- 易迪拓培训,专注于微波、射频、天线设计工程师的培养
简述GPS技术在工程测量中的应用
GPS技术给测绘界带来了一场革命。利用载波相位差分技术(RTK),在实时处理两个观测站的载波相位的基础上,可以达到厘米级的精度。与传统的手工测量手段相比,GPS技术有着巨大的优势: 测量精度高; 操作简便,仪器体积小,便于携带; 全天候操作;观测点之间无须通视;测量结果统一在WGS84坐标下,信息自动接收、存储,减少繁琐的中间处理环节。 当前,GPS技术已广泛应用于大地测量、资源勘查、地壳运动、地籍测量等领域。本文介绍GPS在山区工程测量中的应用,并提出几点体会。
1、GPS简介
1.1GPS构成
GPS主要由空间卫星星座、地面监控站及用户设备三部分构成。
(1)GPS的空间部分是由24颗工作卫星组成,它位于距地表20200km的上空,均匀分布在6 个轨道面上(每个轨道面4 颗),轨道倾角为55°。此外,还有3 颗有源备份卫星在轨运行。卫星的分布使得在全球任何地方、任何时间都可观测到4 颗以上的卫星,并能在卫星中预存的导航信息。GPS的卫星因为大气摩擦等问题,随着时间的推移,导航精度会逐渐降低。
(2)地面控制系统由监测站(MonitorStation)、主控制站(MasterMonitor Station)、地面天线(Ground Antenna)所组成,主控制站位于美国科罗拉多州春田市(Colorado Spring)。地面控制站负责收集由卫星传回之讯息,并计算卫星星历、相对距离,大气校正等数据。

(3)用户设备部分即GPS 信号接收机。其主要功能是能够捕获到按一定卫星截止角所选择的待测卫星,并跟踪这些卫星的运行。当接收机捕获到跟踪的卫星信号后,就可测量出接收天线至卫星的伪距离和距离的变化率,解调出卫星轨道参数等数据。根据这些数据,接收机中的微处理计算机就可按定位解算方法进行定位计算,计算出用户所在地理位置的经纬度、高度、速度、时间等信息。接收机硬件和机内软件以及GPS 数据的后处理软件包构成完整的GPS 用户设备。GPS 接收机的结构分为天线单元和接收单元两部分。接收机一般采用机内和机外两种直流电源。设置机内电源的目的在于更换外电源时不中断连续观测。在用机外电源时机内电池自动充电。关机后,机内电池为RAM存储器供电,以防止数据丢失。目前各种类型的接受机体积越来越小,重量越来越轻,便于野外观测使用。其次则为使用者接收器,现有单频与双频两种,但由于价格因素,一般使用者所购买的多为单频接收器。
1.2GPS定位原理
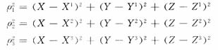
GPS定位是根据测量中的距离交会定点原理实现的[2].如图1所示,在待测点Q设置GPS接收机,在某一时刻tk同时接收到3颗(或3颗以上)卫星S1、S2、S3所发出的信号。通过数据处理和计算,可求得该时刻接收机天线中心(测站点)至卫星的距离ρ1、ρ2、ρ3.根据卫星星历可查到该时刻3颗卫星的三维坐标(Xj,Yj,Zj),j=1,2,3,从而由下式解算出Q点的三维坐标(X,Y,Z):

