- 易迪拓培训,专注于微波、射频、天线设计工程师的培养
在OTA暗室中测GPS设备灵敏度方法讨论(一)
所谓GPS接收机的灵敏度,是指GPS接收机可以正常工作所需要的输入最小信号强度,一般用dBm表示。根据GPS接收机的不同工作状态,灵敏度又分为冷启动灵敏度、捕获灵敏度、跟踪灵敏度等。就像名称所述,捕获灵敏度代表接收机完成位置定位的最低功率等级。跟踪灵敏度是接收机能够追踪一个卫星的最低功率等级。
在本文中,我们针对跟踪灵敏度的测量提出了有别于传统传导式的空间测量方法。
首先,我们会从GPS接收机的通常结构讨论展开空间测量方法的必要性。在通常的设计中,GPS接收机具有以下流水结构:
图一
如图一所示,最前端是一个含有LNA的有源接收天线,其次是射频前端包含了一个LNA和一个带通滤波器,最后是一个GPS芯片。
可以看出,接收机的灵敏度受到两个方面的影响:1)GPS整个射频通道的性能,包括天线增益、通道增益、通道噪声系数等;2)GPS基带算法性能。另外,灵敏度还受到A/D量化损失等因素的影响。
业界所标称的接收芯片灵敏度都是指基带算法的性能,该性能是指基带算法对输入载噪比(C/N0,单位为dBHz)的要求,但业界对GPS接收芯片的灵敏度性能表述一般用dBm为单位。在不考虑射频通道任何损失的情况下,载噪比(C/N0)和输入信号强度(S)之间的关系为:
C/N0=S-(-174) e1
在考虑射频通道的情况下,系统灵敏度Sensitivitymin(dBm)与载噪比C/Nmin及噪声因子Freciever的关系为:
Sensitivitymin=-174dBm/Hz+C/Nmin+Freciever e2
其中

例如,标称跟踪灵敏度为-159dBm的芯片,实际上是指其基带部分所需要的输入最小载噪比为-159+174=15(dBHz)。如果射频通路设计不佳,则整个接收机的实际跟踪灵敏度比-159dBm要差。
所以说,从上面的分析可以看出厂商所标称的跟踪灵敏度,以及用射频传导方法测量所得的跟踪灵敏度在实际上会有相当的差别。
而从图一及e3 我们可以发现,在射频传导方式下,第一个有源天线将会被忽略,而在整个射频通道中,对系统噪声因子影响最大却是这个包含LNA的有源天线。同样,他对整个系统的跟踪灵敏度有着重要的影响。
例如,如图一所示的GPS接收机部件有如下(表一)增益及噪声系数,

表一
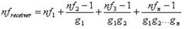
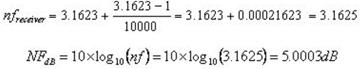
在考虑有源天线及其LNA的情况下,根据公式e3我们可得:

而在不考虑有源天线及其LNA的情况下,根据公式e3我们可得:

虽然e6是业界进行GPS跟踪灵敏度计算的经典的理论算法,如果只用载噪比衡量追踪灵敏度,自然NF对其影响不大,但是如果考虑到整个射频通道的设计的情况下,从e5和e6我们可以看出考虑及不考虑有源天线所带来的影响。这个影响将直接通过式e2反应出来。
所以说,对整个接收机进行空间方式的灵敏度测量更为直观及准确,这也是本文的出发点所在。
下期将对测量方法的实现进行分析及讨论。
上一篇:在UN
38.3测试中可能出现的问题
下一篇:浅谈功率测量


