- 易迪拓培训,专注于微波、射频、天线设计工程师的培养
逻辑分析仪需要多少带宽
录入:edatop.com 点击:
在数字系统设计中,随着数据速率提高及上升时间缩短,逻辑分析仪的应用局限性,越来越受到关注。逻辑分析仪从一种数字测量工具应用,过渡到其模拟特点的应用中,如未被完全理解,这一过程可能会导致一些负面后果,本文将介绍讨论逻辑分析仪的数字信号转换成模拟指标的三种技术,以便分析负荷和逻辑分析仪带宽,应对减短产品开发周期的问题。
在讨论带宽和逻辑分析仪时,人们经常出现混淆。传统上,逻辑分析仪被认为是一种纯粹的数字测量工具。但是,随着数据速率提高及上升时间缩短,设计人员正被迫了解这一工具的模拟特点。设计人员面临的最大问题之一,是保证其检验工具能够以这些更高的频率工作。在未能全面理解时,设备带宽和负荷等因素可能会导致假负数,中断系统。数字系统设计人员必须信任自己的逻辑分析仪,以实现最快的产品开发周期。随着频率不断提高,必需使用与示波器一样的模拟精密性对待逻辑分析仪前端。
在分析系统和检验工具的带宽时,工程师必须了解两个主要考虑因素。第一个是PCB上数字信号中存在的频率成分及其与逻辑分析仪带宽的相关方式。第二个是探头负荷怎样与这些频率交互。这两种考虑因素都溯及数字信号转换成模拟指标及怎样使用这些指标分析能否进行成功测量的原理。下面几节将讨论把数字信号转换成模拟指标的三种技术。这三种转换是上升时间转换成带宽、拨码速率转换成带宽和脉宽转换成带宽。一旦能够使用带宽描述数字信号,就可以简便地分析负荷和逻辑分析仪带宽。
1. 把上升时间转换成带宽
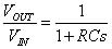
把数字信号的上升时间转换成模拟带宽最流行的方法是使用单极RC电路,建立标准负荷的响应模型。它同时在时域和频域中对电路求解,并使用电阻和电容生成上升时间和带宽的经验法则。上升时间和带宽通过代入法进行组合,得到电阻和电容跌落值,得到上升时间和带宽之间的线性关系。图1说明了这一推导中使用的RC电路,以建立标准负荷模型。

图1. 在时域和频域中对RC电路求解,得到上升时间和带宽之间的线性关系。
在这一推导过程中,第一步是在时域中对电路求解,假设其以单位步进(u(t))驱动。这一电路的通用求解公式是:

由于上升时间定义为VOUT从10%转换到90%使用的时间,我们可以对公式求解,得到两个单独的求解。第一个求解是从0伏转换到VOUT的10%所需的时间。为完成这一求解,VIN设成1 V,VOUT设成0.1伏。第二个求解以相同方式获得,但VOUT设成0.9伏。由于上升时间定义为这两个求解之间的时间,因此把两个结果相减,得到RC电路上升时间的经验法则。

这一推导的第二步是在频域中对同一个RC电路求解。这一电路的通用求解公式如下:

由于带宽定义为响应幅度衰减30%时的频率,那么可以对这一表达式求解,得到经验法则。

现在,我们得到使用电阻和电容表示的上升时间和带宽的一般表达式,可以把这两个表达式结合在一起,获得一个线性关系。现在可以使用这个表达式,在数字信号的上升时间与上升时间拥有的频率成分之间实现迅速转换。

2. 把拨码速率转换成带宽
可以使用傅立叶变换,把信号的数字拨码速率转换成频率表示。在傅立叶分析中,有一个基本变换集合,可以根据应用对其进行定标。在傅立叶表示中,周期信号表示为时域中以希望周期发生的一串脉冲。这类表示方式称为Shaw函数 (III(t))。其变换到频域中另一个Shaw函数 (III(s))。两个域之间的定标通过相似性定理实现,两个域之间存在相反的关系(即时域中的脉冲间隔越近,频域中的脉冲间隔越宽)。

