- 易迪拓培训,专注于微波、射频、天线设计工程师的培养
电子电气类产品噪声测试简介
基本概念介绍:
1)声音:物体振动产生的,当振动频率在20-20000Hz时候作用于人引起的感觉。
2)噪声:为人们生活和工作所不需要的声音。
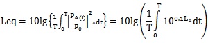
3)时间平均声级或等效连续声级
。
A计权声级能够较好地反映人耳对噪声的强度与频率的主观感觉,因此对一个连续的稳态噪声。对一个起伏的或不连续的噪声,用等效连续声级即
来评估。
是用一个相同时间内声能与之相等的连续稳定的A声级来表示该段时间内的噪声的大小。

是瞬时A计权声压,
是参考声压,
是变化A声级的瞬时值,单位dB;T是某段时间的总量。实际测量噪声是通过不连续的采样经行测量,假设时间间隔相等,则:

N 是测量的声级总个数,
是采样到的第i个A声级。对于连续的稳定噪声,等效声级就等于测得的A声级。
4)响度是人耳判别声音由轻到响的强度等级概念,根据得出的声压级根据右图即可以得到其响度级
,再由响度与响度级的关系
得到其噪声响度值N。

等响度曲线
根据前面介绍的相关概念,我们测试1/3倍频程A计权的噪声的具体操作方法如下:
一、测试范围:
电子电气类产品空气噪音,最小测量噪音为15dB。
二、主要所用仪器设备:
R&S UPV音频分析仪
B&K Dual Microphone supply 麦克风电源
B&K Microphone 4192 麦克风
B&K 4231 标准音源
全消音室
三、测试系统框图及测试设备实物图:

测试系统框图

摩尔实验室音频及噪音测试系统
四、噪音测试的具体方法:
1. 使用UPV设置倍频程选择、测试范围、计权方式、测量时间(均根据测试要求进行相关设置)得出频谱图数据,根据得到的电平值
换算为压强值
,
2.得出去在各个频点的声压如下公式计算
,
3.根据得出数据得到的噪声1/3倍频程谱图如下图:

上一篇:浅析占用带宽测试
下一篇:红外测温仪在电器应用中的作用


