测量