数字系统中通常使用的经验法则是系统必须有足够的带宽,能够捕获数字脉冲串的第三个谐波。在把这与Shaw函数关联起来时,第三个谐波对应频域中的第三个脉冲。下图说明了变换及经验法则之间的关系。

图2. 时域中的周期信号以间隔为信号周期的一串脉冲表示。这在频域中相当于以(1/周期)的积分求解值发生的一串脉冲。
周期信号所需的总带宽可以表示为:

3. 把脉宽转换成带宽
也可以使用傅立叶变换把脉宽转换成频率表示。在傅立叶表示,时域中的脉冲可以描述为矩形函数 ( (t))。在这个函数变换到频域中时,它产生sinc函数 (sinc(s))。这两个域之间定标再次通过相似性定理实现,两个域之间存在相反的关系(即时域中的脉冲越窄,频域中的sinc包络越宽)。

在频率提高时,sinc函数会产生一系列包络。在对sinc函数自变量求整数值时,sinc函数将发生过零。在这种情况下,它将在(1/宽度)的整数值上求值。下图说明了怎样在频域中表示时域脉冲。

图3. 时域中的脉冲变换成频域中的sinc函数。经验法则是系统需要足够的带宽,捕获第二个sinc包络的一半。
如前所述,常用的经验法则是系统需要足够的带宽,捕获数字脉冲串的第三个谐波。在傅立叶表示中,数字脉冲串通过使用Shaw函数求卷积的矩形函数描述。在时域中,这产生以数据流最大拨码速率重复的一串脉冲。脉冲使用矩形函数表示,数据流周期使用Shaw函数表示。卷积运算符在时域中结合使用两个函数。在频域中,矩形函数变换成sinc函数,Shaw函数变换成另一个Shaw函数,求卷积运算符变换成乘法运算。在时域中把Shaw函数和sinc函数相乘,得到Shaw脉冲,其边界是sinc函数的包络。

对50%占空比的脉冲串,将在(1/周期)的每个整数值上发生Shaw脉冲。sinc函数将在(1/宽度)的每个整数值上过零,在这些频率上抵消Shaw脉冲。这就得到在(1/周期)每个奇数整数值上求得的Shaw脉冲。第一个奇数整数脉冲值称为基础频率。其余奇数整数脉冲值称为谐波。如前所述,系统需要足够的带宽,捕获脉冲串的第三个谐波。在上面介绍的特例中,这发生在第二个sinc包络中间。其假设这提供了充足的带宽,在脉宽下降时,这一假设可以扩展。现在可以说系统需要足够的带宽,捕获后半个sinc包络,以可靠地提供相关脉冲。这一关系可以表达如下:

4. 求得逻辑分析仪带宽
逻辑分析仪以类似示波器前端的方式指定其前端电路的带宽。在确定逻辑分析仪是否有充足的性能调试某个数字信号时,可以使用前面的变换。可以通过实例最好地说明这一点。系统对数字信号的技术数据如下,每个技术数据都可以转换成模拟带宽。逻辑分析仪必需有足够的带宽,以适应最高的模拟频率。

5. 求得逻辑分析仪探头负荷
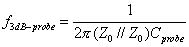
逻辑分析仪还指明各种探头选项的负荷。这一般采用集总电容和/或阻抗随频率变化曲线的形式。为迅速分析探头负荷是否会中断系统,可以使用集总电容。在考察探头负荷时,其电容开始分流目标信号的频率必须足够高,以便不会影响前面提到的三个指标。探头电容与系统中的输运线构成一个RC滤波器(一般为50 ),其响应公式如下:

如果我们使用上一节中的实例,我们可以确定在不会导致严重劣化的情况下探头给系统带来的最大电容。在上面的实例中,系统在数字信号中提供了1.875GHz的带宽。把其代入上面的表达式中,得到系统可以容忍的最大探头电容。在这种情况下,最大探头电容是3.4pF。

