- 易迪拓培训,专注于微波、射频、天线设计工程师的培养
测量三相三线系统的三大误区
一、接线图误区
1、测量人员“想象中的接线图”

图1 测量人员眼中接线图
R相电流I1和R-S电压U12接到一个功率测量单元,计算的功率记为P1=I1•U12P1=I1•U12;S相电流I2和S-T电压U23接到一个功率测量单元,功率记为P2=I2•U23;T相电流I3和T-R电压U31接到一个功率测量单元,计算的功率记为P3=I3•U31。那么,三相功率是以上测量3个功率之和P=P1+P2+P3吗?这显然是错误的,线电流与线电压相乘并非相功率,角形接法亦然,正确应是:
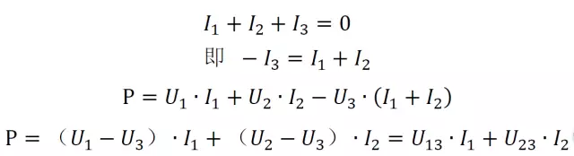
然而三相三线制中,星形负载测不到相电压,角形负载测不到相电流,功率该如何计算?对于星型负载,当电源和负载完全平衡的情况下,通过线电压求得相电压,每相电压电流一样则有:
实际上通常不会完全平衡,还需3相功率分别相加,根据基尔霍夫电流定律:
由此可见U23•I2=P2,但U13•I1 不等于P1 也不等于P3
所以我们无法由测量到的三个功率P1=I1•U12、P2=I2•U23、P3=I3•U31来得到总功率P=U13•I1
+U23•I2。
这种接线方式是错误的,实际上也不存在。
2、3V3A实际接线图

图2 3V3A接线方式
按图2接线方式,R相电流I1和R-T电压U13接到一个功率测量单元,计算的功率记为P1=I1•U13;S相电流I2和S-T电压U23接到一个功率测量单元,功率记为P2=I2•U23;T相电流I3和R-S电压U12接到一个功率测量单元,计算的功率记为P3=I3•U12。同前述的推导方式:
由此可见3V3A接线本质就是经典的两瓦特计法,多了P3=I3•U12,但计算总功率并不用P3。两瓦特计法是电工测量的基本常识,选取其中一相(T)作为参考点,根据基尔霍夫电流定律另外两线的电流(I1、I2)全部回流到参考点,总功率为另外两线分别对参考点电压(URT、UST)产生的功率之和。
结论和推论:
3V3A实质为两瓦特计法,三相总功率为P1+P2。
单个功率值没有物理意义,仪器测量的单个功率是线电压和线电流相乘,实际各相的电流不是单个线电压产生的结果,所以单个功率表的计算结果P1或者P2不代表某一相的功率,第三个测量单元是RS线电压和T相线电流的乘积,这个功率也是没有意义的。
一些特殊的情况:结合图4,在三相平衡系统中阻性负载时,P1>0,P2>0,P3=0;感性平衡负载时,相比阻性电压超前电流,电压将逆时针旋转一定角度,P3>0,当大于60°时加上纯阻性时UST超前I2的 30°共大于90°,则P2<0;容性平衡负载时,相比阻性电压落后电流,电压将顺时针旋转一定角度,P3<0,当大于60°时加上纯阻性时URT落后I1的 30°共大于90°,则P1<0。

图3 三个线电压向量由来

图4 三相平衡系统阻性负载向量图
二、波形图误区
1、测量人员“想象中的波形图”

图5 测量人员“想象中的波形图”
2、3V3A实际波形图

图6 3V3A电压电流波形图
三相交流电力系统,三相电压为同一幅值,三相电R、S、T之间的夹角是120°,按照相序URS、UST、UTR 3个线电压相差120°,如图5。
功率分析仪3V3A测量的线电压是RT(板卡U1电压)、ST(板卡U2电压)、RS(板卡U3电压)。这样测量到的3个电压波形就不是相差120°了,因为我们并不是按照RS、ST、TR测量。电压相序差,以URS波形图为参考,URT滞后URS60°,UST滞后URS 120°。线电流R(板卡I1电流)、S(板卡I2电流)、T(板卡I3电流),其中电流相序差120°。
实际上3V3A测量的线电压不是URS、UST、UTR,波形相差非120°不代表三相电不是120°,两者不能混为一谈,只是有时测量人员对于图6的波形不理解。
三、矢量图误区
1、测量人员“想象中的矢量图”

图7 某种负载下测量人员眼中矢量图
2、3V3A矢量图

图8 某种负载下3V3A矢量图
功率分析仪可通过向量功能显示接线组各输入单元基波的相位差和有效值的关系,在向量图里,向量的长度指示基波的有效值大小,向量间的角度则指示了各个基波的相位差。
按照相序的3个线电压URS、UST、UTR作出的矢量图是首尾相连闭合的,然而如波形图中所述3V3A得到的电压是URT、UST、URS,本身就是不闭合的。
总结:
西游记中有真假美猴王,PA功率分析仪中3V3A接线方式也有真假之辨,希望通过本文介绍,对您了解3V3A起到抛砖引玉之效。






