- 易迪拓培训,专注于微波、射频、天线设计工程师的培养
基于网络分析仪提高低噪放的测量精度
1. 低噪声放大器的特点和应用
LNA主要用于微弱信号的放大,放大天线从空中接收到的微弱信号,降低噪声干扰,以供系统解调出所需的信息数据。对LNA的主要要求是:小的噪声系数(NF),即LNA本身产生的噪声功率小,噪声是限制微弱信号检测的基本因素, 任何微弱的信号理论上都可以经过LNA放大后被检测到,因此检测能力取决于信号噪声比;高的增益,具有较好平坦度的高增益不仅可以有效地放大信号,而且可以减小下级噪声的影响;大的动态范围,以给输入信号一个变化的范围而不产生失真;与信号源很好地匹配,在此LNA前端通常是射频无源滤波器,这种滤波器的传输特性对其负载敏感,因此需要有优异的输入输出反射损耗,另外LNA的非线性引起的三阶交调失真也是一个重要的指标。
LNA广泛应用于微波通信、微波测量、雷达等接收系统,是接收机电路中的第一个有源电路,输入端接RF滤波器,输出端接镜像抑制滤波器或直接连接混频器,其主要功能是将来自天线的微伏级电压信号进行放大。作用距离远、覆盖范围大以及失真小等都已成为Radar, E/W, Satellite和GPS系统的普遍追求,这就对系统的接收灵敏度提出了更高的要求,我们知道,系统接收灵敏度的计算公式如下:

由上式可见,在各种特定(带宽、解调S/N已定)的无线通讯系统中,能有效提高灵敏度的关键因素就是降低接收机的噪声系数NF,而决定接收机的噪声系数的关键部件就是处于接收机最前端的LNA,所以如何精准的测量LNA的各种指标参数是尤为重要的。
2. 校准原理
校准的目的是为了消除测试系统中存在的系统误差。必须认识到校准本身也是一种测试过程,即用网络分析仪对已知高精度参数的标准校准件进行测量,网络分析仪测试的结果与系统中存储的校准件参数数据进行比对,两组数据之间必然存在误差,这些误差是由于网络分析仪的系统误差所引起,从而获取网络分析仪的系统误差。这些误差在后续的测量过程中将被消除掉,最终得到被测器件的测量结果。
校准的基本类型有单端口校准,双端口校准,归一化校准还有今年刚刚推出的增强型响应校准(Enhanced Response Calibration)。对于放大器测量,我们常常需要测量正向增益,输入端损耗,输出端损耗和反向隔离度,因此需要双端口校准。双端口误差模型如下:

图1. 前向误差模型。

4. 传统校准与测试
假设低噪声放大器的输入电平要求为-60dBm, 反向隔离度为40dB,工作频段从1.8 GHz到2.0 GHz。
一般情况下,工程师设置网络分析仪:起始频率为1.8 GHz,终止频率为2.0 GHz,功率为-60 dBm,中频带宽为10kHz。完成设置后,按图5所示连接电子校准件(也可以使用机械校准件)进行双端口校准。然后按图6所示连接放大器,进行测量,测试结果如图7所示。可以看出,测试结果抖动非常大,出现了毛刺,这是实际应用中所不能接受的。

图7. 优化前测量结果。

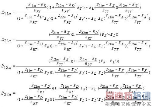
以上12项系统误差,通过双端口校准可以获得。校准后,对被测件进行测量,测量过程得到四个测量S参数S11m,S21m,S12m和S22m。基于图3所示的四个双端口误差修正公式,消除12项系统误差,最终计算出实际需要的被测件的四个S参数S11a,S21a,S12a和S22a。

| 图3. 双端口校准误差修正公式。 |
图3四个公式简化为:

注:E12代表12项系统误差,S参数下标a为Actual实际值, m为Measure测量值。
结论:每个实际S参数是四个测试S参数和12项系统误差的函数。因此,要想获得高精度的S参数测量结果,必须保证四个测试S参数的测量精度和12项系统误差的准确度。
3. 网络分析仪系统结构
要想获取高精度的测量结果,必须非常清楚地理解网络分析仪的系统结构。安捷伦最新的网络分析仪PNA-X的系统结构如图4所示

