- 易迪拓培训,专注于微波、射频、天线设计工程师的培养
多功能电阻测试仪校准系统设计
回路电阻测试仪和直阻仪是电力设备设施检测的常用设备。回路电阻测试仪是用于测量开关、断路器、变压器等设备的接触电阻、回路电阻的专用测试设备,其测试电流为100 A或更大的直流电流,也被称为“接触电阻测试仪”[1]。直阻仪是用于测量变压器、互感器、电机绕组等感性被测对象的直流电阻的专用测试设备,也被称为“直流电阻快速测试仪”[2]。
接地导通电阻测试仪是用于测量交流电网供电的电器设备(如家用电器、电动电热器具、医用电气设备及测量、控制和实验室用电气设备等)的可触及金属壳体与该设备引出的安全接地端(线)之间导通电阻的仪器。
回路电阻测试仪、直阻仪和接地导通电阻测试仪都是测量电阻的仪器[3],采用典型的四线制测量法,通过输出一个直流或交流电流,施加于被测体的两个端钮之间,并测量电流流过被测体所产生的压降,然后通过电压和电流之比得出被测体的电阻值。根据相关规程要求,这三类仪器需检定项目基本一致,本文提出的多功能电阻测试仪校准系统,摒弃传统电阻箱方案,采用精密仿真电阻技术和大电流测量技术,可模拟连续1uΩ~3.75Ω任意电阻值,能满足大部分回路电阻测试仪、直阻仪及接地导通电阻测试仪的检定需求。
2.技术原理及其实现
本系统是基于电流型有源模拟器设计的,采用直流比较仪作为电流转换装置。依据《DL/T 967-2005回路电阻测试仪与直流电阻快速测试仪检定规程》,有源模拟电阻器包括电流型有源模拟电阻器和电压型有源模拟电阻器。电流型有源模拟电阻器相相比电压型有源模拟电阻器降低对无源标准电阻器的功率要求,由于没有实际的电流功耗,避免了无源标准电阻器在大电流测试时温漂影响[4]。
本系统中难点在于电流转换装置的设计,因需要将被检测试仪产生高达600 A的大电流按一定比例转换成小电流,转换精度直接影响模拟电阻精度。本系统采用新型直流比较仪[5]进行电流转换,相比传统的直流比较仪能够快速捕捉电流的快速变化,且测量频率范围宽(见图1)

图1新型直流比较仪
Fig.1 A improved DC comparator
该直流比较仪由双铁芯叠加绕线而成。S、C为A和B共同绕组,S为磁通检测绕组,C为比较仪次级绕组,N4单独绕制在铁芯A上,为激励绕组。其中铁芯A由高导磁率软磁材料制作,铁芯B由低导磁率铁氧体材料制作。

图2铁芯B测量电路
Fig.2 Measuring circuit of iron core B
图2为铁芯B测量电路图。实现原理:S线圈检测磁通经过磁通检测模块转换为电压信号,控制功率放大器增大或减少输出,流经次级绕组电流随之增加或减小,通过不断的调节,最终使得铁芯B达到磁平衡。系统平衡建立的时间不超过1μs。通过标准电阻R进行电流采样,测试得到Us。从而可以计算出IP值。同时磁通信号可作为报警信号等状态信号。

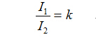
式中:k为比例常数。
3.系统的硬件及软件设计
3.1系统原理
系统是基于电流型有源模拟电阻器原理进行拓展设计的,将被检测试仪产生的大电流输入到本系统的电流转换模块按一定比例转换成小电流,通过精密电阻转换成小电压,后经过电压采样及增益模块放大成比例电压信号输入到分压模块,由控制器进行控制其分压比,最后经过缓冲电路输出给被测仪器的电压采样端,形成测试回路。通过由微控制器控制分压模块电路中的分压比调节检定时检点电阻的阻值。电压采样及程控放大模块输出另一路电压输入到A/D采样模块,由控制器进行运算出对应的示值电流及做相关分析。原理框图如图3所示。

图3系统原理框图
Fig.3 Schematic diagram of the system
被检测试仪输出大电流I1经过宽频直流比较仪转换成小电流I2

式中I1—被检测试仪产生的大电流
k—宽频直流比较仪变比。
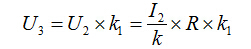
小电流I2经过精密电阻电路后得到电压U2