1.3GPS测量的特点
相对于常规测量来说,GPS测量主要有以下特点:①测量精度高。GPS观测的精度明显高于一般常规测量,在小于50km的基线上,其相对定位精度可达1×10-6,在大于1000km的基线上可达1×10-8.②测站间无需通视。GPS测量不需要测站间相互通视,可根据实际需要确定点位,使得选点工作更加灵活方便。③观测时间短。随着GPS测量技术的不断完善,软件的不断更新,在进行GPS测量时,静态相对定位每站仅需20min左右,动态相对定位仅需几秒钟。④仪器操作简便。目前GPS接收机自动化程度越来越高,操作智能化,观测人员只需对中、整平、量取天线高及开机后设定参数,接收机即可进行自动观测和记录。⑤全天候作业。GPS卫星数目多,且分布均匀,可保证在任何时间、任何地点连续进行观测,一般不受天气状况的影响。⑥提供三维坐标。GPS测量可同时精确测定测站点的三维坐标,其高程精度已可满足四等水准测量的要求。
2、应用实例
2.1工程概况
本文涉及的工程由某集团公司投资建造,是一个集休闲、娱乐、旅游、渡假等功能于一体的综合项目。工程位于城郊,占地66.7hm2多,属两山夹一沟地形,山地面积约占三分之二。最高处约90m.山上树木茂盛,地形复杂,通视困难,行走不便。为了该工程的设计和施工,需建立首级控制网。考虑到工程复杂,工期较紧,测区通视困难,地形起伏大等因素,决定采用GPS测量。
2.2GPS测量的技术设计
(1)设计依据GPS测量的技术设计主要依据1999年建设部发布的行业标准《城市测量规范》、1997年建设部发布的行业标准《全球定位系统城市测量技术规程》[3]及工程测量合同有关要求制定的。
(2)设计精度根据工程需要和测区情况,选择城市或工程二级GPS网作为测区首级控制网。要求平均边长小于1km,最弱边相对中误差小于1/10000,GPS接收机标称精度的固定误差a≤15mm,比例误差系数b≤20×10-6.

(3)设计基准和网形如图2所示,控制网共12个点,其中联测已知平面控制点2个(I12,I13),高程控制点5个(I12,I13,105,109,110,其高程由四等水准测得)。采用3台GPS接收机观测,网形布设成边连式。
(4)观测计划根据GPS卫星的可见预报图和几何图形强度(空间位置因子PDOP),选择最佳观测时段(卫星多于4颗,且分布均匀,PDOP值小于6),并编排作业调度表。
2.3GPS测量的外业实施
(1)选点GPS测量测站点之间不要求一定通视,图形结构也比较灵活,因此,点位选择比较方便。但考虑GPS测量的特殊性,并顾及后续测量,选点时应着重考虑:①每点最好与某一点通视,以便后续测量工作的使用;②点周围高度角15°以上不要有障碍物,以免信号被遮挡或吸收;③点位要远离大功率无线电发射源、高压电线等,以免电磁场对信号的干扰;④点位应选在视野开阔、交通方便、有利扩展、易于保存的地方,以便观测和日后使用;⑤选点结束后,按要求埋设标石,并填写点之记。
(2)观测根据GPS作业调度表的安排进行观测,采取静态相对定位,卫星高度角15°,时段长度45min,采样间隔10s.在3个点上同时安置3台接收机天线(对中、整平、定向),量取天线高,测量气象数据,开机观察,当各项指标达到要求时,按接收机的提示输入相关数据,则接收机自动记录,观测者填写测量手簿。
2.4GPS测量的数据处理
GPS网数据处理分为基线解算和网平差两个阶段,采用随机软件完成。经基线解算、质量检核、外业重测和网平差后,得到GPS控制点的三维坐标(见表1),其各项精度指标符合技术设计要求。

3、结束语
通过GPS在测量中的应用,得到如下体会。
(1)GPS控制网选点灵活,布网方便,基本不受通视、网形的限制,特别是在地形复杂、通视困难的测区,更显其优越性。但由于测区条件较差,边长较短(平均边长不到300m),基线相对精度较低,个别边长相对精度大于1/10000.因此,当精度要求较高时,应避免短边,无法避免时,要谨慎观测。
(2)GPS接收机观测基本实现了自动化、智能化,且观测时间在不断减少,大大降低了作业强度,观测质量主要受观测时卫星的空间分布和卫星信号的质量影响。但由于各别点的选定受地形条件限制,造成树木遮挡,影响对卫星的观测及信号的质量,经重测后通过。因此,应严格按有关要求选点,择最佳时段观测,并注意手机、步话机等设备的使用。
(3)GPS测量的数据传输和处理采用随机软件完成,只要保证接收卫星信号的质量和已知数据的数量、精度,即可方便地求出符合精度要求的控制点三维坐标。但由于联测已知高程点较少(仅联测5个),致使的控制点高程精度较低。因此,要保证控制点高程的精度,必须联测足够的已知高程点。