前向测量时,B为测试接收机,A为反射接收机,R1为参考接收机;反向测量时,A为测试接收机,B为反射接收机,R2为参考接收机。两个35dB衰减器为接收机衰减器,用来避免大功率使接收机压缩;两个65dB衰减器为前向和反向源衰减器,改变端口输出功率范围。对应每个端口在后面板都有一个Bias-T直流偏指输入口,对放大器提供直流信号。
四个S参数定义如下:
前向:S11=A/R1,S21=B/R1 反向:S22=B/R2,S12=A/R2
4. 传统校准与测试
假设低噪声放大器的输入电平要求为-60dBm, 反向隔离度为40dB,工作频段从1.8 GHz到2.0 GHz。
一般情况下,工程师设置网络分析仪:起始频率为1.8 GHz,终止频率为2.0 GHz,功率为-60 dBm,中频带宽为10kHz。完成设置后,按图5所示连接电子校准件(也可以使用机械校准件)进行双端口校准。然后按图6所示连接放大器,进行测量,测试结果如图7所示。可以看出,测试结果抖动非常大,出现了毛刺,这是实际应用中所不能接受的。

图5. 校准。& 图6. 测试。

图7. 优化前测量结果。
5. 对传统测试中存在问题的分析及解决方案
1) 校准功率电平比较低
校准是获取高精度测量结果的先决条件,如果校准精度差,绝对不可能得到比较高的测量精度,因此必须尽可能提高校准的精度。上面谈到校准本身也是一种测量过程,即用标准校准件测量网络分析仪自身系统误差。
安捷伦PNA-X内部信号源的功率范围从-30dBm到+13dBm或更高(最大功率输出取决于频段),由于PNA-X有65dB的源衰减器,因此功率电平最低可以到-95dBm。如果手动设置衰减器为30dB, PNA-X源的输出功率范围为从-60dBm到-17dBm。
使用网络分析仪非常重要的一点,如果网络分析仪衰减器不变,校准后,改变功率大小,基本上不影响测量精度。因此校准时,功率可以设置为-20dBm而不是-60dBm,这样可以提高校准精度。校准完成后,把功率设置为-60dBm,以便于满足LNA的测试条件。
完成双端口校准后,直通连接。功率为-60dBm与-20dBm的校准误差对比如图8所示。

图8. 功率不同时校准误差对比。
2) PNA-X端口2输出功率较低
PNA-X缺省模式下,端口1与端口2功率为耦合状态,因此端口2的输出功率也为-60dBm。由于校准为2端口校准,即使屏幕上不测试S12隔离度,网络分析仪后台也在测量S12,因为根据图3的公式或简化公式,放大器S21a需要S12m。网络分析仪在测试S12m时,由于端口2输出电平为-60dBm和隔离为40dB,到达端口1的功率为-100dBm,再经过端口1定向耦合器的15dB衰减的耦合壁到达A接收机的功率为-115dBm。-115dBm接近接收机的低噪,因此S12m的测量精度非常差,从而导致四个实际S参数的测试精度非常差。
网络分析仪的两个端口功率可以设置为非耦合状态,也就是端口2的功率可以与端口1的功率设置不一样。我们可以设置端口1输出功率-60dBm,端口2输出功率0dBm,这样可以保证S12m的测量精度, 从而使得4个S参数测量精度大大提高。
3) 校准时中频带宽值较大
由于校准是为了获得网络分析仪的系统误差,因此校准时,中频带宽建议设置为100Hz,完成校准后,为了提高测试速度,可以把中频带宽提高到10kHz或1kHz,这样的改变并不会明显改变校准的状态和影响测试结果。
解决上面三个问题后,重新进行校准和测量,测量结果如图9所示,可以看出抖动和毛刺现象不见了,测量结果比较理想。

图9. 优化后测量结果。
6. 总结
现代的LNA设计指标越来越好,优异的LNA性能对传统的参数测量方法提出了很大挑战,但是通过合理地设置网络分析仪以及优化校准过程,可以获得较高的测量精度。