式中R—精密电阻的阻值。
电压U2经过电压采样及增益模块后得到电压U3

式中k1—U2经过电压采样及程控放大模块电压信号放大比例系数。
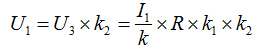
电压U3送入A/D采样模块,由控制器运算对应的示值电流及做相关运算分析,经过分压模块输出电压值U1。

式中k2—U3经过分压模块由控制器设定的放大比例系数。
因此被检电阻测试仪所测得的实际电阻值R1

系统中精密电阻的阻值R为固定值,信号放大比例系数k1、直流比较仪变比k值保持不变。因此检定时,微控制器控制分压模块中的分压比即k2值便可调节出不同的检定电阻阻值。
3.2 硬件设计
考虑到系统的实时性比较强,采用最新架构嵌入式微处理器加外围设计电路搭建的平台进行开发,系统硬件结构框图如图4所示。

图4系统硬件结构框图
Fig.4 Hardware structure of the system
3.2.1 电源模块
整个电源模块的设计采用线性电源,且数字部分和模拟部分相互隔离,模拟部分各路电源供电也相互隔离或用磁珠相连,减少电源的纹波和噪声对整个系统的干扰及减少系统之间各部分相互干扰,保证整个系统的高精度及高线性度。
3.2.2 数字部分
微处理器具体采用新架构的微处理器,具有强大的处理能力及丰富的接口,本设计在其上移植嵌入式实时操作系统来完成整个系统的数据处理及相关调度。微处理器内部集有设计中常有的资源,本设计用到的资源,如图4中数字部分:3个独立的USART接口,一个连接显示模块,为面板显示提供人机界面,工作时显示出整个系统的运行情况并通过LCD上的触摸屏与用户进行实时交互,一个连接按键组,使用户操作更加方便快捷,一个通过RS232电平转换芯片与上位机提供连接接口;1个IIC接口,连接存储芯片来增加存储空间;2个SPI接口,一个连接模拟部分的DA乘法器设定分压模块的放大比例系数,一个连接模拟部分A/D转换器,获取采样的电压信号并运算对应的示值电流及做相关运算分析;部分的GPIO接口,控制模拟部分的程控放大及获取报警状态等。
3.2.3模拟部分
系统在基于电流型有源模拟电阻器原理基础上进行拓展设计的,如图4模拟部分:保护电路:保护系统,当被检测试仪产生的大电流超过系统所能承受的范围时,产生报警信号通过MCU控制蜂鸣器给用户发出报警,并自动断开测试回路,保护系统不被检测仪产生的大电流损坏;宽频直流比较仪:将被检测试仪产生的大电流按一定比例转换成小电流。差分采样:与精密电阻R一起将小电流信号转换成电压信号,差分采样大大降低了前端采样共模噪声的干扰;增益:通过MCU控制实现电压信号不同量程下对应比例的放大;A/D转换器:将电压信号转换成数字信号通过隔离的SPI接口送入到MCU,运算出对应的示值电流及做相关分析;DA乘法器:MCU通过电气隔离的SPI接口控制DA乘法器输出来调节分压比达到系统调节电阻阻值的目的。
3.3软件设计
本设计采用实时嵌入式操作系统[6]作为开发平台,具体流程如图5所示。
(一)初始化,将操作系统、程序变量及硬件相关配置进行初始化;
(二)创建任务,包括建立按键响应任务、数据处理任务、显示任务、通信任务、故障处理任务等;
(三)任务调度。系统通过液晶屏、触摸屏和按键旋钮等和用户进行交互,调用程序中的相关任务线程控制相关硬件完成电流测量、报警处理、误差计算、电阻值设置、参数设置等功能。

图5程序流程图
Fig.5 The program flow chart
4.系统的测试结果
4.1验证电路
参考《JJG l66—93直流电阻器》检定规程采用伏安法进行校准,以验证多功能校准系统的准确度是否符合设计的技术指标。可调恒流源提供了测试的电流,量程为0~600 A;电流转换器和电压表一起组成了电流测量标准装置。整个校准方案测试系统构成如图6所示。