图4. 逻辑分析仪探头的电容负荷与输运线阻抗形成RC滤波器。为了不干扰被探测的信号,探头RC负荷的3dB频率必须大于数字脉冲串中存在的最高模拟频率。
6. 总结
随着数字系统中的数据速率不断提高,工程师被迫了解检验工具的局限性。通过了解数字信号中存在的频率成分,工程师可以迅速评估逻辑分析仪和逻辑分析仪探头负荷的性能功能。通过提前评估工具性能,工程师可以提高测量成功的概率,明显降低开机和检验时间。
在讨论带宽和逻辑分析仪时,人们经常出现混淆。传统上,逻辑分析仪被认为是一种纯粹的数字测量工具。但是,随着数据速率提高及上升时间缩短,设计人员正被迫了解这一工具的模拟特点。设计人员面临的最大问题之一,是保证其检验工具能够以这些更高的频率工作。在未能全面理解时,设备带宽和负荷等因素可能会导致假负数,中断系统。数字系统设计人员必须信任自己的逻辑分析仪,以实现最快的产品开发周期。随着频率不断提高,必需使用与示波器一样的模拟精密性对待逻辑分析仪前端。
在分析系统和检验工具的带宽时,工程师必须了解两个主要考虑因素。第一个是PCB上数字信号中存在的频率成分及其与逻辑分析仪带宽的相关方式。第二个是探头负荷怎样与这些频率交互。这两种考虑因素都溯及数字信号转换成模拟指标及怎样使用这些指标分析能否进行成功测量的原理。下面几节将讨论把数字信号转换成模拟指标的三种技术。这三种转换是上升时间转换成带宽、拨码速率转换成带宽和脉宽转换成带宽。一旦能够使用带宽描述数字信号,就可以简便地分析负荷和逻辑分析仪带宽。
1. 把上升时间转换成带宽
把数字信号的上升时间转换成模拟带宽最流行的方法是使用单极RC电路,建立标准负荷的响应模型。它同时在时域和频域中对电路求解,并使用电阻和电容生成上升时间和带宽的经验法则。上升时间和带宽通过代入法进行组合,得到电阻和电容跌落值,得到上升时间和带宽之间的线性关系。图1说明了这一推导中使用的RC电路,以建立标准负荷模型。

图1. 在时域和频域中对RC电路求解,得到上升时间和带宽之间的线性关系。
在这一推导过程中,第一步是在时域中对电路求解,假设其以单位步进(u(t))驱动。这一电路的通用求解公式是:

由于上升时间定义为VOUT从10%转换到90%使用的时间,我们可以对公式求解,得到两个单独的求解。第一个求解是从0伏转换到VOUT的10%所需的时间。为完成这一求解,VIN设成1 V,VOUT设成0.1伏。第二个求解以相同方式获得,但VOUT设成0.9伏。由于上升时间定义为这两个求解之间的时间,因此把两个结果相减,得到RC电路上升时间的经验法则。

这一推导的第二步是在频域中对同一个RC电路求解。这一电路的通用求解公式如下:

由于带宽定义为响应幅度衰减30%时的频率,那么可以对这一表达式求解,得到经验法则。

现在,我们得到使用电阻和电容表示的上升时间和带宽的一般表达式,可以把这两个表达式结合在一起,获得一个线性关系。现在可以使用这个表达式,在数字信号的上升时间与上升时间拥有的频率成分之间实现迅速转换。

2. 把拨码速率转换成带宽
可以使用傅立叶变换,把信号的数字拨码速率转换成频率表示。在傅立叶分析中,有一个基本变换集合,可以根据应用对其进行定标。在傅立叶表示中,周期信号表示为时域中以希望周期发生的一串脉冲。这类表示方式称为Shaw函数 (III(t))。其变换到频域中另一个Shaw函数 (III(s))。两个域之间的定标通过相似性定理实现,两个域之间存在相反的关系(即时域中的脉冲间隔越近,频域中的脉冲间隔越宽)。

数字系统中通常使用的经验法则是系统必须有足够的带宽,能够捕获数字脉冲串的第三个谐波。在把这与Shaw函数关联起来时,第三个谐波对应频域中的第三个脉冲。下图说明了变换及经验法则之间的关系。

图2. 时域中的周期信号以间隔为信号周期的一串脉冲表示。这在频域中相当于以(1/周期)的积分求解值发生的一串脉冲。
周期信号所需的总带宽可以表示为:

3. 把脉宽转换成带宽
也可以使用傅立叶变换把脉宽转换成频率表示。在傅立叶表示,时域中的脉冲可以描述为矩形函数 ( (t))。在这个函数变换到频域中时,它产生sinc函数 (sinc(s))。这两个域之间定标再次通过相似性定理实现,两个域之间存在相反的关系(即时域中的脉冲越窄,频域中的sinc包络越宽)。

在频率提高时,sinc函数会产生一系列包络。在对sinc函数自变量求整数值时,sinc函数将发生过零。在这种情况下,它将在(1/宽度)的整数值上求值。下图说明了怎样在频域中表示时域脉冲。

图3. 时域中的脉冲变换成频域中的sinc函数。经验法则是系统需要足够的带宽,捕获第二个sinc包络的一半。
如前所述,常用的经验法则是系统需要足够的带宽,捕获数字脉冲串的第三个谐波。在傅立叶表示中,数字脉冲串通过使用Shaw函数求卷积的矩形函数描述。在时域中,这产生以数据流最大拨码速率重复的一串脉冲。脉冲使用矩形函数表示,数据流周期使用Shaw函数表示。卷积运算符在时域中结合使用两个函数。在频域中,矩形函数变换成sinc函数,Shaw函数变换成另一个Shaw函数,求卷积运算符变换成乘法运算。在时域中把Shaw函数和sinc函数相乘,得到Shaw脉冲,其边界是sinc函数的包络。

对50%占空比的脉冲串,将在(1/周期)的每个整数值上发生Shaw脉冲。sinc函数将在(1/宽度)的每个整数值上过零,在这些频率上抵消Shaw脉冲。这就得到在(1/周期)每个奇数整数值上求得的Shaw脉冲。第一个奇数整数脉冲值称为基础频率。其余奇数整数脉冲值称为谐波。如前所述,系统需要足够的带宽,捕获脉冲串的第三个谐波。在上面介绍的特例中,这发生在第二个sinc包络中间。其假设这提供了充足的带宽,在脉宽下降时,这一假设可以扩展。现在可以说系统需要足够的带宽,捕获后半个sinc包络,以可靠地提供相关脉冲。这一关系可以表达如下:

4. 求得逻辑分析仪带宽
逻辑分析仪以类似示波器前端的方式指定其前端电路的带宽。在确定逻辑分析仪是否有充足的性能调试某个数字信号时,可以使用前面的变换。可以通过实例最好地说明这一点。系统对数字信号的技术数据如下,每个技术数据都可以转换成模拟带宽。逻辑分析仪必需有足够的带宽,以适应最高的模拟频率。

5. 求得逻辑分析仪探头负荷
逻辑分析仪还指明各种探头选项的负荷。这一般采用集总电容和/或阻抗随频率变化曲线的形式。为迅速分析探头负荷是否会中断系统,可以使用集总电容。在考察探头负荷时,其电容开始分流目标信号的频率必须足够高,以便不会影响前面提到的三个指标。探头电容与系统中的输运线构成一个RC滤波器(一般为50 ),其响应公式如下:

如果我们使用上一节中的实例,我们可以确定在不会导致严重劣化的情况下探头给系统带来的最大电容。在上面的实例中,系统在数字信号中提供了1.875GHz的带宽。把其代入上面的表达式中,得到系统可以容忍的最大探头电容。在这种情况下,最大探头电容是3.4pF。

图4. 逻辑分析仪探头的电容负荷与输运线阻抗形成RC滤波器。为了不干扰被探测的信号,探头RC负荷的3dB频率必须大于数字脉冲串中存在的最高模拟频率。
6. 总结
随着数字系统中的数据速率不断提高,工程师被迫了解检验工具的局限性。通过了解数字信号中存在的频率成分,工程师可以迅速评估逻辑分析仪和逻辑分析仪探头负荷的性能功能。通过提前评估工具性能,工程师可以提高测量成功的概率,明显降低开机和检验时间。
上一篇:探讨热电偶的测温原理
下一篇:数字万用表的选用