图6多功能校准系统校准装置框图
Fig.6 Block diagram of multifunction calibration system
4.2数据分析
多功能校准系统校准装置对系统进行校准测量。
4.2.1电流测量误差
表1为20 A量程下在不同电流测试时的相对误差,相对误差小于0.011%。
表2为100 A量程下在不同电流测试时的相对误差,相对误差小于0.01%。
表1 20A量程下在不同电流测试时的误差 | |||||||||
实际电流/A | 4.0000 | 6.0000 | 8.00009 | 10.00002 | 12.0000 | 14.00004 | 15.99999 | 18.00000 | 20.00015 |
测量电流/A | 3.9996 | 5.9996 | 7.9996 | 9.9996 | 11.9996 | 13.9996 | 15.9997 | 17.9997 | 20.0000 |
误差 /% | -0.0102 | -0.0067 | -0.0062 | -0.0042 | -0.0034 | -0.0031 | -0.0018 | -0.0017 | -0.0007 |
表2 100A量程下在不同电流测试时的误差 | ||||||||
实际电流/A | 29.9996 | 40.0001 | 50.0001 | 59.9999 | 70.0008 | 80.0006 | 89.9995 | 100.0019 |
测量电流/A | 29.998 | 39.998 | 49.999 | 59.999 | 69.999 | 79.998 | 89.999 | 100.001 |
误差/% | -0.0054 | -0.0052 | -0.0022 | -0.0014 | -0.0026 | -0.0033 | -0.0006 | -0.0009 |
4.2.2电阻误差
表3为75 mΩ时不同测试电流下的实际电阻值,其相对误差小于0.003%。表4为固定测试电流100 A时模拟大功率电阻不同阻值时的误差,从表中可看出,其相对误差都在0.004% 内。这是由于系统采用的器件件如直流比较仪、差分采样放大器、信号放大器、D/A转换器等都是高线性度元件,保证系统的高线性度。经过多次及不同阻值及电流下的测试验证,系统模拟输出电阻准确度都能在0.02%范围内,符合设计要求。
表375mΩ在不同输入电流时的误差 | ||||||||
实际电流/A | 29.9996 | 40.0001 | 50.0001 | 59.9999 | 70.0008 | 80.0006 | 89.9995 | 100.0019 |
实际电阻/mΩ | 74.9996 | 74.9977 | 75.0002 | 75.0002 | 74.9997 | 74.9992 | 75.0016 | 75.0015 |
误差/% | -0.0005 | -0.003 | 0.0003 | 0.0003 | -0.0004 | -0.0010 | 0.0021 | 0.0019 |
表4 100A测试电流下不同电阻值的误差 | |||||||
模拟电阻/mΩ | 7.5 | 22.5 | 30.0 | 45.0 | 60.0 | 67.5 | 75.0 |
实际电阻/mΩ | 7.5003 | 22.5001 | 30.0011 | 45.0009 | 60.0006 | 67.5001 | 75.0015 |
误差/% | 0.004 | 0.0004 | 0.0037 | 0.002 | 0.001 | 0.0001 | 0.0019 |
5.结论
本文设计的多功能电阻测试仪校准系统在传统电流型有源模拟电阻器有所创新,采用精密仿真电阻技术和大电流测量技术,并将三类仪器检定装置合并,电阻值可设置范围广,可模拟连续1uΩ~3.75Ω任意电阻值,达到10nΩ的分辨力和0.02级的精度;测试电流范围大,最高可达600 A和0.02级的精度,相关技术指标已达到国内行业内领先水平,满足三类仪器的检定要求,已广泛应用于回路电阻测试仪、直阻仪和接地导通电阻测试仪等仪器的检定工作。
参 考 文 献
[1]JJG1052-2009,回路电阻测试仪、直阻仪检定规程[S].
[2] DL/T967-2005,回路电阻测试仪与直流电阻快速测试仪检定规程[S].
[3]李瑞坚.回路电阻测试仪校准方法研究及不确定度评定[J].计量与测试技术,2014,41(5):35-37.
[4]李宝树.电磁测量技术[M].北京:中国电力出版社,2007.
[5]李维波,毛承雄,陆继明,等.基于饱和电抗器结构下的新型直流比较仪原理[J].电力系统自动化,2005,29(4):24-28.
[6]李志明,檀永等.STM32嵌入式系统开发实战指南[M].北京:机械工业出版社,2013.
上一篇:基于工频交变磁场干扰的电能误差测量系统
下一篇:测量单片磁导计等效磁路长度的研究


